• 文献检索
  • 文档翻译
  • 深度研究
  • 学术资讯
  • Suppr Zotero 插件Zotero 插件
  • 邀请有礼
  • 套餐&价格
  • 历史记录
应用&插件
Suppr Zotero 插件Zotero 插件浏览器插件Mac 客户端Windows 客户端微信小程序
定价
高级版会员购买积分包购买API积分包
服务
文献检索文档翻译深度研究API 文档MCP 服务
关于我们
关于 Suppr公司介绍联系我们用户协议隐私条款
关注我们

Suppr 超能文献

核心技术专利:CN118964589B侵权必究
粤ICP备2023148730 号-1Suppr @ 2026

文献检索

告别复杂PubMed语法,用中文像聊天一样搜索,搜遍4000万医学文献。AI智能推荐,让科研检索更轻松。

立即免费搜索

文件翻译

保留排版,准确专业,支持PDF/Word/PPT等文件格式,支持 12+语言互译。

免费翻译文档

深度研究

AI帮你快速写综述,25分钟生成高质量综述,智能提取关键信息,辅助科研写作。

立即免费体验

确定不同年龄组患者在麻醉诱导期间意识消失时瑞马唑仑的 95%有效剂量。

Determination of the 95% effective dose of remimazolam to achieve loss of consciousness during anesthesia induction in different age groups.

机构信息

Department of Anesthesiology and Pain Medicine, Ajou University School of Medicine, Suwon, Korea.

Office of Biostatics, Medical Research Collaborating Center, Ajou Research Institute for Innovative Medicine, Ajou University Medical Center, Suwon, Korea.

出版信息

Korean J Anesthesiol. 2022 Dec;75(6):510-517. doi: 10.4097/kja.22331. Epub 2022 Aug 1.

DOI:10.4097/kja.22331
PMID:35912426
原文链接:https://pmc.ncbi.nlm.nih.gov/articles/PMC9726459/
Abstract

BACKGROUND

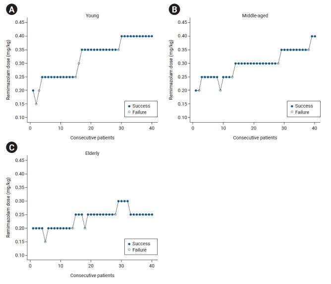
Remimazolam is a new ultra short-acting benzodiazepine originally developed as an improved version of midazolam. Recent studies have demonstrated non-inferiority of remimazolam to propofol in general anesthesia. However, to date, few studies have investigated the induction bolus dose of remimazolam required to achieve general anesthesia. We aimed to determine the 95% effective dose (ED95) of remimazolam bolus required to achieve loss of consciousness (LOC) and the appropriate doses for different age groups.

METHODS

Patients aged 20-79 years with the American Society of Anesthesiologists physical status of I or II were enrolled in this study. A total of 120 patients were included representing young, middle-aged, and elderly groups. Loss of eyelash reflex and verbal response after the administration of remimazolam was considered successful LOC. The ED95 of remimazolam was determined using a biased coin up-and-down design with sequential allocation and the isotonic regression method.

RESULTS

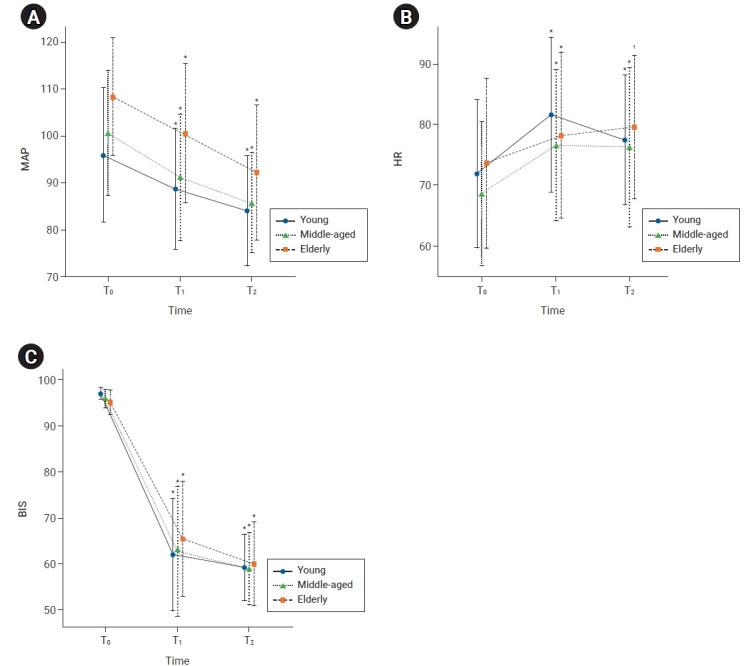
The ED95 of remimazolam for induction of general anesthesia was 0.367 mg/kg (95% CI [0.277, 0.392]) in the young group, 0.369 mg/kg (95% CI [0.266, 0.394]) in the middle-aged group, and 0.249 mg/kg (95% CI [0.199, 0.288]) in the elderly group. During the study period, none of the patients required rescue medications for hypotension or bradycardia.

CONCLUSIONS

This study investigated the ED95 of remimazolam bolus for anesthesia induction. The precise dosing of the ED95 can help maintain hemodynamic stability during the induction of anesthesia.

摘要

背景

雷米唑仑是一种新型超短效苯二氮䓬类药物,最初被开发为咪达唑仑的改良版。最近的研究表明,雷米唑仑在全身麻醉中的非劣效性不劣于丙泊酚。然而,迄今为止,很少有研究调查雷米唑仑诱导剂量以达到全身麻醉。我们旨在确定达到意识丧失(LOC)所需的雷米唑仑推注剂量的 95%有效剂量(ED95),以及不同年龄组的适当剂量。

方法

本研究纳入了年龄在 20-79 岁之间、美国麻醉医师协会身体状况为 I 或 II 级的患者。共有 120 名患者被纳入本研究,代表了年轻、中年和老年组。雷米唑仑给药后睫毛反射和言语反应丧失被认为是成功的 LOC。ED95 采用偏倚硬币上下设计、序贯分配和等张回归方法确定。

结果

雷米唑仑诱导全身麻醉的 ED95 为 0.367mg/kg(95%CI[0.277,0.392])在年轻组,0.369mg/kg(95%CI[0.266,0.394])在中年组,0.249mg/kg(95%CI[0.199,0.288])在老年组。在研究期间,没有患者需要使用升压药或降压药来治疗低血压或心动过缓。

结论

本研究调查了雷米唑仑推注用于麻醉诱导的 ED95。ED95 的精确剂量可以帮助维持麻醉诱导期间的血液动力学稳定性。

https://cdn.ncbi.nlm.nih.gov/pmc/blobs/3d0d/9726459/3a3a350ba52b/kja-22331f4.jpg
https://cdn.ncbi.nlm.nih.gov/pmc/blobs/3d0d/9726459/9add97ffd0e4/kja-22331f1.jpg
https://cdn.ncbi.nlm.nih.gov/pmc/blobs/3d0d/9726459/7c1607077355/kja-22331f2.jpg
https://cdn.ncbi.nlm.nih.gov/pmc/blobs/3d0d/9726459/21cbea7ca3a1/kja-22331f3.jpg
https://cdn.ncbi.nlm.nih.gov/pmc/blobs/3d0d/9726459/3a3a350ba52b/kja-22331f4.jpg
https://cdn.ncbi.nlm.nih.gov/pmc/blobs/3d0d/9726459/9add97ffd0e4/kja-22331f1.jpg
https://cdn.ncbi.nlm.nih.gov/pmc/blobs/3d0d/9726459/7c1607077355/kja-22331f2.jpg
https://cdn.ncbi.nlm.nih.gov/pmc/blobs/3d0d/9726459/21cbea7ca3a1/kja-22331f3.jpg
https://cdn.ncbi.nlm.nih.gov/pmc/blobs/3d0d/9726459/3a3a350ba52b/kja-22331f4.jpg

相似文献

1
Determination of the 95% effective dose of remimazolam to achieve loss of consciousness during anesthesia induction in different age groups.确定不同年龄组患者在麻醉诱导期间意识消失时瑞马唑仑的 95%有效剂量。
Korean J Anesthesiol. 2022 Dec;75(6):510-517. doi: 10.4097/kja.22331. Epub 2022 Aug 1.
2
Pharmacodynamic analysis of intravenous bolus remimazolam for loss of consciousness in patients undergoing general anaesthesia: a randomised, prospective, double-blind study.静脉注射咪达唑仑诱导全麻患者意识消失的药效学分析:一项随机、前瞻性、双盲研究。
Br J Anaesth. 2022 Jul;129(1):49-57. doi: 10.1016/j.bja.2022.02.040. Epub 2022 May 11.
3
Effective bolus dose of remimazolam for i-gel insertion in nonparalyzed patients: a dose-finding study.瑞马唑仑用于非肌松患者插入 i-gel 时的有效负荷剂量:一项剂量探索研究。
Can J Anaesth. 2024 Sep;71(9):1251-1260. doi: 10.1007/s12630-024-02762-w. Epub 2024 Apr 26.
4
The Median Effective Dose and Bispectral Index of Remimazolam Tosilate for Anesthesia Induction in Elderly Patients: An Up-and-Down Sequential Allocation Trial.雷米唑仑甲磺酸盐用于老年患者麻醉诱导的中效剂量和双频谱指数:一项上下序贯分配试验。
Clin Interv Aging. 2022 May 20;17:837-843. doi: 10.2147/CIA.S364222. eCollection 2022.
5
Safety and efficacy of remimazolam in induction and maintenance of general anesthesia in high-risk surgical patients (ASA Class III): results of a multicenter, randomized, double-blind, parallel-group comparative trial.瑞马唑仑用于高危手术患者全麻诱导和维持的安全性和有效性(ASA 分级 III):一项多中心、随机、双盲、平行组比较试验的结果。
J Anesth. 2020 Aug;34(4):491-501. doi: 10.1007/s00540-020-02776-w. Epub 2020 Apr 17.
6
Comparison of hemodynamics during induction of general anesthesia with remimazolam and target-controlled propofol in middle-aged and elderly patients: a single-center, randomized, controlled trial.比较雷米唑仑和靶控输注丙泊酚在中老年患者全麻诱导期间的血液动力学:一项单中心、随机、对照试验。
BMC Anesthesiol. 2023 Jan 10;23(1):14. doi: 10.1186/s12871-023-01974-9.
7
Exploring the ED50 and ED95 of Remimazolam for Laryngeal Mask Airway Insertion During General Anesthesia in Pediatric Strabismus Correction Surgery.探讨瑞马唑仑用于小儿斜视矫正手术全身麻醉下喉罩置入的 ED50 和 ED95。
Ann Ital Chir. 2024;95(4):690-698. doi: 10.62713/aic.3430.
8
Efficacy and safety of remimazolam versus propofol for general anesthesia: a multicenter, single-blind, randomized, parallel-group, phase IIb/III trial.瑞马唑仑与丙泊酚用于全身麻醉的有效性和安全性:一项多中心、单盲、随机、平行分组、Ⅱb/Ⅲ期临床试验。
J Anesth. 2020 Aug;34(4):543-553. doi: 10.1007/s00540-020-02788-6. Epub 2020 May 16.
9
Remimazolam for induction of anesthesia in elderly patients with severe aortic stenosis: a prospective, observational pilot study.瑞马唑仑用于严重主动脉瓣狭窄老年患者麻醉诱导:一项前瞻性、观察性的初步研究。
BMC Anesthesiol. 2021 Dec 6;21(1):306. doi: 10.1186/s12871-021-01530-3.
10
Time-to-Event Modeling for Remimazolam for the Indication of Induction and Maintenance of General Anesthesia.用于全身麻醉诱导和维持的瑞米唑仑的事件发生时间建模。
J Clin Pharmacol. 2020 Apr;60(4):505-514. doi: 10.1002/jcph.1552. Epub 2020 Jan 27.

引用本文的文献

1
The use of remimazolam versus propofol for anesthesia induction in video-assisted thoracoscopic surgery: study protocol for a multicenter randomized controlled trial.瑞米唑仑与丙泊酚用于电视辅助胸腔镜手术麻醉诱导的比较:一项多中心随机对照试验的研究方案
Trials. 2025 May 26;26(1):173. doi: 10.1186/s13063-025-08833-7.
2
Dose-Response Study of Remimazolam Combined With Remifentanil for Attenuating Stress Response During Laryngeal Mask Airway Insertion in Elderly Female Patients: A Prospective Double-Blinded Study.瑞马唑仑联合瑞芬太尼减轻老年女性患者喉罩置入期间应激反应的剂量反应研究:一项前瞻性双盲研究
Drug Des Devel Ther. 2025 Mar 5;19:1575-1583. doi: 10.2147/DDDT.S494426. eCollection 2025.
3

本文引用的文献

1
Remimazolam - current knowledge on a new intravenous benzodiazepine anesthetic agent.瑞马唑仑——一种新型静脉苯二氮䓬类麻醉药物的现有知识。
Korean J Anesthesiol. 2022 Aug;75(4):307-315. doi: 10.4097/kja.22297. Epub 2022 May 19.
2
Efficacy and Safety of Remimazolam Tosilate versus Propofol for General Anesthesia in Cirrhotic Patients Undergoing Endoscopic Variceal Ligation.甲苯磺酸瑞马唑仑与丙泊酚用于肝硬化患者内镜下静脉曲张结扎术全身麻醉的疗效与安全性比较
Int J Gen Med. 2022 Jan 13;15:583-591. doi: 10.2147/IJGM.S345390. eCollection 2022.
3
Efficacy and safety of remimazolam tosylate in hysteroscopy: A randomized, single-blind, parallel controlled trial.
Median effective dose of remimazolam combined with sufentanil for inhibiting laryngeal mask airway insertion responses in children of different ages.
瑞马唑仑联合舒芬太尼抑制不同年龄段儿童喉罩置入反应的半数有效剂量。
Front Pharmacol. 2025 Jan 6;15:1506209. doi: 10.3389/fphar.2024.1506209. eCollection 2024.
4
Anesthesia management using remimazolam for coronary artery bypass grafting and aortic valve replacement in a patient with severe cardiac dysfunction: A case report.使用瑞马唑仑对严重心功能不全患者进行冠状动脉旁路移植术和主动脉瓣置换术的麻醉管理:一例报告
SAGE Open Med Case Rep. 2024 Dec 25;12:2050313X241310640. doi: 10.1177/2050313X241310640. eCollection 2024.
5
Effect-Site Concentration of Remimazolam by Age Groups During Target-Controlled Infusion for Total Intravenous Anesthesia: A Retrospective Comparative Study.年龄对靶控输注瑞马唑仑用于全静脉麻醉时效应室浓度的影响:一项回顾性比较研究。
Drug Des Devel Ther. 2024 Nov 12;18:5149-5159. doi: 10.2147/DDDT.S480734. eCollection 2024.
6
Efficacy and safety of remimazolam tosilate in anesthesia for short otolaryngology surgery.甲苯磺酸雷米佐旦用于短耳鼻喉科手术麻醉的有效性和安全性。
BMC Anesthesiol. 2024 Nov 11;24(1):407. doi: 10.1186/s12871-024-02790-5.
7
Remimazolam Anesthesia for Modified Electroconvulsive Therapy Mitigates Postoperative Agitation.瑞马唑仑用于改良电休克治疗的麻醉可减轻术后躁动。
Cureus. 2024 Oct 7;16(10):e71037. doi: 10.7759/cureus.71037. eCollection 2024 Oct.
8
The dose of remimazolam combined with sufentanil for the induction of general anesthesia in obese patients undergoing bariatric surgery: an up-and-down sequential allocation trial.瑞米唑仑联合舒芬太尼用于肥胖患者减重手术全身麻醉诱导的剂量:一项序贯上下法分配试验
Front Pharmacol. 2024 Sep 25;15:1411856. doi: 10.3389/fphar.2024.1411856. eCollection 2024.
9
The influence of sex on the dosage of remimazolam co-administered with remifentanil for loss of consciousness in adult patients: an up-and-down sequential allocation trial.性别对成年患者意识消失时瑞马唑仑与瑞芬太尼合用剂量的影响:上下序贯分配试验。
BMC Anesthesiol. 2024 Aug 19;24(1):292. doi: 10.1186/s12871-024-02675-7.
10
Remimazolam vs. propofol for general anaesthesia in elderly patients: a meta-analysis with trial sequential analysis.瑞马唑仑与丙泊酚用于老年患者全身麻醉的比较:一项荟萃分析与试验序贯分析。
Eur J Anaesthesiol. 2024 Oct 1;41(10):738-748. doi: 10.1097/EJA.0000000000002042. Epub 2024 Aug 12.
甲苯磺酸瑞马唑仑在宫腔镜检查中的有效性和安全性:一项随机、单盲、平行对照试验。
J Clin Pharm Ther. 2022 Jan;47(1):55-60. doi: 10.1111/jcpt.13525. Epub 2021 Oct 16.
4
Safety and efficacy of remimazolam compared with propofol in induction of general anesthesia.与丙泊酚相比,瑞米唑仑用于全身麻醉诱导的安全性和有效性。
Minerva Anestesiol. 2021 Oct;87(10):1073-1079. doi: 10.23736/S0375-9393.21.15517-8. Epub 2021 Jul 14.
5
Sedation outcomes for remimazolam, a new benzodiazepine.瑞马唑仑(一种新型苯二氮䓬类药物)镇静效果评价。
J Oral Sci. 2021 Jun 29;63(3):209-211. doi: 10.2334/josnusd.21-0051. Epub 2021 Jun 7.
6
Efficacy and safety of remimazolam besylate versus propofol during hysteroscopy: single-centre randomized controlled trial.甲磺酸瑞马唑仑与丙泊酚用于宫腔镜检查的有效性和安全性:单中心随机对照试验。
BMC Anesthesiol. 2021 May 20;21(1):156. doi: 10.1186/s12871-021-01373-y.
7
Determination of the ED of a single bolus dose of dexmedetomidine for adequate sedation in obese or nonobese children and adolescents.测定肥胖或非肥胖儿童和青少年单次推注右美托咪定达到充分镇静所需的 ED。
Br J Anaesth. 2021 Mar;126(3):684-691. doi: 10.1016/j.bja.2020.11.037. Epub 2021 Jan 23.
8
Efficacy and safety of remimazolam versus propofol for general anesthesia: a multicenter, single-blind, randomized, parallel-group, phase IIb/III trial.瑞马唑仑与丙泊酚用于全身麻醉的有效性和安全性:一项多中心、单盲、随机、平行分组、Ⅱb/Ⅲ期临床试验。
J Anesth. 2020 Aug;34(4):543-553. doi: 10.1007/s00540-020-02788-6. Epub 2020 May 16.
9
Safety and efficacy of remimazolam in induction and maintenance of general anesthesia in high-risk surgical patients (ASA Class III): results of a multicenter, randomized, double-blind, parallel-group comparative trial.瑞马唑仑用于高危手术患者全麻诱导和维持的安全性和有效性(ASA 分级 III):一项多中心、随机、双盲、平行组比较试验的结果。
J Anesth. 2020 Aug;34(4):491-501. doi: 10.1007/s00540-020-02776-w. Epub 2020 Apr 17.
10
Retrospective analysis of risk factors of hypotensive bradycardic events during shoulder arthroscopic surgery under interscalene blockade in the sitting position.回顾性分析坐位下肌间沟臂丛神经阻滞行肩关节镜手术中低血压性心动过缓事件的危险因素。
Korean J Anesthesiol. 2020 Nov;73(6):542-549. doi: 10.4097/kja.20035. Epub 2020 Mar 27.