Suppr超能文献

胰岛素诱导性脂肪营养不良对1型糖尿病患儿血糖变异性的影响。

The Impact of Insulin-Induced Lipodystrophy on Glycemic Variability in Pediatric Patients with Type 1 Diabetes.

作者信息

Lombardo Fortunato, Bombaci Bruno, Alibrandi Angela, Visalli Giulia, Salzano Giuseppina, Passanisi Stefano

机构信息

Department of Human Pathology in Adult and Developmental Age "Gaetano Barresi", University of Messina, Via Consolare Valeria 1, 98124 Messina, Italy.

Unit of Statistical and Mathematical Sciences, Department of Economics, University of Messina, 98122 Messina, Italy.

出版信息

Children (Basel). 2022 Jul 20;9(7):1087. doi: 10.3390/children9071087.

Abstract

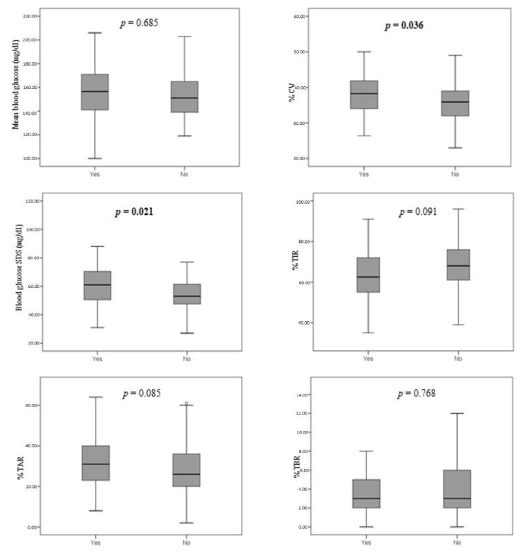
Lipodystrophy is the most common dermatological complication in patients with diabetes on insulin therapy. Despite the high frequency of lipodystrophy, there are still several difficulties in giving advice about avoidance into practice among children and adolescents with type 1 diabetes and their caregivers. This cross-sectional study aims to evaluate the prevalence of insulin-induced lipodystrophy in a cohort of pediatric patients with type 1 diabetes, to identify associated clinical factors and to assess its influence on glycemic control. Two hundred and twelve patients attending our Diabetes Center during a three-month period were enrolled. The presence of lipodystrophy was assessed by inspection and palpation procedures. Demographic and clinical data including type of treatment, frequency of rotation of insulin administration sites, and glucose metrics of the previous 30 days were assessed and statistically analyzed. Prevalence of lipohypertrophy was 44.3%. Two patients were affected by lipoatrophy (0.9%). Improper rotation of insulin administration sites and low awareness on lipodystrophy were associated to the occurrence of this skin condition ( = 0.050 and = 0.005, respectively). When comparing patients with and without lipodystrophy, a significant difference in glycemic variability parameters was detected ( = 0.036 for coefficient of variation, = 0.029 for standard deviation score of glucose levels). Lipodystrophy still represents a common complication in patients on insulin therapy. The present study reveals its negative impact on glycemic variability. This finding emphasizes the importance of prevention strategies to minimize the occurrence of this dermatological complication that may interfere with clinical history of the disease.

摘要

脂肪营养不良是接受胰岛素治疗的糖尿病患者中最常见的皮肤并发症。尽管脂肪营养不良的发生率很高,但在为1型糖尿病儿童和青少年及其照顾者提供有关避免脂肪营养不良的建议并将其付诸实践方面,仍存在一些困难。这项横断面研究旨在评估一组1型糖尿病儿科患者中胰岛素诱导的脂肪营养不良的患病率,确定相关的临床因素,并评估其对血糖控制的影响。在三个月期间到我们糖尿病中心就诊的212名患者被纳入研究。通过检查和触诊程序评估脂肪营养不良的存在情况。评估并统计分析了人口统计学和临床数据,包括治疗类型、胰岛素注射部位轮换频率以及前30天的血糖指标。脂肪增生的患病率为44.3%。两名患者患有脂肪萎缩(0.9%)。胰岛素注射部位轮换不当和对脂肪营养不良的认识不足与这种皮肤状况的发生有关(分别为P = 0.050和P = 0.005)。在比较有和没有脂肪营养不良的患者时,检测到血糖变异性参数存在显著差异(变异系数P = 0.036,血糖水平标准差评分P = 0.029)。脂肪营养不良仍然是接受胰岛素治疗患者中的常见并发症。本研究揭示了其对血糖变异性的负面影响。这一发现强调了预防策略的重要性,以尽量减少这种可能干扰疾病临床病程的皮肤并发症的发生。

https://cdn.ncbi.nlm.nih.gov/pmc/blobs/1697/9316294/3bbef3221232/children-09-01087-g001.jpg

文献检索

告别复杂PubMed语法,用中文像聊天一样搜索,搜遍4000万医学文献。AI智能推荐,让科研检索更轻松。

立即免费搜索

文件翻译

保留排版,准确专业,支持PDF/Word/PPT等文件格式,支持 12+语言互译。

免费翻译文档

深度研究

AI帮你快速写综述,25分钟生成高质量综述,智能提取关键信息,辅助科研写作。

立即免费体验