Suppr超能文献

铜催化由芳基乙酸和酰肼经双重氧化一锅法合成2,5-二取代-1,3,4-恶二唑

Copper-Catalyzed One-Pot Synthesis of 2,5-Disubstituted 1,3,4-Oxadiazoles from Arylacetic Acids and Hydrazides Dual Oxidation.

作者信息

Lekkala Chinnari, Bodala Varaprasad, Yettula Kumari, Karasala Bharat Kumar, Podugu Rajitha Lakshmi, Vidavalur Siddaiah

机构信息

Department of Organic Chemistry & FDW, Andhra University, Visakhapatnam 530003, India.

出版信息

ACS Omega. 2022 Jul 27;7(31):27157-27163. doi: 10.1021/acsomega.2c01586. eCollection 2022 Aug 9.

Abstract

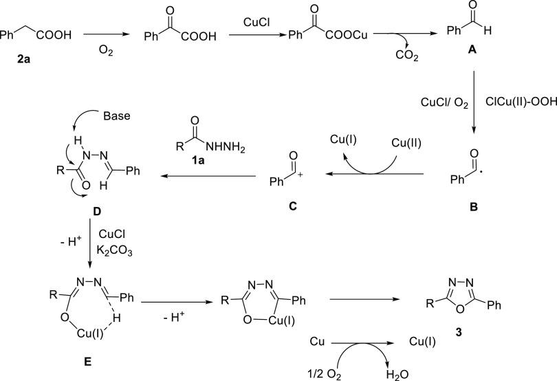
A simple and efficient protocol has been developed to access symmetrical and unsymmetrical 2,5-disubstituted 1,3,4-oxadiazoles from arylacetic acids and hydrazides copper-catalyzed dual oxidation under an oxygen atmosphere. Oxidative decarboxylation of arylacetic acids and oxidative functionalization of the imine C-H bond are the key steps. This is the first example of the synthesis of 2,5-disubstituted 1,3,4-oxadiazoles through dual oxidation in one-pot. Avoidance of the expensive ligand and high yield of the products are advantageous features of the developed method.

摘要

已开发出一种简单高效的方法,可在氧气气氛下通过铜催化的双重氧化,从芳基乙酸和酰肼制备对称和不对称的2,5-二取代-1,3,4-恶二唑。芳基乙酸的氧化脱羧和亚胺C-H键的氧化官能化是关键步骤。这是通过一锅法双重氧化合成2,5-二取代-1,3,4-恶二唑的首个实例。避免使用昂贵的配体以及产物的高收率是该方法的优势特点。

https://cdn.ncbi.nlm.nih.gov/pmc/blobs/9192/9366783/969b5c508dfb/ao2c01586_0002.jpg

文献AI研究员

20分钟写一篇综述,助力文献阅读效率提升50倍。

立即体验

用中文搜PubMed

大模型驱动的PubMed中文搜索引擎

马上搜索

文档翻译

学术文献翻译模型,支持多种主流文档格式。

立即体验