• 文献检索
  • 文档翻译
  • 深度研究
  • 学术资讯
  • Suppr Zotero 插件Zotero 插件
  • 邀请有礼
  • 套餐&价格
  • 历史记录
应用&插件
Suppr Zotero 插件Zotero 插件浏览器插件Mac 客户端Windows 客户端微信小程序
定价
高级版会员购买积分包购买API积分包
服务
文献检索文档翻译深度研究API 文档MCP 服务
关于我们
关于 Suppr公司介绍联系我们用户协议隐私条款
关注我们

Suppr 超能文献

核心技术专利:CN118964589B侵权必究
粤ICP备2023148730 号-1Suppr @ 2026

文献检索

告别复杂PubMed语法,用中文像聊天一样搜索,搜遍4000万医学文献。AI智能推荐,让科研检索更轻松。

立即免费搜索

文件翻译

保留排版,准确专业,支持PDF/Word/PPT等文件格式,支持 12+语言互译。

免费翻译文档

深度研究

AI帮你快速写综述,25分钟生成高质量综述,智能提取关键信息,辅助科研写作。

立即免费体验

初发未用抗精神病药物治疗的精神分裂症患者默认模式网络的异常网络同质性及其与临床症状的关系

Abnormal network homogeneity of default-mode network and its relationships with clinical symptoms in antipsychotic-naïve first-diagnosis schizophrenia.

作者信息

Kong Mingjun, Chen Tian, Gao Shuzhan, Ni Sulin, Ming Yidan, Chai Xintong, Ling Chenxi, Xu Xijia

机构信息

Department of Psychiatry, the Affiliated Brain Hospital of Nanjing Medical University, Nanjing Brain Hospital, Nanjing, China.

Department of Psychiatry, Nanjing Brain Hospital, Medical School, Nanjing University, Nanjing, China.

出版信息

Front Neurosci. 2022 Jul 25;16:921547. doi: 10.3389/fnins.2022.921547. eCollection 2022.

DOI:10.3389/fnins.2022.921547
PMID:35968384
原文链接:https://pmc.ncbi.nlm.nih.gov/articles/PMC9369006/
Abstract

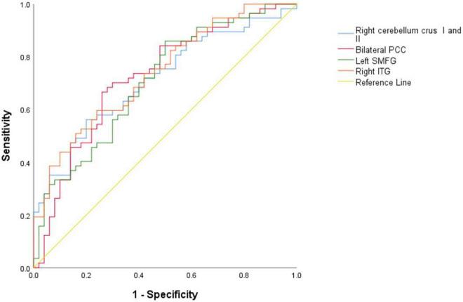
Schizophrenia is a severe mental disorder affecting around 0.5-1% of the global population. A few studies have shown the functional disconnection in the default-mode network (DMN) of schizophrenia patients. However, the findings remain discrepant. In the current study, we compared the intrinsic network organization of DMN of 57 first-diagnosis drug-naïve schizophrenia patients with 50 healthy controls (HCs) using a homogeneity network (NH) and explored the relationships of DMN with clinical characteristics of schizophrenia patients. Receiver operating characteristic (ROC) curves analysis and support vector machine (SVM) analysis were applied to calculate the accuracy of distinguishing schizophrenia patients from HCs. Our results showed that the NH values of patients were significantly higher in the left superior medial frontal gyrus (SMFG) and right cerebellum Crus I/Crus II and significantly lower in the right inferior temporal gyrus (ITG) and bilateral posterior cingulate cortex (PCC) compared to those of HCs. Additionally, negative correlations were shown between aberrant NH values in the right cerebellum Crus I/Crus II and general psychopathology scores, between NH values in the left SMFG and negative symptom scores, and between the NH values in the right ITG and speed of processing. Also, patients' age and the NH values in the right cerebellum Crus I/Crus II and the right ITG were the predictors of performance in the social cognition test. ROC curves analysis and SVM analysis showed that a combination of NH values in the left SMFG, right ITG, and right cerebellum Crus I/Crus II could distinguish schizophrenia patients from HCs with high accuracy. The results emphasized the vital role of DMN in the neuropathological mechanisms underlying schizophrenia.

摘要

精神分裂症是一种严重的精神障碍,影响着全球约0.5%-1%的人口。一些研究表明,精神分裂症患者的默认模式网络(DMN)存在功能断开。然而,研究结果仍存在差异。在本研究中,我们使用同质性网络(NH)比较了57例首次诊断未用药的精神分裂症患者与50例健康对照(HC)的DMN内在网络组织,并探讨了DMN与精神分裂症患者临床特征的关系。应用接受者操作特征(ROC)曲线分析和支持向量机(SVM)分析来计算区分精神分裂症患者和HC的准确性。我们的结果表明,与HC相比,患者在左侧额上内侧回(SMFG)、右侧小脑脚I/小脑脚II的NH值显著更高,而在右侧颞下回(ITG)和双侧后扣带回皮质(PCC)的NH值显著更低。此外,右侧小脑脚I/小脑脚II的异常NH值与一般精神病理学评分之间、左侧SMFG的NH值与阴性症状评分之间以及右侧ITG的NH值与处理速度之间呈负相关。而且,患者的年龄以及右侧小脑脚I/小脑脚II和右侧ITG的NH值是社会认知测试表现的预测因素。ROC曲线分析和SVM分析表明,左侧SMFG、右侧ITG和右侧小脑脚I/小脑脚II的NH值组合能够高精度地区分精神分裂症患者和HC。结果强调了DMN在精神分裂症潜在神经病理机制中的重要作用。

https://cdn.ncbi.nlm.nih.gov/pmc/blobs/6947/9369006/e1ede2ced003/fnins-16-921547-g005.jpg
https://cdn.ncbi.nlm.nih.gov/pmc/blobs/6947/9369006/f16722b247c3/fnins-16-921547-g001.jpg
https://cdn.ncbi.nlm.nih.gov/pmc/blobs/6947/9369006/409af47a842f/fnins-16-921547-g002.jpg
https://cdn.ncbi.nlm.nih.gov/pmc/blobs/6947/9369006/ea1826b6401f/fnins-16-921547-g003.jpg
https://cdn.ncbi.nlm.nih.gov/pmc/blobs/6947/9369006/8b743b98cf8c/fnins-16-921547-g004.jpg
https://cdn.ncbi.nlm.nih.gov/pmc/blobs/6947/9369006/e1ede2ced003/fnins-16-921547-g005.jpg
https://cdn.ncbi.nlm.nih.gov/pmc/blobs/6947/9369006/f16722b247c3/fnins-16-921547-g001.jpg
https://cdn.ncbi.nlm.nih.gov/pmc/blobs/6947/9369006/409af47a842f/fnins-16-921547-g002.jpg
https://cdn.ncbi.nlm.nih.gov/pmc/blobs/6947/9369006/ea1826b6401f/fnins-16-921547-g003.jpg
https://cdn.ncbi.nlm.nih.gov/pmc/blobs/6947/9369006/8b743b98cf8c/fnins-16-921547-g004.jpg
https://cdn.ncbi.nlm.nih.gov/pmc/blobs/6947/9369006/e1ede2ced003/fnins-16-921547-g005.jpg

相似文献

1
Abnormal network homogeneity of default-mode network and its relationships with clinical symptoms in antipsychotic-naïve first-diagnosis schizophrenia.初发未用抗精神病药物治疗的精神分裂症患者默认模式网络的异常网络同质性及其与临床症状的关系
Front Neurosci. 2022 Jul 25;16:921547. doi: 10.3389/fnins.2022.921547. eCollection 2022.
2
Abnormal default-mode network homogeneity in first-episode, drug-naive schizophrenia at rest.首发未用药精神分裂症患者静息态下默认模式网络同质性异常。
Prog Neuropsychopharmacol Biol Psychiatry. 2014 Mar 3;49:16-20. doi: 10.1016/j.pnpbp.2013.10.021. Epub 2013 Nov 9.
3
Metacognitive Training Modulates Default-Mode Network Homogeneity During 8-Week Olanzapine Treatment in Patients With Schizophrenia.在精神分裂症患者接受8周奥氮平治疗期间,元认知训练调节默认模式网络同质性。
Front Psychiatry. 2020 Mar 27;11:234. doi: 10.3389/fpsyt.2020.00234. eCollection 2020.
4
Morinda officinalis oligosaccharides modulate the default-mode network homogeneity in major depressive disorder at rest.巴戟天寡糖调节静息状态下重性抑郁障碍默认模式网络同质性。
Psychiatry Res Neuroimaging. 2024 Sep;343:111847. doi: 10.1016/j.pscychresns.2024.111847. Epub 2024 Jul 4.
5
Abnormal default-mode network homogeneity and its correlations with neurocognitive deficits in drug-naive first-episode adolescent-onset schizophrenia.异常的默认模式网络同质性及其与未经药物治疗的首发青少年起病精神分裂症患者神经认知缺陷的相关性。
Schizophr Res. 2020 Jan;215:140-147. doi: 10.1016/j.schres.2019.10.056. Epub 2019 Nov 26.
6
The Bilateral Precuneus as a Potential Neuroimaging Biomarker for Right Temporal Lobe Epilepsy: A Support Vector Machine Analysis.双侧楔前叶作为右侧颞叶癫痫潜在的神经影像学生物标志物:支持向量机分析
Front Psychiatry. 2022 Jun 15;13:923583. doi: 10.3389/fpsyt.2022.923583. eCollection 2022.
7
Disrupted Cerebellar Connectivity With the Central Executive Network and the Default-Mode Network in Unmedicated Bipolar II Disorder.未用药的双相II型障碍患者小脑与中央执行网络及默认模式网络之间的连接中断
Front Psychiatry. 2018 Dec 18;9:705. doi: 10.3389/fpsyt.2018.00705. eCollection 2018.
8
Altered network homogeneity of the default-mode network in drug-naive obsessive-compulsive disorder.药物初治强迫症患者默认模式网络的网络同质性改变。
Prog Neuropsychopharmacol Biol Psychiatry. 2019 Jul 13;93:77-83. doi: 10.1016/j.pnpbp.2019.03.008. Epub 2019 Mar 21.
9
Increased cerebellar-default-mode network connectivity at rest in obsessive-compulsive disorder.强迫症患者静息时小脑默认模式网络连接增加。
Eur Arch Psychiatry Clin Neurosci. 2020 Dec;270(8):1015-1024. doi: 10.1007/s00406-019-01070-5. Epub 2019 Sep 30.
10
Altered Effective Connectivity in the Default Network of the Brains of First-Episode, Drug-Naïve Schizophrenia Patients With Auditory Verbal Hallucinations.首发、未用药且伴有幻听的精神分裂症患者大脑默认网络中有效连接性的改变。
Front Hum Neurosci. 2018 Dec 5;12:456. doi: 10.3389/fnhum.2018.00456. eCollection 2018.

引用本文的文献

1
A comparative machine learning study of schizophrenia biomarkers derived from functional connectivity.一项基于功能连接性的精神分裂症生物标志物的比较机器学习研究。
Sci Rep. 2025 Jan 22;15(1):2849. doi: 10.1038/s41598-024-84152-2.

本文引用的文献

1
Default mode network components and its relationship with anomalous self-experiences in schizophrenia: A rs-fMRI exploratory study.精神分裂症默认模式网络成分及其与异常自我体验的关系:一项 rs-fMRI 探索性研究。
Psychiatry Res Neuroimaging. 2022 Aug;324:111495. doi: 10.1016/j.pscychresns.2022.111495. Epub 2022 May 24.
2
Neurometabolic and functional changes of default-mode network relate to clinical recovery in first-episode psychosis patients: A longitudinal H-MRS and fMRI study.首发精神病患者静息态默认模式网络神经代谢及功能变化与临床转归的相关性:一项纵向氢质子磁共振波谱和功能磁共振成像研究。
Neuroimage Clin. 2022;34:102970. doi: 10.1016/j.nicl.2022.102970. Epub 2022 Feb 23.
3
Schizophrenia.
精神分裂症。
Lancet. 2022 Jan 29;399(10323):473-486. doi: 10.1016/S0140-6736(21)01730-X.
4
Abnormal global-brain functional connectivity and its relationship with cognitive deficits in drug-naive first-episode adolescent-onset schizophrenia.初发未用药的青少年起病型精神分裂症患者的全脑功能连接异常及其与认知缺陷的关系
Brain Imaging Behav. 2022 Jun;16(3):1303-1313. doi: 10.1007/s11682-021-00597-3. Epub 2022 Jan 8.
5
Atypical Antipsychotics Mediate Dynamics of Intrinsic Brain Activity in Early-Stage Schizophrenia? A Preliminary Study.非典型抗精神病药物是否介导早期精神分裂症患者大脑内在活动的动态变化?一项初步研究。
Psychiatry Investig. 2021 Dec;18(12):1205-1212. doi: 10.30773/pi.2020.0418. Epub 2021 Dec 23.
6
Aberrant default mode connectivity in adolescents with early-onset psychosis: A resting state fMRI study.早发性精神病青少年异常的默认模式连接:一项静息态 fMRI 研究。
Neuroimage Clin. 2022;33:102881. doi: 10.1016/j.nicl.2021.102881. Epub 2021 Nov 12.
7
Resting-state functional connectivity predictors of treatment response in schizophrenia - A systematic review and meta-analysis.精神分裂症治疗反应的静息态功能连接预测因子:系统评价和荟萃分析。
Schizophr Res. 2021 Nov;237:153-165. doi: 10.1016/j.schres.2021.09.004. Epub 2021 Sep 15.
8
The Effects of Antipsychotic Treatment on the Brain of Patients With First-Episode Schizophrenia: A Selective Review of Longitudinal MRI Studies.抗精神病药物治疗对首发精神分裂症患者大脑的影响:纵向MRI研究的选择性综述
Front Psychiatry. 2021 Jun 24;12:593703. doi: 10.3389/fpsyt.2021.593703. eCollection 2021.
9
Altered default mode network activity and cortical thickness as vulnerability indicators for SCZ: a preliminary resting state MRI study.静息态 MRI 研究:改变的默认模式网络活动和皮质厚度作为精神分裂症易感性的指标。
Eur Rev Med Pharmacol Sci. 2021 Jan;25(2):669-677. doi: 10.26355/eurrev_202101_24628.
10
Common and distinct functional stability abnormalities across three major psychiatric disorders.三种主要精神疾病中常见且独特的功能稳定性异常。
Neuroimage Clin. 2020;27:102352. doi: 10.1016/j.nicl.2020.102352. Epub 2020 Jul 17.