College of Landscape Architecture, Sichuan Agricultural University, Chengdu 611130, China.
Department of Plant Sciences, University of California Davis, Davis, CA 95616, USA.
Int J Mol Sci. 2022 Jul 24;23(15):8145. doi: 10.3390/ijms23158145.
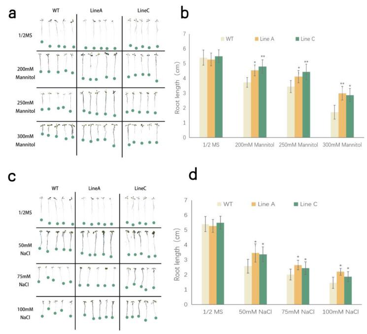
WRKY transcription factors (TFs), one of the largest transcription factor families in plants, play an important role in abiotic stress responses. The resurrection plant, , has a strong tolerance to dehydration, but only a few WRKY proteins related to abiotic stress response have been identified and functionally characterized in . In this study, we identified an early dehydration-induced gene, , of . The deduced MfWRKY40 protein has a conserved WRKY motif but lacks a typical zinc finger motif in the WRKY domain and is localized in the nucleus. To investigate its potential roles in abiotic stresses, we overexpressed in and found that transgenic lines exhibited better tolerance to both drought and salt stresses. Further detailed analysis indicated that MfWRKY40 promoted primary root length elongation and reduced water loss rate and stomata aperture (width/length) under stress, which may provide the better water uptake and retention abilities. MfWRKY40 also facilitated osmotic adjustment under drought and salt stresses by accumulating more osmolytes, such as proline, soluble sugar, and soluble protein. Additionally, the antioxidation ability of transgenic lines was also significantly enhanced, represented by higher chlorophyll content, less malondialdehyde and reactive oxygen species accumulations, as well as higher antioxidation enzyme activities. All these results indicated that MfWRKY40 might positively regulate tolerance to drought and salinity stresses. Further investigation on the relationship of the missing zinc finger motif of MfWRKY40 and its regulatory role is necessary to obtain a better understanding of the mechanism underlying the excellent drought tolerance of .
WRKY 转录因子(TFs)是植物中最大的转录因子家族之一,在非生物胁迫响应中发挥重要作用。复苏植物具有很强的耐旱能力,但在 中仅鉴定和功能表征了少数与非生物胁迫响应相关的 WRKY 蛋白。在本研究中,我们鉴定了一个早期脱水诱导基因 。推测的 MfWRKY40 蛋白具有保守的 WRKY 基序,但在 WRKY 结构域中缺乏典型的锌指基序,定位于细胞核内。为了研究其在非生物胁迫中的潜在作用,我们在 中过表达了 ,发现转基因系对干旱和盐胁迫表现出更好的耐受性。进一步的详细分析表明,MfWRKY40 促进了主根的伸长,降低了胁迫下的水分损失率和气孔孔径(宽/长),这可能为 提供了更好的吸水和保水能力。MfWRKY40 还通过积累更多的渗透物,如脯氨酸、可溶性糖和可溶性蛋白,促进干旱和盐胁迫下的渗透调节。此外,转基因系的抗氧化能力也显著增强,表现为更高的叶绿素含量、更少的丙二醛和活性氧积累以及更高的抗氧化酶活性。所有这些结果表明,MfWRKY40 可能正向调节对干旱和盐胁迫的耐受性。需要进一步研究 MfWRKY40 缺失锌指基序与其调控作用之间的关系,以更好地理解 耐旱能力优异的机制。