• 文献检索
  • 文档翻译
  • 深度研究
  • 学术资讯
  • Suppr Zotero 插件Zotero 插件
  • 邀请有礼
  • 套餐&价格
  • 历史记录
应用&插件
Suppr Zotero 插件Zotero 插件浏览器插件Mac 客户端Windows 客户端微信小程序
定价
高级版会员购买积分包购买API积分包
服务
文献检索文档翻译深度研究API 文档MCP 服务
关于我们
关于 Suppr公司介绍联系我们用户协议隐私条款
关注我们

Suppr 超能文献

核心技术专利:CN118964589B侵权必究
粤ICP备2023148730 号-1Suppr @ 2026

文献检索

告别复杂PubMed语法,用中文像聊天一样搜索,搜遍4000万医学文献。AI智能推荐,让科研检索更轻松。

立即免费搜索

文件翻译

保留排版,准确专业,支持PDF/Word/PPT等文件格式,支持 12+语言互译。

免费翻译文档

深度研究

AI帮你快速写综述,25分钟生成高质量综述,智能提取关键信息,辅助科研写作。

立即免费体验

头颈部癌症患者放化疗期间基于监督和家庭的个体化运动干预的可行性。

Feasibility of a supervised and home-based tailored exercise intervention in head and neck cancer patients during chemoradiotherapy.

机构信息

Department of Dietetics, University Medical Center Utrecht, Utrecht University, Utrecht, Netherlands.

Department of Head and Neck Oncology and Surgery, The Netherlands Cancer Institute, Amsterdam, Netherlands.

出版信息

Eur J Cancer Care (Engl). 2022 Nov;31(6):e13662. doi: 10.1111/ecc.13662. Epub 2022 Aug 11.

DOI:10.1111/ecc.13662
PMID:35953883
原文链接:https://pmc.ncbi.nlm.nih.gov/articles/PMC9787293/
Abstract

OBJECTIVE

Chemoradiotherapy (CRT) for head and neck cancer (HNC) is associated with high toxicity that adversely affects physical functioning, body composition, fatigue, quality of life and treatment outcomes. Exercise interventions during treatment might counteract these negative effects. We therefore assessed the feasibility of an exercise programme for HNC patients during CRT.

METHODS

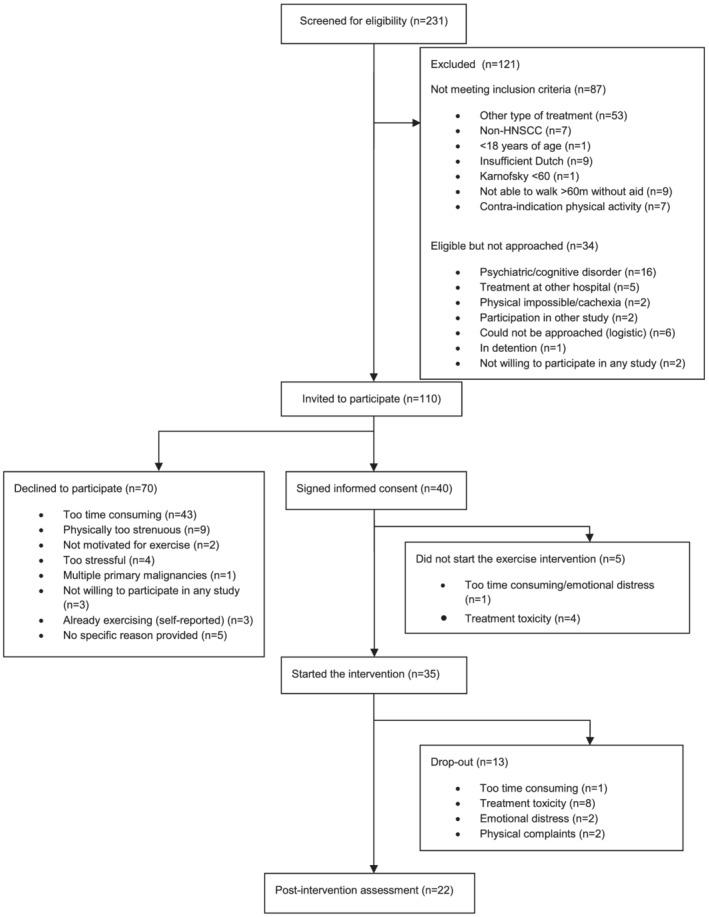
Forty patients were offered a tailored 10-week endurance and resistance training with supervised and home-based sessions. Feasibility endpoints were (1) adherence (main outcome): ≥60% attendance; (2) recruitment: ≥30%; (3) retention rate: ≥85% and (4) compliance rate: ≥60%. Physical performance, muscle strength, body composition, quality of life and fatigue were assessed pre- and post-intervention.

RESULTS

Overall adherence was 54%. The recruitment rate was 36%, and the retention rate was 65%. Compliance to the supervised intervention protocol was 66%. Statistically significant decreases were found in mean grip strength, fat-free mass and clinically relevant deteriorations on several domains of quality of life, and fatigue subscales were found.

CONCLUSION

We conclude that this exercise programme for HNC patients during CRT in its current form is feasible for only a minority of patients. We suggest adaptations to improve adherence and retention rates for a definitive multicentre trial.

TRIAL REGISTRATION

This study is registered at the Netherlands Trial Register (NTR7305), 6 June 2018, retrospectively registered.

摘要

目的

头颈部癌症(HNC)的放化疗(CRT)会带来较高的毒性,从而对身体功能、身体成分、疲劳、生活质量和治疗结果产生不利影响。治疗过程中的运动干预可能会抵消这些负面影响。因此,我们评估了在 CRT 期间对头颈癌患者进行运动计划的可行性。

方法

40 名患者接受了为期 10 周的耐力和阻力训练,包括监督和家庭训练。可行性终点包括:(1)依从性(主要结局):≥60%的出勤率;(2)招募率:≥30%;(3)保留率:≥85%;(4)依从率:≥60%。干预前后评估了身体机能、肌肉力量、身体成分、生活质量和疲劳情况。

结果

总体依从率为 54%。招募率为 36%,保留率为 65%。监督干预方案的依从率为 66%。握力、去脂体重以及生活质量的多个领域和疲劳亚量表的临床相关恶化程度均显著降低。

结论

我们得出结论,目前这种针对 CRT 期间头颈癌患者的运动计划,仅对少数患者是可行的。我们建议进行调整,以提高依从性和保留率,从而开展一项确定的多中心试验。

试验注册

该研究在荷兰试验注册库(NTR7305)注册,注册日期为 2018 年 6 月 6 日,为回顾性注册。

https://cdn.ncbi.nlm.nih.gov/pmc/blobs/cfcd/9787293/5903bc13f547/ECC-31-e13662-g002.jpg
https://cdn.ncbi.nlm.nih.gov/pmc/blobs/cfcd/9787293/53d0b4f102fd/ECC-31-e13662-g001.jpg
https://cdn.ncbi.nlm.nih.gov/pmc/blobs/cfcd/9787293/5903bc13f547/ECC-31-e13662-g002.jpg
https://cdn.ncbi.nlm.nih.gov/pmc/blobs/cfcd/9787293/53d0b4f102fd/ECC-31-e13662-g001.jpg
https://cdn.ncbi.nlm.nih.gov/pmc/blobs/cfcd/9787293/5903bc13f547/ECC-31-e13662-g002.jpg

相似文献

1
Feasibility of a supervised and home-based tailored exercise intervention in head and neck cancer patients during chemoradiotherapy.头颈部癌症患者放化疗期间基于监督和家庭的个体化运动干预的可行性。
Eur J Cancer Care (Engl). 2022 Nov;31(6):e13662. doi: 10.1111/ecc.13662. Epub 2022 Aug 11.
2
EffEx-HN trial: study protocol for a randomized controlled trial on the EFFectiveness and feasibility of a comprehensive supervised EXercise program during radiotherapy in Head and Neck cancer patients on health-related quality of life.EffEx-HN 试验:一项随机对照试验的研究方案,研究在头颈部癌症患者放疗期间实施综合监督性锻炼方案对健康相关生活质量的有效性和可行性。
Trials. 2023 Apr 15;24(1):276. doi: 10.1186/s13063-023-07170-x.
3
Expectations and Experiences of Participating in a Supervised and Home-Based Physical Exercise Intervention in Patients with Head and Neck Cancer during Chemoradiotherapy: A Qualitative Study.头颈部癌症放化疗患者参加监督下家庭运动干预的期望和体验:一项定性研究。
Curr Oncol. 2024 Feb 4;31(2):885-899. doi: 10.3390/curroncol31020066.
4
Progressive resistance training in head and neck cancer patients during concomitant chemoradiotherapy -- design of the DAHANCA 31 randomized trial.头颈部癌患者同步放化疗期间的渐进性抗阻训练——DAHANCA 31随机试验设计
BMC Cancer. 2017 Jun 3;17(1):400. doi: 10.1186/s12885-017-3388-0.
5
SIP SMART: a parallel group randomised feasibility trial of a tailored pre-treatment swallowing intervention package compared with usual care for patients with head and neck cancer.SIP SMART 研究:一项针对头颈部癌症患者的个体化治疗前吞咽干预方案与常规治疗的平行分组随机可行性试验。
BMC Cancer. 2020 Apr 29;20(1):360. doi: 10.1186/s12885-020-06877-3.
6
Feasibility and Preliminary Efficacy of a 10-Week Resistance and Aerobic Exercise Intervention During Neoadjuvant Chemoradiation Treatment in Rectal Cancer Patients.直肠癌患者新辅助放化疗期间进行为期10周的抗阻和有氧运动干预的可行性及初步疗效
Integr Cancer Ther. 2018 Sep;17(3):952-959. doi: 10.1177/1534735418781736. Epub 2018 Jun 11.
7
Effectiveness of exercise-based rehabilitation on functional capacity and quality of life in head and neck cancer patients receiving chemo-radiotherapy.基于运动的康复对接受放化疗的头颈部癌症患者的功能能力和生活质量的影响。
Support Care Cancer. 2019 Oct;27(10):3913-3920. doi: 10.1007/s00520-019-04750-z. Epub 2019 Mar 27.
8
The effect of physical exercise during radiotherapy on physical performance in patients with head and neck cancer: a trial within cohorts study protocol, the vital study.放疗期间进行身体锻炼对头颈部癌症患者身体机能的影响:一项队列内试验研究方案,即 Vital 研究。
BMC Cancer. 2024 Apr 1;24(1):403. doi: 10.1186/s12885-024-12172-2.
9
Effects of prophylactic swallowing exercises on dysphagia and quality of life in patients with head and neck cancer receiving (chemo) radiotherapy: the Redyor study, a protocol for a randomized clinical trial.预防性吞咽练习对头颈部癌症患者(放)化疗后吞咽困难和生活质量影响的研究:Redyor 研究,一项随机临床试验方案。
Trials. 2019 Aug 14;20(1):503. doi: 10.1186/s13063-019-3587-x.
10
Design of the Resistance and Endurance exercise After ChemoTherapy (REACT) study: a randomized controlled trial to evaluate the effectiveness and cost-effectiveness of exercise interventions after chemotherapy on physical fitness and fatigue.化疗后抵抗和耐力运动(REACT)研究的设计:一项随机对照试验,评估化疗后运动干预对身体适应性和疲劳的有效性和成本效益。
BMC Cancer. 2010 Nov 30;10:658. doi: 10.1186/1471-2407-10-658.

引用本文的文献

1
ACTivity as medicine In Oncology for Head and Neck (ACTIOHN): a feasibility study investigating a patient-centred approach to exercise for head and neck cancer patients.头颈部肿瘤学中的运动疗法作为药物(ACTIOHN):一项关于对头颈部癌症患者采用以患者为中心的运动方法的可行性研究。
Front Oncol. 2025 Jul 11;15:1525512. doi: 10.3389/fonc.2025.1525512. eCollection 2025.
2
Individualized home training in head and neck cancer patients is safe and has positive short- and medium-term effects -results of a multicenter, single-arm intervention trial (OSHO #94).头颈癌患者的个体化家庭训练是安全的,并且具有积极的短期和中期效果——一项多中心单臂干预试验(OSHO #94)的结果
Front Oncol. 2025 Jun 9;15:1602532. doi: 10.3389/fonc.2025.1602532. eCollection 2025.
3

本文引用的文献

1
Exercise and Nutrition Interventions in Patients with Head and Neck Cancer during Curative Treatment: A Systematic Review and Meta-Analysis.头颈部癌症患者在根治性治疗期间的运动和营养干预:系统评价和荟萃分析。
Nutrients. 2020 Oct 22;12(11):3233. doi: 10.3390/nu12113233.
2
Human papillomavirus as a driver of head and neck cancers.人乳头瘤病毒作为头颈部癌症的驱动因素。
Br J Cancer. 2020 Feb;122(3):306-314. doi: 10.1038/s41416-019-0602-7. Epub 2019 Nov 11.
3
American College of Sports Medicine Roundtable Report on Physical Activity, Sedentary Behavior, and Cancer Prevention and Control.
Effect of Structured Exercise-based rehabilitation on Sarcopenia and Quality of life among Head and Neck Cancer Patients Undergoing Chemo-radiotherapy: A Randomized Controlled Trial.基于结构化运动的康复训练对接受放化疗的头颈癌患者肌肉减少症及生活质量的影响:一项随机对照试验
Asian Pac J Cancer Prev. 2025 May 1;26(5):1653-1660. doi: 10.31557/APJCP.2025.26.5.1653.
4
Feasibility of a comprehensive supervised exercise program during and after treatment of head and neck cancer: a mixed-methods study.头颈部癌症治疗期间及治疗后的综合监督运动计划的可行性:一项混合方法研究。
Support Care Cancer. 2025 Jan 16;33(2):107. doi: 10.1007/s00520-024-09112-y.
5
Feasibility of individualized home exercise programs for patients with head and neck cancer-study protocol and first results of a multicentre single-arm intervention trial (OSHO #94).个体化家庭运动方案用于头颈部癌症患者的可行性:一项多中心单臂干预试验(OSHO #94)的研究方案及初步结果。
PLoS One. 2024 Aug 22;19(8):e0301304. doi: 10.1371/journal.pone.0301304. eCollection 2024.
6
Factors influencing physical activity in individuals with head and neck cancer: a scoping review.影响头颈癌患者身体活动的因素:一项范围综述
BMJ Open. 2024 Jul 17;14(7):e083852. doi: 10.1136/bmjopen-2023-083852.
7
The effect of physical exercise during radiotherapy on physical performance in patients with head and neck cancer: a trial within cohorts study protocol, the vital study.放疗期间进行身体锻炼对头颈部癌症患者身体机能的影响:一项队列内试验研究方案,即 Vital 研究。
BMC Cancer. 2024 Apr 1;24(1):403. doi: 10.1186/s12885-024-12172-2.
8
Expectations and Experiences of Participating in a Supervised and Home-Based Physical Exercise Intervention in Patients with Head and Neck Cancer during Chemoradiotherapy: A Qualitative Study.头颈部癌症放化疗患者参加监督下家庭运动干预的期望和体验:一项定性研究。
Curr Oncol. 2024 Feb 4;31(2):885-899. doi: 10.3390/curroncol31020066.
美国运动医学学院关于体力活动、久坐行为与癌症预防和控制的圆桌报告
Med Sci Sports Exerc. 2019 Nov;51(11):2391-2402. doi: 10.1249/MSS.0000000000002117.
4
Exercise Guidelines for Cancer Survivors: Consensus Statement from International Multidisciplinary Roundtable.癌症康复者运动指南:国际多学科圆桌会议的共识声明。
Med Sci Sports Exerc. 2019 Nov;51(11):2375-2390. doi: 10.1249/MSS.0000000000002116.
5
Disease-induced and treatment-induced alterations in body composition in locally advanced head and neck squamous cell carcinoma.局部晚期头颈部鳞状细胞癌中因疾病和治疗引起的身体成分改变。
J Cachexia Sarcopenia Muscle. 2020 Feb;11(1):145-159. doi: 10.1002/jcsm.12487. Epub 2019 Sep 19.
6
Prognostic value of body composition on recurrence and survival of advanced-stage head and neck cancer.体成分对晚期头颈部癌症复发和生存的预后价值。
Eur J Cancer. 2019 Jul;116:98-106. doi: 10.1016/j.ejca.2019.05.006. Epub 2019 Jun 10.
7
Exercise interventions for patients with advanced cancer: A systematic review of recruitment, attrition, and exercise adherence rates.晚期癌症患者的运动干预措施:一项关于招募、脱落和运动依从率的系统评价。
Palliat Support Care. 2019 Dec;17(6):686-696. doi: 10.1017/S1478951519000312.
8
Low muscle mass is associated with early termination of chemotherapy related to toxicity in patients with head and neck cancer.肌肉质量低与头颈部癌症患者因毒性而提前终止化疗有关。
Clin Nutr. 2020 Feb;39(2):501-509. doi: 10.1016/j.clnu.2019.02.029. Epub 2019 Feb 22.
9
Variation in Integrated Head and Neck Cancer Care: Impact of Patient and Hospital Characteristics.头颈部癌症综合治疗的差异:患者和医院特征的影响。
J Natl Compr Canc Netw. 2018 Dec;16(12):1491-1498. doi: 10.6004/jnccn.2018.7061.
10
Progressive resistance training in cachectic head and neck cancer patients undergoing radiotherapy: a randomized controlled pilot feasibility trial.进展性抗阻训练在头颈部癌症放疗恶液质患者中的应用:一项随机对照的可行性试验
Radiat Oncol. 2018 Nov 6;13(1):215. doi: 10.1186/s13014-018-1157-0.