• 文献检索
  • 文档翻译
  • 深度研究
  • 学术资讯
  • Suppr Zotero 插件Zotero 插件
  • 邀请有礼
  • 套餐&价格
  • 历史记录
应用&插件
Suppr Zotero 插件Zotero 插件浏览器插件Mac 客户端Windows 客户端微信小程序
定价
高级版会员购买积分包购买API积分包
服务
文献检索文档翻译深度研究API 文档MCP 服务
关于我们
关于 Suppr公司介绍联系我们用户协议隐私条款
关注我们

Suppr 超能文献

核心技术专利:CN118964589B侵权必究
粤ICP备2023148730 号-1Suppr @ 2026

文献检索

告别复杂PubMed语法,用中文像聊天一样搜索,搜遍4000万医学文献。AI智能推荐,让科研检索更轻松。

立即免费搜索

文件翻译

保留排版,准确专业,支持PDF/Word/PPT等文件格式,支持 12+语言互译。

免费翻译文档

深度研究

AI帮你快速写综述,25分钟生成高质量综述,智能提取关键信息,辅助科研写作。

立即免费体验

基于大数据的机器学习:内部特征和外部环境对公众风险感知的预测。

The Prediction of Public Risk Perception by Internal Characteristics and External Environment: Machine Learning on Big Data.

机构信息

Department of Public Administration, School of Law and Humanities, China University of Mining and Technology (Beijing), Beijing 100083, China.

出版信息

Int J Environ Res Public Health. 2022 Aug 3;19(15):9545. doi: 10.3390/ijerph19159545.

DOI:10.3390/ijerph19159545
PMID:35954895
原文链接:https://pmc.ncbi.nlm.nih.gov/articles/PMC9368627/
Abstract

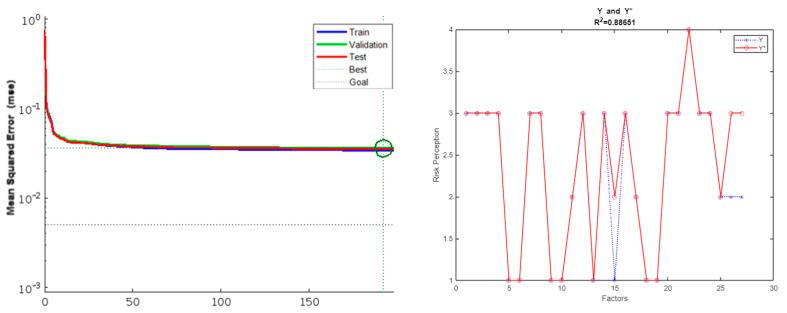
Presently, the public's perception of risk in terms of topical social issues is mainly measured quantitively using a psychological scale, but this approach is not accurate enough for everyday data. In this paper, we explored the ways in which public risk perception can be more accurately predicted in the era of big data. We obtained internal characteristics and external environment predictor variables through a literature review, and then built our prediction model using the machine learning of a BP neural network via three steps: the calculation of the node number of the implication level, a performance test of the BP neural network, and the computation of the weight of every input node. Taking the public risk perception of the Sino-US trade friction and the COVID-19 pandemic in China as research cases, we found that, according to our tests, the node number of the implication level was 15 in terms of the Sino-US trade friction and 14 in terms of the COVID-19 pandemic. Following this, machine learning was conducted, through which we found that the of the BP neural network prediction model was 0.88651 and 0.87125, respectively, for the two cases, which accurately predicted the public's risk perception of the data on a certain day, and simultaneously obtained the weight of every predictor variable in each case. In this paper, we provide comments and suggestions for building a model to predict the public's perception of topical issues.

摘要

目前,公众对热门社会问题的风险感知主要通过心理量表进行定量测量,但这种方法对于日常数据来说不够准确。在本文中,我们探讨了在大数据时代如何更准确地预测公众风险感知。我们通过文献回顾获得了内部特征和外部环境预测变量,然后通过三步使用 BP 神经网络的机器学习构建我们的预测模型:隐含层节点数的计算、BP 神经网络的性能测试和每个输入节点的权重计算。以中美贸易摩擦和中国新冠肺炎疫情的公众风险感知为例,我们发现,根据我们的测试,中美贸易摩擦方面隐含层节点数为 15,新冠肺炎疫情方面隐含层节点数为 14。之后,我们进行了机器学习,发现 BP 神经网络预测模型的准确率分别为 0.88651 和 0.87125,分别准确地预测了数据在某一天的公众风险感知,同时获得了每个案例中每个预测变量的权重。本文为建立预测热门问题公众感知的模型提供了评论和建议。

https://cdn.ncbi.nlm.nih.gov/pmc/blobs/7b47/9368627/fc8d1d7b5fa8/ijerph-19-09545-g009.jpg
https://cdn.ncbi.nlm.nih.gov/pmc/blobs/7b47/9368627/56b1c2c30cf6/ijerph-19-09545-g001.jpg
https://cdn.ncbi.nlm.nih.gov/pmc/blobs/7b47/9368627/33232643bee3/ijerph-19-09545-g002.jpg
https://cdn.ncbi.nlm.nih.gov/pmc/blobs/7b47/9368627/c97ae0a86d9d/ijerph-19-09545-g003.jpg
https://cdn.ncbi.nlm.nih.gov/pmc/blobs/7b47/9368627/e1866d8ffb49/ijerph-19-09545-g004.jpg
https://cdn.ncbi.nlm.nih.gov/pmc/blobs/7b47/9368627/dd389740fa91/ijerph-19-09545-g005.jpg
https://cdn.ncbi.nlm.nih.gov/pmc/blobs/7b47/9368627/5c8db80c8c29/ijerph-19-09545-g006.jpg
https://cdn.ncbi.nlm.nih.gov/pmc/blobs/7b47/9368627/94752d7ec28e/ijerph-19-09545-g007.jpg
https://cdn.ncbi.nlm.nih.gov/pmc/blobs/7b47/9368627/1adccbee6ee8/ijerph-19-09545-g008.jpg
https://cdn.ncbi.nlm.nih.gov/pmc/blobs/7b47/9368627/fc8d1d7b5fa8/ijerph-19-09545-g009.jpg
https://cdn.ncbi.nlm.nih.gov/pmc/blobs/7b47/9368627/56b1c2c30cf6/ijerph-19-09545-g001.jpg
https://cdn.ncbi.nlm.nih.gov/pmc/blobs/7b47/9368627/33232643bee3/ijerph-19-09545-g002.jpg
https://cdn.ncbi.nlm.nih.gov/pmc/blobs/7b47/9368627/c97ae0a86d9d/ijerph-19-09545-g003.jpg
https://cdn.ncbi.nlm.nih.gov/pmc/blobs/7b47/9368627/e1866d8ffb49/ijerph-19-09545-g004.jpg
https://cdn.ncbi.nlm.nih.gov/pmc/blobs/7b47/9368627/dd389740fa91/ijerph-19-09545-g005.jpg
https://cdn.ncbi.nlm.nih.gov/pmc/blobs/7b47/9368627/5c8db80c8c29/ijerph-19-09545-g006.jpg
https://cdn.ncbi.nlm.nih.gov/pmc/blobs/7b47/9368627/94752d7ec28e/ijerph-19-09545-g007.jpg
https://cdn.ncbi.nlm.nih.gov/pmc/blobs/7b47/9368627/1adccbee6ee8/ijerph-19-09545-g008.jpg
https://cdn.ncbi.nlm.nih.gov/pmc/blobs/7b47/9368627/fc8d1d7b5fa8/ijerph-19-09545-g009.jpg

相似文献

1
The Prediction of Public Risk Perception by Internal Characteristics and External Environment: Machine Learning on Big Data.基于大数据的机器学习:内部特征和外部环境对公众风险感知的预测。
Int J Environ Res Public Health. 2022 Aug 3;19(15):9545. doi: 10.3390/ijerph19159545.
2
Analyzing Risk Communication, Trust, Risk Perception, Negative Emotions, and Behavioral Coping Strategies During the COVID-19 Pandemic in China Using a Structural Equation Model.采用结构方程模型分析中国 COVID-19 大流行期间的风险沟通、信任、风险感知、负面情绪和行为应对策略。
Front Public Health. 2022 May 30;10:843787. doi: 10.3389/fpubh.2022.843787. eCollection 2022.
3
Public Interest in Immunity and the Justification for Intervention in the Early Stages of the COVID-19 Pandemic: Analysis of Google Trends Data.公众对免疫的关注和在 COVID-19 大流行早期阶段进行干预的正当性:谷歌趋势数据分析。
J Med Internet Res. 2021 Jun 18;23(6):e26368. doi: 10.2196/26368.
4
Analyzing Indian general public's perspective on anxiety, stress and trauma during Covid-19 - A machine learning study of 840,000 tweets.分析印度公众在新冠疫情期间对焦虑、压力和创伤的看法 - 对 84 万条推文的机器学习研究。
Diabetes Metab Syndr. 2021 May-Jun;15(3):667-671. doi: 10.1016/j.dsx.2021.03.016. Epub 2021 Mar 24.
5
Machine Learning to Detect Self-Reporting of Symptoms, Testing Access, and Recovery Associated With COVID-19 on Twitter: Retrospective Big Data Infoveillance Study.基于机器学习的方法在推特上检测与 COVID-19 相关的自我报告症状、检测途径和康复情况:回顾性大数据信息监测研究。
JMIR Public Health Surveill. 2020 Jun 8;6(2):e19509. doi: 10.2196/19509.
6
Government Intervention, Risk Perception, and the Adoption of Protective Action Recommendations: Evidence from the COVID-19 Prevention and Control Experience of China.政府干预、风险感知与保护性行为采纳:来自中国新冠疫情防控经验的证据。
Int J Environ Res Public Health. 2020 May 13;17(10):3387. doi: 10.3390/ijerph17103387.
7
Using Automated Machine Learning to Predict the Mortality of Patients With COVID-19: Prediction Model Development Study.利用自动化机器学习预测 COVID-19 患者的死亡率:预测模型开发研究。
J Med Internet Res. 2021 Feb 26;23(2):e23458. doi: 10.2196/23458.
8
MGLEP: Multimodal Graph Learning for Modeling Emerging Pandemics with Big Data.MGLEP:基于大数据的多模态图学习模型在新兴传染病中的应用。
Sci Rep. 2024 Jul 16;14(1):16377. doi: 10.1038/s41598-024-67146-y.
9
A big data approach with artificial neural network and molecular similarity for chemical data mining and endocrine disruption prediction.一种结合人工神经网络和分子相似性的大数据方法用于化学数据挖掘和内分泌干扰预测。
Indian J Pharmacol. 2018 Jul-Aug;50(4):169-176. doi: 10.4103/ijp.IJP_304_17.
10
The North American Layman's Understanding of COVID-19: Are We Doing Enough?北美民众对 COVID-19 的理解:我们做得够吗?
Front Public Health. 2020 Jul 3;8:358. doi: 10.3389/fpubh.2020.00358. eCollection 2020.

引用本文的文献

1
A Model for Predicting and Grading the Quality of Grain Storage Processes Affected by Microorganisms under Different Environments.一种用于预测和分级不同环境下受微生物影响的粮食储存过程质量的模型。
Int J Environ Res Public Health. 2023 Feb 25;20(5):4120. doi: 10.3390/ijerph20054120.
2
Development of QSRR model for hydroxamic acids using PCA-GA-BP algorithm incorporated with molecular interaction-based features.基于分子相互作用特征并结合PCA-GA-BP算法的异羟肟酸类化合物QSRR模型的构建
Front Chem. 2022 Nov 22;10:1056701. doi: 10.3389/fchem.2022.1056701. eCollection 2022.

本文引用的文献

1
Perception of COVID-19 Booster Dose Vaccine among Healthcare Workers in India and Saudi Arabia.印度和沙特阿拉伯医护人员对 COVID-19 加强针疫苗的认知。
Int J Environ Res Public Health. 2022 Jul 22;19(15):8942. doi: 10.3390/ijerph19158942.
2
What Influences Miners' Safety Risk Perception?是什么影响矿工的安全风险感知?
Int J Environ Res Public Health. 2022 Mar 23;19(7):3817. doi: 10.3390/ijerph19073817.
3
Influencing Factors of Environmental Risk Perception during the COVID-19 Epidemic in China.中国 COVID-19 疫情期间环境风险感知的影响因素。
Int J Environ Res Public Health. 2021 Sep 5;18(17):9375. doi: 10.3390/ijerph18179375.
4
Risk Perception and Coping Behavior of Construction Workers on Occupational Health Risks-A Case Study of Nanjing, China.建筑工人对职业健康风险的感知与应对行为研究——以中国南京为例。
Int J Environ Res Public Health. 2021 Jul 1;18(13):7040. doi: 10.3390/ijerph18137040.
5
Risk Perception: Reflections on 40 Years of Research.风险认知:对40年研究的反思
Risk Anal. 2020 Nov;40(S1):2191-2206. doi: 10.1111/risa.13599. Epub 2020 Sep 18.
6
Veracity in big data: How good is good enough.大数据中的真实性:足够好是多好。
Health Informatics J. 2019 Dec;25(4):1290-1298. doi: 10.1177/1460458217744369. Epub 2018 Feb 1.
7
RF EMF Risk Perception Revisited: Is the Focus on Concern Sufficient for Risk Perception Studies?再谈射频电磁场风险认知:关注担忧对于风险认知研究是否足够?
Int J Environ Res Public Health. 2017 Jun 8;14(6):620. doi: 10.3390/ijerph14060620.
8
Editorial introduction to the Neural Networks special issue on Deep Learning of Representations.关于深度学习表示的神经网络特刊的编辑引言。
Neural Netw. 2015 Apr;64:1-3. doi: 10.1016/j.neunet.2014.12.006. Epub 2014 Dec 15.
9
Spatial and temporal variation in evacuee risk perception throughout the evacuation and return-entry process.在整个疏散和返回过程中,疏散人员风险感知的空间和时间变化。
Risk Anal. 2012 Sep;32(9):1468-80. doi: 10.1111/j.1539-6924.2011.01781.x. Epub 2012 Mar 2.
10
The role of emotions in risk communication.情绪在风险沟通中的作用。
Risk Anal. 2011 Mar;31(3):450-65. doi: 10.1111/j.1539-6924.2010.01530.x. Epub 2010 Nov 24.