• 文献检索
  • 文档翻译
  • 深度研究
  • 学术资讯
  • Suppr Zotero 插件Zotero 插件
  • 邀请有礼
  • 套餐&价格
  • 历史记录
应用&插件
Suppr Zotero 插件Zotero 插件浏览器插件Mac 客户端Windows 客户端微信小程序
定价
高级版会员购买积分包购买API积分包
服务
文献检索文档翻译深度研究API 文档MCP 服务
关于我们
关于 Suppr公司介绍联系我们用户协议隐私条款
关注我们

Suppr 超能文献

核心技术专利:CN118964589B侵权必究
粤ICP备2023148730 号-1Suppr @ 2026

文献检索

告别复杂PubMed语法,用中文像聊天一样搜索,搜遍4000万医学文献。AI智能推荐,让科研检索更轻松。

立即免费搜索

文件翻译

保留排版,准确专业,支持PDF/Word/PPT等文件格式,支持 12+语言互译。

免费翻译文档

深度研究

AI帮你快速写综述,25分钟生成高质量综述,智能提取关键信息,辅助科研写作。

立即免费体验

基于改进哈里斯鹰优化算法的无人机路径规划

UAV Path Planning Algorithm Based on Improved Harris Hawks Optimization.

作者信息

Zhang Ran, Li Sen, Ding Yuanming, Qin Xutong, Xia Qingyu

机构信息

School of Information Engineering, Dalian University, Dalian 116622, China.

Communication and Network Laboratory, Dalian University, Dalian 116622, China.

出版信息

Sensors (Basel). 2022 Jul 13;22(14):5232. doi: 10.3390/s22145232.

DOI:10.3390/s22145232
PMID:35890912
原文链接:https://pmc.ncbi.nlm.nih.gov/articles/PMC9321467/
Abstract

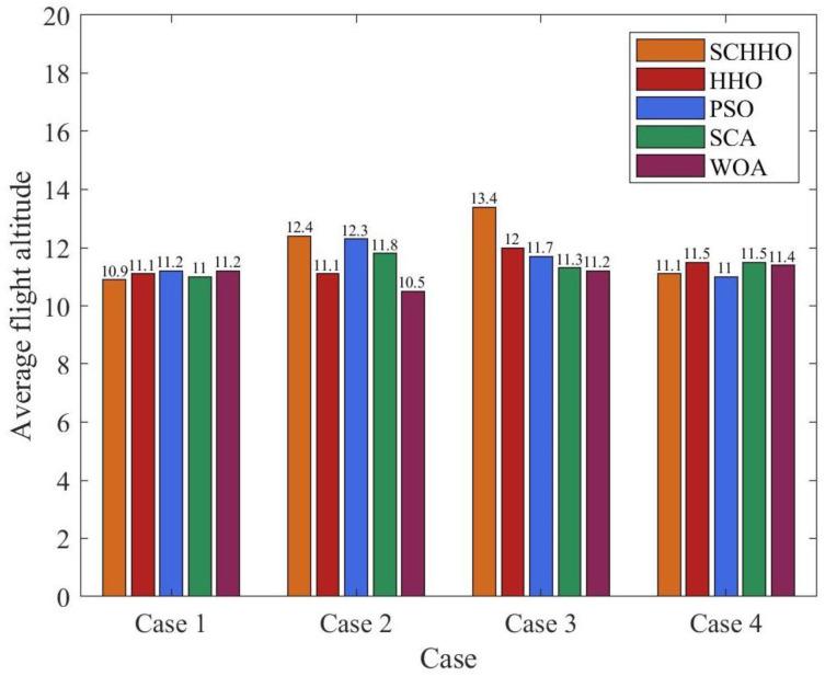
In the Unmanned Aerial Vehicle (UAV) system, finding a flight planning path with low cost and fast search speed is an important problem. However, in the complex three-dimensional (3D) flight environment, the planning effect of many algorithms is not ideal. In order to improve its performance, this paper proposes a UAV path planning algorithm based on improved Harris Hawks Optimization (HHO). A 3D mission space model and a flight path cost function are first established to transform the path planning problem into a multidimensional function optimization problem. HHO is then improved for path planning, where the Cauchy mutation strategy and adaptive weight are introduced in the exploration process in order to increase the population diversity, expand the search space and improve the search ability. In addition, in order to reduce the possibility of falling into local extremum, the Sine-cosine Algorithm (SCA) is used and its oscillation characteristics are considered to gradually converge to the optimal solution. The simulation results show that the proposed algorithm has high optimization accuracy, convergence speed and robustness, and it can generate a more optimized path planning result for UAVs.

摘要

在无人机(UAV)系统中,寻找低成本且搜索速度快的飞行规划路径是一个重要问题。然而,在复杂的三维(3D)飞行环境中,许多算法的规划效果并不理想。为了提高其性能,本文提出了一种基于改进哈里斯鹰优化(HHO)的无人机路径规划算法。首先建立三维任务空间模型和飞行路径代价函数,将路径规划问题转化为多维函数优化问题。然后对HHO进行路径规划改进,在探索过程中引入柯西变异策略和自适应权重,以增加种群多样性、扩大搜索空间并提高搜索能力。此外,为了降低陷入局部极值的可能性,使用正弦余弦算法(SCA)并考虑其振荡特性逐步收敛到最优解。仿真结果表明,所提算法具有较高的优化精度、收敛速度和鲁棒性,能够为无人机生成更优的路径规划结果。

https://cdn.ncbi.nlm.nih.gov/pmc/blobs/d1f7/9321467/ebb3601c3356/sensors-22-05232-g011.jpg
https://cdn.ncbi.nlm.nih.gov/pmc/blobs/d1f7/9321467/96315a0539af/sensors-22-05232-g0A1a.jpg
https://cdn.ncbi.nlm.nih.gov/pmc/blobs/d1f7/9321467/06be3225d508/sensors-22-05232-g0A2a.jpg
https://cdn.ncbi.nlm.nih.gov/pmc/blobs/d1f7/9321467/494ccdb5f244/sensors-22-05232-g001.jpg
https://cdn.ncbi.nlm.nih.gov/pmc/blobs/d1f7/9321467/b12d013a9f02/sensors-22-05232-g002.jpg
https://cdn.ncbi.nlm.nih.gov/pmc/blobs/d1f7/9321467/d82b03c5913e/sensors-22-05232-g003a.jpg
https://cdn.ncbi.nlm.nih.gov/pmc/blobs/d1f7/9321467/a64739990a12/sensors-22-05232-g004a.jpg
https://cdn.ncbi.nlm.nih.gov/pmc/blobs/d1f7/9321467/ec07c0539d84/sensors-22-05232-g005a.jpg
https://cdn.ncbi.nlm.nih.gov/pmc/blobs/d1f7/9321467/09d83806f504/sensors-22-05232-g006.jpg
https://cdn.ncbi.nlm.nih.gov/pmc/blobs/d1f7/9321467/0107f439e81e/sensors-22-05232-g007.jpg
https://cdn.ncbi.nlm.nih.gov/pmc/blobs/d1f7/9321467/66095d168e3a/sensors-22-05232-g008a.jpg
https://cdn.ncbi.nlm.nih.gov/pmc/blobs/d1f7/9321467/931e3f0b375e/sensors-22-05232-g009.jpg
https://cdn.ncbi.nlm.nih.gov/pmc/blobs/d1f7/9321467/5ea7b591bec6/sensors-22-05232-g010.jpg
https://cdn.ncbi.nlm.nih.gov/pmc/blobs/d1f7/9321467/ebb3601c3356/sensors-22-05232-g011.jpg
https://cdn.ncbi.nlm.nih.gov/pmc/blobs/d1f7/9321467/96315a0539af/sensors-22-05232-g0A1a.jpg
https://cdn.ncbi.nlm.nih.gov/pmc/blobs/d1f7/9321467/06be3225d508/sensors-22-05232-g0A2a.jpg
https://cdn.ncbi.nlm.nih.gov/pmc/blobs/d1f7/9321467/494ccdb5f244/sensors-22-05232-g001.jpg
https://cdn.ncbi.nlm.nih.gov/pmc/blobs/d1f7/9321467/b12d013a9f02/sensors-22-05232-g002.jpg
https://cdn.ncbi.nlm.nih.gov/pmc/blobs/d1f7/9321467/d82b03c5913e/sensors-22-05232-g003a.jpg
https://cdn.ncbi.nlm.nih.gov/pmc/blobs/d1f7/9321467/a64739990a12/sensors-22-05232-g004a.jpg
https://cdn.ncbi.nlm.nih.gov/pmc/blobs/d1f7/9321467/ec07c0539d84/sensors-22-05232-g005a.jpg
https://cdn.ncbi.nlm.nih.gov/pmc/blobs/d1f7/9321467/09d83806f504/sensors-22-05232-g006.jpg
https://cdn.ncbi.nlm.nih.gov/pmc/blobs/d1f7/9321467/0107f439e81e/sensors-22-05232-g007.jpg
https://cdn.ncbi.nlm.nih.gov/pmc/blobs/d1f7/9321467/66095d168e3a/sensors-22-05232-g008a.jpg
https://cdn.ncbi.nlm.nih.gov/pmc/blobs/d1f7/9321467/931e3f0b375e/sensors-22-05232-g009.jpg
https://cdn.ncbi.nlm.nih.gov/pmc/blobs/d1f7/9321467/5ea7b591bec6/sensors-22-05232-g010.jpg
https://cdn.ncbi.nlm.nih.gov/pmc/blobs/d1f7/9321467/ebb3601c3356/sensors-22-05232-g011.jpg

相似文献

1
UAV Path Planning Algorithm Based on Improved Harris Hawks Optimization.基于改进哈里斯鹰优化算法的无人机路径规划
Sensors (Basel). 2022 Jul 13;22(14):5232. doi: 10.3390/s22145232.
2
Multi-UAV Path Planning Algorithm Based on BINN-HHO.基于 BINN-HHO 的多无人机路径规划算法。
Sensors (Basel). 2022 Dec 13;22(24):9786. doi: 10.3390/s22249786.
3
An Improved Harris Hawks Optimization Algorithm and Its Application in Grid Map Path Planning.一种改进的哈里斯鹰优化算法及其在网格地图路径规划中的应用
Biomimetics (Basel). 2023 Sep 15;8(5):428. doi: 10.3390/biomimetics8050428.
4
A Modified Sparrow Search Algorithm with Application in 3d Route Planning for UAV.一种改进的麻雀搜索算法及其在无人机三维路径规划中的应用
Sensors (Basel). 2021 Feb 9;21(4):1224. doi: 10.3390/s21041224.
5
Multi-Strategy Improved Harris Hawk Optimization Algorithm and Its Application in Path Planning.多策略改进的哈里斯鹰优化算法及其在路径规划中的应用
Biomimetics (Basel). 2024 Sep 12;9(9):552. doi: 10.3390/biomimetics9090552.
6
A path planning method using modified harris hawks optimization algorithm for mobile robots.一种用于移动机器人的基于改进型哈里斯鹰优化算法的路径规划方法。
PeerJ Comput Sci. 2023 Jul 18;9:e1473. doi: 10.7717/peerj-cs.1473. eCollection 2023.
7
A Multi-Objective Optimization Problem Solving Method Based on Improved Golden Jackal Optimization Algorithm and Its Application.一种基于改进金豺优化算法的多目标优化问题求解方法及其应用
Biomimetics (Basel). 2024 Apr 28;9(5):270. doi: 10.3390/biomimetics9050270.
8
An Improved Equilibrium Optimizer with Application in Unmanned Aerial Vehicle Path Planning.一种改进的平衡优化器及其在无人机路径规划中的应用
Sensors (Basel). 2021 Mar 5;21(5):1814. doi: 10.3390/s21051814.
9
A Hybrid Differential Symbiotic Organisms Search Algorithm for UAV Path Planning.一种用于无人机路径规划的混合差分共生生物体搜索算法。
Sensors (Basel). 2021 Apr 26;21(9):3037. doi: 10.3390/s21093037.
10
Multiple elite strategy enhanced RIME algorithm for 3D UAV path planning.用于3D无人机路径规划的多精英策略增强型RIME算法
Sci Rep. 2024 Sep 17;14(1):21734. doi: 10.1038/s41598-024-72279-1.

引用本文的文献

1
Three-Dimensional Path Planning for UAV Based on Multi-Strategy Dream Optimization Algorithm.基于多策略梦优化算法的无人机三维路径规划
Biomimetics (Basel). 2025 Aug 21;10(8):551. doi: 10.3390/biomimetics10080551.
2
Hybrid Swarm Intelligence and Human-Inspired Optimization for Urban Drone Path Planning.用于城市无人机路径规划的混合群体智能与人类启发式优化
Biomimetics (Basel). 2025 Mar 14;10(3):180. doi: 10.3390/biomimetics10030180.
3
An Improved Human Evolution Optimization Algorithm for Unmanned Aerial Vehicle 3D Trajectory Planning.

本文引用的文献

1
A Hybrid Differential Symbiotic Organisms Search Algorithm for UAV Path Planning.一种用于无人机路径规划的混合差分共生生物体搜索算法。
Sensors (Basel). 2021 Apr 26;21(9):3037. doi: 10.3390/s21093037.
2
Applications of unmanned aerial vehicle (UAV) in road safety, traffic and highway infrastructure management: Recent advances and challenges.无人机在道路安全、交通及公路基础设施管理中的应用:最新进展与挑战
Transp Res Part A Policy Pract. 2020 Nov;141:116-129. doi: 10.1016/j.tra.2020.09.018. Epub 2020 Oct 1.
3
UAV Mission Planning Resistant to Weather Uncertainty.
一种用于无人机三维轨迹规划的改进型人类进化优化算法
Biomimetics (Basel). 2025 Jan 3;10(1):23. doi: 10.3390/biomimetics10010023.
4
Path Planning of an Unmanned Aerial Vehicle Based on a Multi-Strategy Improved Pelican Optimization Algorithm.基于多策略改进鹈鹕优化算法的无人机路径规划
Biomimetics (Basel). 2024 Oct 21;9(10):647. doi: 10.3390/biomimetics9100647.
5
Efficient cluster-based routing protocol for wireless sensor networks by using collaborative-inspired Harris Hawk optimization and fuzzy logic.利用协同启发式哈里斯鹰优化和模糊逻辑的无线传感器网络高效簇状路由协议。
PLoS One. 2024 Apr 5;19(4):e0301470. doi: 10.1371/journal.pone.0301470. eCollection 2024.
6
An improved chaos sparrow search algorithm for UAV path planning.一种用于无人机路径规划的改进混沌麻雀搜索算法。
Sci Rep. 2024 Jan 3;14(1):366. doi: 10.1038/s41598-023-50484-8.
7
UAV Cluster Mission Planning Strategy for Area Coverage Tasks.用于区域覆盖任务的无人机集群任务规划策略
Sensors (Basel). 2023 Nov 11;23(22):9122. doi: 10.3390/s23229122.
8
An Improved Harris Hawks Optimization Algorithm and Its Application in Grid Map Path Planning.一种改进的哈里斯鹰优化算法及其在网格地图路径规划中的应用
Biomimetics (Basel). 2023 Sep 15;8(5):428. doi: 10.3390/biomimetics8050428.
9
Multi-UAV Path Planning Algorithm Based on BINN-HHO.基于 BINN-HHO 的多无人机路径规划算法。
Sensors (Basel). 2022 Dec 13;22(24):9786. doi: 10.3390/s22249786.
无人机任务规划抗天气不确定性。
Sensors (Basel). 2020 Jan 16;20(2):515. doi: 10.3390/s20020515.
4
Efficient path planning for UAV formation via comprehensively improved particle swarm optimization.基于全面改进粒子群优化算法的无人机编队高效路径规划
ISA Trans. 2020 Feb;97:415-430. doi: 10.1016/j.isatra.2019.08.018. Epub 2019 Aug 8.
5
Swarm intelligence. A whole new way to think about business.群体智能。一种全新的商业思维方式。
Harv Bus Rev. 2001 May;79(5):106-14, 165.