• 文献检索
  • 文档翻译
  • 深度研究
  • 学术资讯
  • Suppr Zotero 插件Zotero 插件
  • 邀请有礼
  • 套餐&价格
  • 历史记录
应用&插件
Suppr Zotero 插件Zotero 插件浏览器插件Mac 客户端Windows 客户端微信小程序
定价
高级版会员购买积分包购买API积分包
服务
文献检索文档翻译深度研究API 文档MCP 服务
关于我们
关于 Suppr公司介绍联系我们用户协议隐私条款
关注我们

Suppr 超能文献

核心技术专利:CN118964589B侵权必究
粤ICP备2023148730 号-1Suppr @ 2026

文献检索

告别复杂PubMed语法,用中文像聊天一样搜索,搜遍4000万医学文献。AI智能推荐,让科研检索更轻松。

立即免费搜索

文件翻译

保留排版,准确专业,支持PDF/Word/PPT等文件格式,支持 12+语言互译。

免费翻译文档

深度研究

AI帮你快速写综述,25分钟生成高质量综述,智能提取关键信息,辅助科研写作。

立即免费体验

基于深度迁移学习的 X 射线图像发育性髋关节发育不良检测

Detection of developmental dysplasia of the hip in X-ray images using deep transfer learning.

机构信息

Department of Computer Engineering, Jordan University of Science and Technology, Irbid, Jordan.

Department of Internal Medicine, Jordan University of Science and Technology, Irbid, Jordan.

出版信息

BMC Med Inform Decis Mak. 2022 Aug 13;22(1):216. doi: 10.1186/s12911-022-01957-9.

DOI:10.1186/s12911-022-01957-9
PMID:35964072
原文链接:https://pmc.ncbi.nlm.nih.gov/articles/PMC9375244/
Abstract

BACKGROUND

Developmental dysplasia of the hip (DDH) is a relatively common disorder in newborns, with a reported prevalence of 1-5 per 1000 births. It can lead to developmental abnormalities in terms of mechanical difficulties and a displacement of the joint (i.e., subluxation or dysplasia). An early diagnosis in the first few months from birth can drastically improve healing, render surgical intervention unnecessary and reduce bracing time. A pelvic X-ray inspection represents the gold standard for DDH diagnosis. Recent advances in deep learning artificial intelligence have enabled the use of many image-based medical decision-making applications. The present study employs deep transfer learning in detecting DDH in pelvic X-ray images without the need for explicit measurements.

METHODS

Pelvic anteroposterior X-ray images from 354 subjects (120 DDH and 234 normal) were collected locally at two hospitals in northern Jordan. A system that accepts these images as input and classifies them as DDH or normal was developed using thirteen deep transfer learning models. Various performance metrics were evaluated in addition to the overfitting/underfitting behavior and the training times.

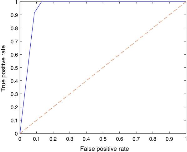
RESULTS

The highest mean DDH detection accuracy was 96.3% achieved using the DarkNet53 model, although other models achieved comparable results. A common theme across all the models was the extremely high sensitivity (i.e., recall) value at the expense of specificity. The F1 score, precision, recall and specificity for DarkNet53 were 95%, 90.6%, 100% and 94.3%, respectively.

CONCLUSIONS

Our automated method appears to be a highly accurate DDH screening and diagnosis method. Moreover, the performance evaluation shows that it is possible to further improve the system by expanding the dataset to include more X-ray images.

摘要

背景

发育性髋关节发育不良(DDH)是新生儿中较为常见的疾病,其发病率为每 1000 例出生婴儿中有 1-5 例。它会导致关节(即半脱位或发育不良)的机械困难和位置异常。在出生后的头几个月内进行早期诊断,可以极大地改善治疗效果,使手术干预变得不必要,并减少支具使用时间。骨盆 X 射线检查是 DDH 诊断的金标准。近年来,深度学习人工智能技术的进步使得许多基于图像的医学决策应用成为可能。本研究采用深度迁移学习,在无需明确测量的情况下,对骨盆 X 射线图像中的 DDH 进行检测。

方法

从约旦北部的两家医院收集了 354 名受试者(120 名 DDH 和 234 名正常)的骨盆前后位 X 射线图像。开发了一个系统,该系统接受这些图像作为输入,并使用 13 种深度迁移学习模型对其进行分类,分为 DDH 或正常。除了过拟合/欠拟合行为和训练时间外,还评估了各种性能指标。

结果

DarkNet53 模型的平均 DDH 检测准确率最高,为 96.3%,尽管其他模型也取得了类似的结果。所有模型的一个共同特点是敏感性(即召回率)极高,而特异性较低。DarkNet53 的 F1 得分为 95%,精度为 90.6%,召回率为 100%,特异性为 94.3%。

结论

我们的自动化方法似乎是一种非常准确的 DDH 筛查和诊断方法。此外,性能评估表明,通过扩展数据集以包含更多的 X 射线图像,有可能进一步改进该系统。

https://cdn.ncbi.nlm.nih.gov/pmc/blobs/0e1f/9375244/1b19d104b8db/12911_2022_1957_Fig13_HTML.jpg
https://cdn.ncbi.nlm.nih.gov/pmc/blobs/0e1f/9375244/01afe4dc00ff/12911_2022_1957_Fig1_HTML.jpg
https://cdn.ncbi.nlm.nih.gov/pmc/blobs/0e1f/9375244/461ebb075f76/12911_2022_1957_Fig2_HTML.jpg
https://cdn.ncbi.nlm.nih.gov/pmc/blobs/0e1f/9375244/36801f9e499e/12911_2022_1957_Fig3_HTML.jpg
https://cdn.ncbi.nlm.nih.gov/pmc/blobs/0e1f/9375244/46f710b20b03/12911_2022_1957_Fig4_HTML.jpg
https://cdn.ncbi.nlm.nih.gov/pmc/blobs/0e1f/9375244/54c4259d31a4/12911_2022_1957_Fig5_HTML.jpg
https://cdn.ncbi.nlm.nih.gov/pmc/blobs/0e1f/9375244/09a6b29b0c41/12911_2022_1957_Fig6_HTML.jpg
https://cdn.ncbi.nlm.nih.gov/pmc/blobs/0e1f/9375244/150b04b0b68d/12911_2022_1957_Fig7_HTML.jpg
https://cdn.ncbi.nlm.nih.gov/pmc/blobs/0e1f/9375244/417c1efd965c/12911_2022_1957_Fig8_HTML.jpg
https://cdn.ncbi.nlm.nih.gov/pmc/blobs/0e1f/9375244/a296ae3c20da/12911_2022_1957_Fig9_HTML.jpg
https://cdn.ncbi.nlm.nih.gov/pmc/blobs/0e1f/9375244/893cd61bd0ba/12911_2022_1957_Fig10_HTML.jpg
https://cdn.ncbi.nlm.nih.gov/pmc/blobs/0e1f/9375244/f3b6d598e90a/12911_2022_1957_Fig11_HTML.jpg
https://cdn.ncbi.nlm.nih.gov/pmc/blobs/0e1f/9375244/4cd4c0009055/12911_2022_1957_Fig12_HTML.jpg
https://cdn.ncbi.nlm.nih.gov/pmc/blobs/0e1f/9375244/1b19d104b8db/12911_2022_1957_Fig13_HTML.jpg
https://cdn.ncbi.nlm.nih.gov/pmc/blobs/0e1f/9375244/01afe4dc00ff/12911_2022_1957_Fig1_HTML.jpg
https://cdn.ncbi.nlm.nih.gov/pmc/blobs/0e1f/9375244/461ebb075f76/12911_2022_1957_Fig2_HTML.jpg
https://cdn.ncbi.nlm.nih.gov/pmc/blobs/0e1f/9375244/36801f9e499e/12911_2022_1957_Fig3_HTML.jpg
https://cdn.ncbi.nlm.nih.gov/pmc/blobs/0e1f/9375244/46f710b20b03/12911_2022_1957_Fig4_HTML.jpg
https://cdn.ncbi.nlm.nih.gov/pmc/blobs/0e1f/9375244/54c4259d31a4/12911_2022_1957_Fig5_HTML.jpg
https://cdn.ncbi.nlm.nih.gov/pmc/blobs/0e1f/9375244/09a6b29b0c41/12911_2022_1957_Fig6_HTML.jpg
https://cdn.ncbi.nlm.nih.gov/pmc/blobs/0e1f/9375244/150b04b0b68d/12911_2022_1957_Fig7_HTML.jpg
https://cdn.ncbi.nlm.nih.gov/pmc/blobs/0e1f/9375244/417c1efd965c/12911_2022_1957_Fig8_HTML.jpg
https://cdn.ncbi.nlm.nih.gov/pmc/blobs/0e1f/9375244/a296ae3c20da/12911_2022_1957_Fig9_HTML.jpg
https://cdn.ncbi.nlm.nih.gov/pmc/blobs/0e1f/9375244/893cd61bd0ba/12911_2022_1957_Fig10_HTML.jpg
https://cdn.ncbi.nlm.nih.gov/pmc/blobs/0e1f/9375244/f3b6d598e90a/12911_2022_1957_Fig11_HTML.jpg
https://cdn.ncbi.nlm.nih.gov/pmc/blobs/0e1f/9375244/4cd4c0009055/12911_2022_1957_Fig12_HTML.jpg
https://cdn.ncbi.nlm.nih.gov/pmc/blobs/0e1f/9375244/1b19d104b8db/12911_2022_1957_Fig13_HTML.jpg

相似文献

1
Detection of developmental dysplasia of the hip in X-ray images using deep transfer learning.基于深度迁移学习的 X 射线图像发育性髋关节发育不良检测
BMC Med Inform Decis Mak. 2022 Aug 13;22(1):216. doi: 10.1186/s12911-022-01957-9.
2
Clinical application of artificial intelligence-assisted diagnosis using anteroposterior pelvic radiographs in children with developmental dysplasia of the hip.人工智能辅助前后位骨盆 X 线片在儿童发育性髋关节发育不良中的临床应用。
Bone Joint J. 2020 Nov;102-B(11):1574-1581. doi: 10.1302/0301-620X.102B11.BJJ-2020-0712.R2.
3
Diagnosis of Developmental Dysplasia of the Hip by Ultrasound Imaging Using Deep Learning.利用深度学习通过超声成像诊断发育性髋关节发育不良
J Pediatr Orthop. 2023 Aug 1;43(7):e538-e544. doi: 10.1097/BPO.0000000000002428. Epub 2023 May 12.
4
Diagnostic accuracy of a deep learning model using YOLOv5 for detecting developmental dysplasia of the hip on radiography images.基于 YOLOv5 的深度学习模型在 X 射线图像上检测发育性髋关节发育不良的诊断准确性。
Sci Rep. 2023 Apr 24;13(1):6693. doi: 10.1038/s41598-023-33860-2.
5
Diagnostic Performance of a New Convolutional Neural Network Algorithm for Detecting Developmental Dysplasia of the Hip on Anteroposterior Radiographs.一种新的卷积神经网络算法在前后位 X 光片中检测发育性髋关节发育不良的诊断性能。
Korean J Radiol. 2021 Apr;22(4):612-623. doi: 10.3348/kjr.2020.0051. Epub 2020 Nov 26.
6
Auxiliary diagnosis of developmental dysplasia of the hip by automated detection of Sharp's angle on standardized anteroposterior pelvic radiographs.通过自动检测标准化骨盆前后位X线片上的夏普角辅助诊断发育性髋关节发育不良。
Medicine (Baltimore). 2019 Dec;98(52):e18500. doi: 10.1097/MD.0000000000018500.
7
Artificial Intelligence-Assisted Ultrasound Diagnosis on Infant Developmental Dysplasia of the Hip Under Constrained Computational Resources.计算资源受限条件下人工智能辅助超声诊断婴儿发育性髋关节发育不良
J Ultrasound Med. 2023 Jun;42(6):1235-1248. doi: 10.1002/jum.16133. Epub 2022 Nov 29.
8
Application Value of Combined Diagnosis of Ultrasound, MRI, and X-Ray in Developmental Dysplasia of the Hip in Children.超声、磁共振成像、X 射线联合诊断在儿童发育性髋关节发育不良中的应用价值。
Contrast Media Mol Imaging. 2022 Jan 19;2022:1632590. doi: 10.1155/2022/1632590. eCollection 2022.
9
Automatic and human level Graf's type identification for detecting developmental dysplasia of the hip.自动和人类水平 Graf 分型识别用于检测发育性髋关节发育不良。
Biomed J. 2024 Apr;47(2):100614. doi: 10.1016/j.bj.2023.100614. Epub 2023 Jun 10.
10
Comparison of clinical and radiological outcomes for the anterior and medial approaches to open reduction in the treatment of bilateral developmental dysplasia of the hip: a systematic review protocol.经前期和经内侧入路切开复位治疗双侧发育性髋关节发育不良的临床和影像学结局比较:系统评价方案
Syst Rev. 2024 Feb 23;13(1):72. doi: 10.1186/s13643-023-02444-6.

引用本文的文献

1
Quantification of the changes in acetabular index and Center-edge angle of pelvic radiograph induced by photography angles.摄影角度对骨盆X线片髋臼指数及中心边缘角变化的量化分析
BMC Musculoskelet Disord. 2025 Jul 28;26(1):718. doi: 10.1186/s12891-025-08904-5.
2
Current and Emerging Applications of Artificial Intelligence in Medical Imaging for Paediatric Hip Disorders-A Scoping Review.人工智能在儿童髋关节疾病医学成像中的当前及新兴应用——一项范围综述
Children (Basel). 2025 May 16;12(5):645. doi: 10.3390/children12050645.
3
Characterizing hip joint morphology using a multitask deep learning model.

本文引用的文献

1
Multi-task hourglass network for online automatic diagnosis of developmental dysplasia of the hip.用于髋关节发育不良在线自动诊断的多任务沙漏网络
World Wide Web. 2023;26(2):539-559. doi: 10.1007/s11280-022-01051-0. Epub 2022 May 4.
2
Using deep transfer learning to detect scoliosis and spondylolisthesis from x-ray images.利用深度迁移学习从 X 光图像中检测脊柱侧凸和脊椎滑脱。
PLoS One. 2022 May 2;17(5):e0267851. doi: 10.1371/journal.pone.0267851. eCollection 2022.
3
Transfer learning for medical image classification: a literature review.
使用多任务深度学习模型表征髋关节形态
J Hip Preserv Surg. 2024 Dec 12;12(1):27-32. doi: 10.1093/jhps/hnae041. eCollection 2025 Jan.
4
Using deep learning artificial intelligence for sex identification and taxonomy of sand fly species.利用深度学习人工智能进行白蛉物种的性别鉴定和分类。
PLoS One. 2025 Apr 3;20(4):e0320224. doi: 10.1371/journal.pone.0320224. eCollection 2025.
5
Efficient Convolutional Neural Network Model for the Taxonomy and Sex Identification of Three Phlebotomine Sandfly Species (Diptera, Psychodidae, and Phlebotominae).用于三种白蛉属沙蝇物种(双翅目、毛蠓科、白蛉亚科)分类和性别鉴定的高效卷积神经网络模型
Animals (Basel). 2024 Dec 23;14(24):3712. doi: 10.3390/ani14243712.
6
Focused review on artificial intelligence for disease detection in infants.关于人工智能用于婴儿疾病检测的重点综述。
Front Digit Health. 2024 Nov 25;6:1459640. doi: 10.3389/fdgth.2024.1459640. eCollection 2024.
7
The diagnostic value of artificial intelligence-assisted imaging for developmental dysplasia of the hip: a systematic review and meta-analysis.人工智能辅助成像对发育性髋关节发育不良的诊断价值:系统评价和荟萃分析。
J Orthop Surg Res. 2024 Aug 29;19(1):522. doi: 10.1186/s13018-024-05003-4.
8
Bimodal machine learning model for unstable hips in infants: integration of radiographic images with automatically-generated clinical measurements.用于婴儿髋关节不稳定的双峰机器学习模型:将X线图像与自动生成的临床测量数据相结合
Sci Rep. 2024 Aug 1;14(1):17826. doi: 10.1038/s41598-024-68484-7.
9
Artificial intelligence in musculoskeletal imaging: realistic clinical applications in the next decade.人工智能在肌肉骨骼成像中的应用:未来十年的现实临床应用。
Skeletal Radiol. 2024 Sep;53(9):1849-1868. doi: 10.1007/s00256-024-04684-6. Epub 2024 Jun 20.
10
Assessing Acetabular Index Angle in Infants: A Deep Learning-Based Novel Approach.评估婴儿髋臼指数角:一种基于深度学习的新方法。
J Imaging. 2023 Nov 6;9(11):242. doi: 10.3390/jimaging9110242.
医学图像分类的迁移学习:文献综述。
BMC Med Imaging. 2022 Apr 13;22(1):69. doi: 10.1186/s12880-022-00793-7.
4
A Deep-Learning Aided Diagnostic System in Assessing Developmental Dysplasia of the Hip on Pediatric Pelvic Radiographs.一种基于深度学习的小儿骨盆X线片评估发育性髋关节发育不良的辅助诊断系统。
Front Pediatr. 2022 Mar 8;9:785480. doi: 10.3389/fped.2021.785480. eCollection 2021.
5
Developmental Dysplasia of the Hip: Prevalence and Correlation with Other Diagnoses in Physiotherapy Practice-A 5-Year Retrospective Review.发育性髋关节发育不良:物理治疗实践中的患病率及其与其他诊断的相关性——一项5年回顾性研究
Children (Basel). 2022 Feb 12;9(2):247. doi: 10.3390/children9020247.
6
Deep Learning for the Automatic Diagnosis and Analysis of Bone Metastasis on Bone Scintigrams.用于骨闪烁扫描图上骨转移自动诊断与分析的深度学习
Cancer Manag Res. 2022 Jan 3;14:51-65. doi: 10.2147/CMAR.S340114. eCollection 2022.
7
A deep learning-based computer-aided diagnosis method of X-ray images for bone age assessment.一种基于深度学习的用于骨龄评估的X射线图像计算机辅助诊断方法。
Complex Intell Systems. 2022;8(3):1929-1939. doi: 10.1007/s40747-021-00376-z. Epub 2021 Apr 20.
8
Application of deep learning neural network in predicting bone mineral density from plain X-ray radiography.深度学习神经网络在预测普通 X 射线摄影中的骨密度中的应用。
Arch Osteoporos. 2021 Oct 9;16(1):153. doi: 10.1007/s11657-021-00985-8.
9
Detection of COVID-19 from Chest X-ray Images Using Deep Convolutional Neural Networks.基于深度卷积神经网络的胸部 X 光图像 COVID-19 检测
Sensors (Basel). 2021 Sep 3;21(17):5940. doi: 10.3390/s21175940.
10
Text Data Augmentation for Deep Learning.用于深度学习的文本数据增强
J Big Data. 2021;8(1):101. doi: 10.1186/s40537-021-00492-0. Epub 2021 Jul 19.