Suppr超能文献

使用贝内特接受率的OPC-水和SPC/HW-重水模型的自由能差。

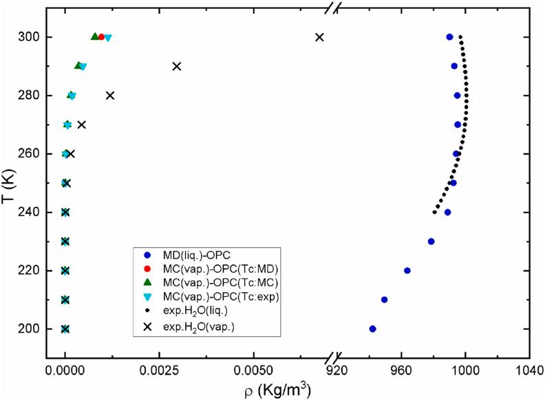
Free-energy differences of OPC-water and SPC/HW-heavy-water models using the Bennett acceptance ratio.

作者信息

Khasawinah Khetam, Alzoubi Zain, Obeidat Abdalla

机构信息

Department of Physics, Yarmouk University, Irbid, Jordan.

Department of Physics, Jordan University of Science and Technology, Irbid, Jordan.

出版信息

Heliyon. 2022 Jul 20;8(8):e10000. doi: 10.1016/j.heliyon.2022.e10000. eCollection 2022 Aug.

Abstract

Surface tension, vapor density of OPC-water and SPC/HW-heavy-water models have been estimated at low temperatures using the scaled model. The free-energy difference, - , of n-molecules and (n-1)-molecules plus a free probe has been calculated using the Bennett acceptance ratio with the aid of Monte-Carlo simulations. Our results show that the relation between the free-energy difference divided by and the number of molecules to the power minus one-third is linear for . Consequently, the surface tension can be extracted from the straight line slope, whereas the vapor density can be extracted from the intercept, which is proportional to the logarithmic ratio of liquid density to that of vapor density. By scaling the free-energy differences, for at least three different temperatures, to we estimated the critical temperature and hence the surface tension and the vapor density at a wide range of temperatures. The free-energy differences have been calculated at 240K, 260K, and 280K for OPC-water, and at 260K, 280K, and 300K for the SPC/HW-heavy water model.

摘要

使用缩放模型估计了OPC-水和SPC/HW-重水模型在低温下的表面张力、蒸汽密度。借助蒙特卡罗模拟,使用贝内特接受率计算了n个分子与(n-1)个分子加一个自由探针的自由能差- 。我们的结果表明,对于 ,自由能差除以 与分子数的负三分之一次幂之间的关系是线性的。因此,可以从直线斜率中提取表面张力,而蒸汽密度可以从截距中提取,截距与液体密度和蒸汽密度的对数比成正比。通过将至少三个不同温度下的自由能差缩放到 ,我们估计了临界温度,从而得到了广泛温度范围内的表面张力和蒸汽密度。对于OPC-水,在240K、260K和280K下计算了自由能差;对于SPC/HW-重水模型,在260K、280K和300K下计算了自由能差。

https://cdn.ncbi.nlm.nih.gov/pmc/blobs/27ef/9364108/9b961abd79a0/gr1.jpg

文献检索

告别复杂PubMed语法,用中文像聊天一样搜索,搜遍4000万医学文献。AI智能推荐,让科研检索更轻松。

立即免费搜索

文件翻译

保留排版,准确专业,支持PDF/Word/PPT等文件格式,支持 12+语言互译。

免费翻译文档

深度研究

AI帮你快速写综述,25分钟生成高质量综述,智能提取关键信息,辅助科研写作。

立即免费体验