Suppr超能文献

袖状胃切除术导致的体重指数降低会增加重度肥胖患者味觉感知的强度,并降低苦味诱发的愉悦感。

Sleeve Gastrectomy-Induced Body Mass Index Reduction Increases the Intensity of Taste Perception's and Reduces Bitter-Induced Pleasantness in Severe Obesity.

作者信息

Rurgo Sara, Cantone Elena, Pesce Marcella, Efficie Eleonora, Musella Mario, Polese Barbara, De Conno Barbara, Pagliaro Marta, Seguella Luisa, Guida Bruna, Esposito Giuseppe, Sarnelli Giovanni

机构信息

Department of Clinical Medicine and Surgery, University of Naples "Federico II", Via Pansini 5, 80131 Naples, Italy.

Department of Neuroscience, Reproductive and Odontostomatologic Science, ENT Section, 'Federico II' University of Naples, 80131 Naples, Italy.

出版信息

J Clin Med. 2022 Jul 7;11(14):3957. doi: 10.3390/jcm11143957.

Abstract

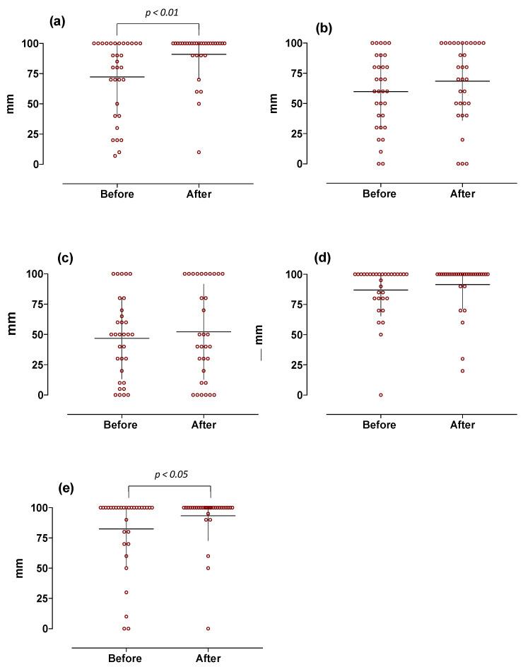
: The sense of taste is involved in food behavior and may drive food choices, likely contributing to obesity. Differences in taste preferences have been reported in normal-weight as compared to obese subjects. Changes in taste perception with an increased sweet-induced sensitivity have been reported in surgically treated obese patients, but data regarding the perception of basic tastes yielded conflicting results. We aimed to evaluate basic taste identification, induced perception, and pleasantness in normal-weight controls and obese subjects before and after bariatric surgery. : Severe obese and matched normal weight subjects underwent a standardized spit test to evaluate sweet, bitter, salty, umami, and sour taste identification, induced perception, and pleasantness. A subset of obese subjects were also studied before and 12 months after sleeve gastrectomy. : No significant differences in basic taste-induced perceptions were observed, although a higher number of controls correctly identified umami than did obese subjects. Sleeve-gastrectomy-induced weight loss did not affect the overall ability to correctly identify basic tastes but was associated with a significant increase in taste intensities, with higher scores for sour and bitter, and a significantly reduced bitter-induced pleasantness. : The perception of basic tastes is similar in normal-weight and severely obese subjects. Sleeve-gastrectomy-induced weight loss significantly increases basic taste-induced intensity, and selectively reduces bitter-related pleasantness without affecting the ability to identify the tastes. Our findings reveal that taste perception is influenced by body mass index changes, likely supporting the hypothesis that centrally mediated mechanisms modulate taste perception in severe obesity.

摘要

味觉与饮食行为相关,可能会驱动食物选择,这可能是导致肥胖的原因之一。与肥胖受试者相比,正常体重者的味觉偏好存在差异。据报道,接受手术治疗的肥胖患者味觉感知发生了变化,甜味诱导的敏感性增加,但关于基本味觉感知的数据结果相互矛盾。我们旨在评估正常体重对照组以及肥胖受试者在接受减肥手术前后的基本味觉识别、诱导感知和愉悦度。

重度肥胖和匹配的正常体重受试者接受了标准化的吐液测试,以评估甜味、苦味、咸味、鲜味和酸味的识别、诱导感知和愉悦度。一部分肥胖受试者还在袖状胃切除术前和术后12个月进行了研究。

虽然正确识别鲜味的对照组人数比肥胖受试者更多,但未观察到基本味觉诱导感知的显著差异。袖状胃切除术引起的体重减轻并未影响正确识别基本味觉的整体能力,但与味觉强度显著增加相关,酸味和苦味得分更高,且苦味诱导的愉悦度显著降低。

正常体重和重度肥胖受试者对基本味觉的感知相似。袖状胃切除术引起的体重减轻显著增加了基本味觉诱导的强度,并选择性地降低了与苦味相关的愉悦度,而不影响味觉识别能力。我们的研究结果表明,味觉感知受体重指数变化的影响,这可能支持以下假设:中枢介导机制调节重度肥胖患者的味觉感知。

https://cdn.ncbi.nlm.nih.gov/pmc/blobs/52cb/9321134/94cf84d04371/jcm-11-03957-g001.jpg

文献AI研究员

20分钟写一篇综述,助力文献阅读效率提升50倍。

立即体验

用中文搜PubMed

大模型驱动的PubMed中文搜索引擎

马上搜索

文档翻译

学术文献翻译模型,支持多种主流文档格式。

立即体验