• 文献检索
  • 文档翻译
  • 深度研究
  • 学术资讯
  • Suppr Zotero 插件Zotero 插件
  • 邀请有礼
  • 套餐&价格
  • 历史记录
应用&插件
Suppr Zotero 插件Zotero 插件浏览器插件Mac 客户端Windows 客户端微信小程序
定价
高级版会员购买积分包购买API积分包
服务
文献检索文档翻译深度研究API 文档MCP 服务
关于我们
关于 Suppr公司介绍联系我们用户协议隐私条款
关注我们

Suppr 超能文献

核心技术专利:CN118964589B侵权必究
粤ICP备2023148730 号-1Suppr @ 2026

文献检索

告别复杂PubMed语法,用中文像聊天一样搜索,搜遍4000万医学文献。AI智能推荐,让科研检索更轻松。

立即免费搜索

文件翻译

保留排版,准确专业,支持PDF/Word/PPT等文件格式,支持 12+语言互译。

免费翻译文档

深度研究

AI帮你快速写综述,25分钟生成高质量综述,智能提取关键信息,辅助科研写作。

立即免费体验

庚醇治疗后心室传导的异质性:在Langendorff灌注小鼠心脏中的多电极阵列研究

Heterogeneities in Ventricular Conduction Following Treatment with Heptanol: A Multi-Electrode Array Study in Langendorff-Perfused Mouse Hearts.

作者信息

Dong Xiuming, Tse Gary, Hao Guoliang, Du Yimei

机构信息

Henan SCOPE Research Institute of Electrophysiology Co., Ltd., Kaifeng 475000, China.

Cardiac Electrophysiology Unit, Cardiovascular Analytics Group, Hong Kong, China.

出版信息

Life (Basel). 2022 Jul 5;12(7):996. doi: 10.3390/life12070996.

DOI:10.3390/life12070996
PMID:35888085
原文链接:https://pmc.ncbi.nlm.nih.gov/articles/PMC9321110/
Abstract

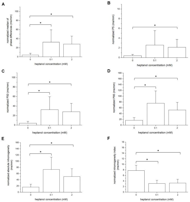
Background: Previous studies have associated slowed ventricular conduction with the arrhythmogenesis mediated by the gap junction and sodium channel inhibitor heptanol in mouse hearts. However, they did not study the propagation patterns that might contribute to the arrhythmic substrate. This study used a multi-electrode array mapping technique to further investigate different conduction abnormalities in Langendorff-perfused mouse hearts exposed to 0.1 or 2 mM heptanol. Methods: Recordings were made from the left ventricular epicardium using multi-electrode arrays in spontaneously beating hearts during right ventricular 8 Hz pacing or S1S2 pacing. Results: In spontaneously beating hearts, heptanol at 0.1 and 2 mM significantly reduced the heart rate from 314 ± 25 to 189 ± 24 and 157 ± 7 bpm, respectively (ANOVA, p < 0.05 and p < 0.001). During regular 8 Hz pacing, the mean LATs were increased by 0.1 and 2 mM heptanol from 7.1 ± 2.2 ms to 19.9 ± 5.0 ms (p < 0.05) and 18.4 ± 5.7 ms (p < 0.05). The standard deviation of the mean LATs was increased from 2.5 ± 0.8 ms to 10.3 ± 4.0 ms and 8.0 ± 2.5 ms (p < 0.05), and the median of phase differences was increased from 1.7 ± 1.1 ms to 13.9 ± 7.8 ms and 12.1 ± 5.0 ms by 0.1 and 2 mM heptanol (p < 0.05). P5 took a value of 0.2 ± 0.1 ms and was not significantly altered by heptanol at 0.1 or 2 mM (1.1 ± 0.9 ms and 0.9 ± 0.5 ms, p > 0.05). P50 was increased from 7.3 ± 2.7 ms to 24.0 ± 12.0 ms by 0.1 mM heptanol and then to 22.5 ± 7.5 ms by 2 mM heptanol (p < 0.05). P95 was increased from 1.7 ± 1.1 ms to 13.9 ± 7.8 ms by 0.1 mM heptanol and to 12.1 ± 5.0 ms by 2 mM heptanol (p < 0.05). These changes led to increases in the absolute inhomogeneity in conduction (P5−95) from 7.1 ± 2.6 ms to 31.4 ± 11.3 ms, 2 mM: 21.6 ± 7.2 ms, respectively (p < 0.05). The inhomogeneity index (P5−95/P50) was significantly reduced from 3.7 ± 1.2 to 3.1 ± 0.8 by 0.1 mM and then to 3.3 ± 0.9 by 2 mM heptanol (p < 0.05). Conclusion: Increased activation latencies, reduced CVs, and the increased inhomogeneity index of conduction were associated with both spontaneous and induced ventricular arrhythmias.

摘要

背景

先前的研究已将心室传导减慢与缝隙连接和钠通道抑制剂庚醇介导的小鼠心脏心律失常发生联系起来。然而,他们并未研究可能导致心律失常基质的传导模式。本研究使用多电极阵列映射技术,进一步研究暴露于0.1或2 mM庚醇的Langendorff灌注小鼠心脏中的不同传导异常。方法:在右心室8 Hz起搏或S1S2起搏期间,使用多电极阵列从自发跳动心脏的左心室心外膜进行记录。结果:在自发跳动的心脏中,0.1和2 mM的庚醇分别使心率从314±25显著降低至189±24和157±7次/分钟(方差分析,p < 0.05和p < 0.001)。在规则的8 Hz起搏期间,0.1和2 mM庚醇使平均局部激活时间(LATs)从7.1±2.2 ms增加至19.9±5.0 ms(p < 0.05)和18.4±5.7 ms(p < 0.05)。平均LATs的标准差从2.5±0.8 ms增加至10.3±4.0 ms和8.0±2.5 ms(p < 0.05),0.1和2 mM庚醇使相差中位数从1.7±1.1 ms增加至13.9±7.8 ms和12.1±5.0 ms(p < 0.05)。P5值为0.2±0.1 ms,0.1或2 mM庚醇对其无显著改变(分别为1.1±0.9 ms和0.9±0.5 ms,p > 0.05)。0.1 mM庚醇使P50从7.3±2.7 ms增加至24.0±12.0 ms,然后2 mM庚醇使其增加至22.5±7.5 ms(p < 0.05)。0.1 mM庚醇使P95从1.7±1.1 ms增加至13.9±7.8 ms,2 mM庚醇使其增加至12.1±5.0 ms(p < 0.05)。这些变化导致传导的绝对不均匀性(P5−95)分别从7.1±2.6 ms增加至31.4±11.3 ms、2 mM时为21.6±7.2 ms(p < 0.05)。不均匀性指数(P5−95/P50)在0.1 mM时从3.7±1.2显著降低至3.1±0.8,然后2 mM庚醇使其降至3.3±0.9(p < 0.05)。结论:激活延迟增加、传导速度降低以及传导不均匀性指数增加与自发性和诱发性室性心律失常相关。

https://cdn.ncbi.nlm.nih.gov/pmc/blobs/f460/9321110/d1c689186535/life-12-00996-g007.jpg
https://cdn.ncbi.nlm.nih.gov/pmc/blobs/f460/9321110/fed5f23e7d33/life-12-00996-g001.jpg
https://cdn.ncbi.nlm.nih.gov/pmc/blobs/f460/9321110/e08f6c732d95/life-12-00996-g002.jpg
https://cdn.ncbi.nlm.nih.gov/pmc/blobs/f460/9321110/2d0a80c1ab7a/life-12-00996-g003.jpg
https://cdn.ncbi.nlm.nih.gov/pmc/blobs/f460/9321110/f85ecfd1c75c/life-12-00996-g004.jpg
https://cdn.ncbi.nlm.nih.gov/pmc/blobs/f460/9321110/e9a6d4a106bc/life-12-00996-g005.jpg
https://cdn.ncbi.nlm.nih.gov/pmc/blobs/f460/9321110/cb7e080be05d/life-12-00996-g006.jpg
https://cdn.ncbi.nlm.nih.gov/pmc/blobs/f460/9321110/d1c689186535/life-12-00996-g007.jpg
https://cdn.ncbi.nlm.nih.gov/pmc/blobs/f460/9321110/fed5f23e7d33/life-12-00996-g001.jpg
https://cdn.ncbi.nlm.nih.gov/pmc/blobs/f460/9321110/e08f6c732d95/life-12-00996-g002.jpg
https://cdn.ncbi.nlm.nih.gov/pmc/blobs/f460/9321110/2d0a80c1ab7a/life-12-00996-g003.jpg
https://cdn.ncbi.nlm.nih.gov/pmc/blobs/f460/9321110/f85ecfd1c75c/life-12-00996-g004.jpg
https://cdn.ncbi.nlm.nih.gov/pmc/blobs/f460/9321110/e9a6d4a106bc/life-12-00996-g005.jpg
https://cdn.ncbi.nlm.nih.gov/pmc/blobs/f460/9321110/cb7e080be05d/life-12-00996-g006.jpg
https://cdn.ncbi.nlm.nih.gov/pmc/blobs/f460/9321110/d1c689186535/life-12-00996-g007.jpg

相似文献

1
Heterogeneities in Ventricular Conduction Following Treatment with Heptanol: A Multi-Electrode Array Study in Langendorff-Perfused Mouse Hearts.庚醇治疗后心室传导的异质性:在Langendorff灌注小鼠心脏中的多电极阵列研究
Life (Basel). 2022 Jul 5;12(7):996. doi: 10.3390/life12070996.
2
Gap junction inhibition by heptanol increases ventricular arrhythmogenicity by reducing conduction velocity without affecting repolarization properties or myocardial refractoriness in Langendorff-perfused mouse hearts.庚醇对缝隙连接的抑制作用,通过降低传导速度增加心室致心律失常性,而不影响Langendorff灌注小鼠心脏的复极化特性或心肌不应期。
Mol Med Rep. 2016 Nov;14(5):4069-4074. doi: 10.3892/mmr.2016.5738. Epub 2016 Sep 13.
3
Measures of repolarization variability predict ventricular arrhythmogenesis in heptanol-treated Langendorff-perfused mouse hearts.复极变异性指标可预测庚醇处理的Langendorff灌注小鼠心脏中的室性心律失常发生。
Curr Res Physiol. 2021 Apr 19;4:125-134. doi: 10.1016/j.crphys.2021.04.001. eCollection 2021.
4
Ventricular arrhythmogenesis following slowed conduction in heptanol-treated, Langendorff-perfused mouse hearts.七氟烷处理的 Langendorff 灌注小鼠心脏传导减慢后心室心律失常的发生。
J Physiol Sci. 2012 Mar;62(2):79-92. doi: 10.1007/s12576-011-0187-2. Epub 2012 Jan 5.
5
Effects of pharmacological gap junction and sodium channel blockade on S1S2 restitution properties in Langendorff-perfused mouse hearts.药理学性缝隙连接和钠通道阻断对Langendorff灌注小鼠心脏中S1S2恢复特性的影响。
Oncotarget. 2017 Jul 28;8(49):85341-85352. doi: 10.18632/oncotarget.19675. eCollection 2017 Oct 17.
6
Atrial Anti-Arrhythmic Effects of Heptanol in Langendorff-Perfused Mouse Hearts.庚醇对Langendorff灌注小鼠心脏的心房抗心律失常作用
PLoS One. 2016 Feb 12;11(2):e0148858. doi: 10.1371/journal.pone.0148858. eCollection 2016.
7
Restitution analysis of alternans using dynamic pacing and its comparison with S1S2 restitution in heptanol-treated, hypokalaemic Langendorff-perfused mouse hearts.使用动态起搏对交替现象进行恢复分析及其与七醇处理的低钾血症Langendorff灌注小鼠心脏中S1S2恢复的比较。
Biomed Rep. 2016 Jun;4(6):673-680. doi: 10.3892/br.2016.659. Epub 2016 Apr 19.
8
Ventricular anti-arrhythmic effects of heptanol in hypokalaemic, Langendorff-perfused mouse hearts.庚醇对低钾血症、Langendorff灌注小鼠心脏的心室抗心律失常作用。
Biomed Rep. 2016 Mar;4(3):313-324. doi: 10.3892/br.2016.577. Epub 2016 Jan 21.
9
The effect of heptanol on the electrical and contractile function of the isolated, perfused rabbit heart.庚醇对离体灌注兔心脏电功能和收缩功能的影响。
Pflugers Arch. 2000 Jun;440(2):275-82. doi: 10.1007/s004240000264.
10
Arrhythmic substrate, slowed propagation and increased dispersion in conduction direction in the right ventricular outflow tract of murine Scn5a+/- hearts.在小鼠Scn5a+/-心脏的右心室流出道中,心律失常基质、传导减慢以及传导方向上的离散度增加。
Acta Physiol (Oxf). 2014 Aug;211(4):559-73. doi: 10.1111/apha.12324. Epub 2014 Jul 9.

引用本文的文献

1
Cardiac Tissue Engineering: A Journey from Scaffold Fabrication to In Vitro Characterization.心脏组织工程:从支架制造到体外表征的历程
Small Sci. 2024 Jul 22;4(9):2400079. doi: 10.1002/smsc.202400079. eCollection 2024 Sep.
2
Sacubitril/Valsartan Ameliorates Crizotinib-Induced Cardiotoxicity in Mice.沙库巴曲缬沙坦可改善克唑替尼诱导的小鼠心脏毒性。
Rev Cardiovasc Med. 2023 Jul 3;24(7):192. doi: 10.31083/j.rcm2407192. eCollection 2023 Jul.
3
Vector Field Heterogeneity for the Assessment of Locally Disorganised Cardiac Electrical Propagation Wavefronts From High-Density Multielectrodes.

本文引用的文献

1
Measures of repolarization variability predict ventricular arrhythmogenesis in heptanol-treated Langendorff-perfused mouse hearts.复极变异性指标可预测庚醇处理的Langendorff灌注小鼠心脏中的室性心律失常发生。
Curr Res Physiol. 2021 Apr 19;4:125-134. doi: 10.1016/j.crphys.2021.04.001. eCollection 2021.
2
Right ventricular outflow tract electroanatomical abnormalities in asymptomatic and high-risk symptomatic patients with Brugada syndrome: Evidence for a new risk stratification tool?无症状和高危有症状 Brugada 综合征患者的右心室流出道电解剖异常:一种新的危险分层工具的证据?
J Cardiovasc Electrophysiol. 2021 Nov;32(11):2997-3007. doi: 10.1111/jce.15262. Epub 2021 Oct 7.
3
用于评估来自高密度多电极的局部紊乱心脏电传播波前的向量场异质性
IEEE Open J Eng Med Biol. 2023 Dec 20;5:32-44. doi: 10.1109/OJEMB.2023.3344349. eCollection 2024.
4
Sevoflurane Improves Ventricular Conduction by Exosomes Derived from Rat Cardiac Fibroblasts After Hypothermic Global Ischemia-Reperfusion Injury.七氟醚通过低温全球缺血再灌注损伤后大鼠心肌成纤维细胞来源的外泌体改善心室传导。
Drug Des Devel Ther. 2023 Jun 12;17:1719-1732. doi: 10.2147/DDDT.S408595. eCollection 2023.
Anisotropic Cardiac Conduction.
各向异性心脏传导。
Arrhythm Electrophysiol Rev. 2020 Dec;9(4):202-210. doi: 10.15420/aer.2020.04.
4
Mechanisms underlying age-associated manifestation of cardiac sodium channel gain-of-function.心脏钠通道功能获得性与年龄相关表现的潜在机制。
J Mol Cell Cardiol. 2021 Apr;153:60-71. doi: 10.1016/j.yjmcc.2020.12.008. Epub 2020 Dec 26.
5
Quantification of Beat-To-Beat Variability of Action Potential Durations in Langendorff-Perfused Mouse Hearts.Langendorff灌注小鼠心脏动作电位时程逐搏变异性的量化
Front Physiol. 2018 Nov 27;9:1578. doi: 10.3389/fphys.2018.01578. eCollection 2018.
6
Right Ventricular Outflow Tract Electroanatomical Abnormalities Predict Ventricular Fibrillation Inducibility in Brugada Syndrome.右心室流出道电解剖学异常可预测Brugada综合征患者室颤的诱发情况。
Circ Arrhythm Electrophysiol. 2018 Feb;11(2):e005928. doi: 10.1161/CIRCEP.117.005928.
7
Effects of pharmacological gap junction and sodium channel blockade on S1S2 restitution properties in Langendorff-perfused mouse hearts.药理学性缝隙连接和钠通道阻断对Langendorff灌注小鼠心脏中S1S2恢复特性的影响。
Oncotarget. 2017 Jul 28;8(49):85341-85352. doi: 10.18632/oncotarget.19675. eCollection 2017 Oct 17.
8
Isolated heart models for studying cardiac electrophysiology: a historical perspective and recent advances.用于研究心脏电生理学的离体心脏模型:历史回顾与最新进展
J Basic Clin Physiol Pharmacol. 2017 May 1;28(3):191-200. doi: 10.1515/jbcpp-2016-0110.
9
Ventricular conduction abnormalities as predictors of long-term survival in acute de novo and decompensated chronic heart failure.心室传导异常作为急性初发和失代偿性慢性心力衰竭长期生存的预测指标
ESC Heart Fail. 2016 Mar;3(1):35-43. doi: 10.1002/ehf2.12068. Epub 2015 Oct 30.
10
Molecular and Electrophysiological Mechanisms Underlying Cardiac Arrhythmogenesis in Diabetes Mellitus.糖尿病中心律失常发生的分子和电生理机制
J Diabetes Res. 2016;2016:2848759. doi: 10.1155/2016/2848759. Epub 2016 Aug 23.