Suppr超能文献

菠萝渣水解液高温乙醇发酵及耐热酵母酿酒酵母基因表达分析。

High-temperature ethanol fermentation from pineapple waste hydrolysate and gene expression analysis of thermotolerant yeast Saccharomyces cerevisiae.

机构信息

Department of Biotechnology, Faculty of Technology, Khon Kaen University, Khon Kaen, 40002, Thailand.

Department of Microbial Biotechnology, Biotechnology Research and Development Institute, Can Tho University, Can Tho, 900000, Vietnam.

出版信息

Sci Rep. 2022 Aug 17;12(1):13965. doi: 10.1038/s41598-022-18212-w.

Abstract

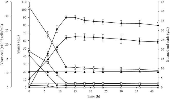
High-temperature ethanol fermentation by thermotolerant yeast is considered a promising technology for ethanol production, especially in tropical and subtropical regions. In this study, optimization conditions for high-temperature ethanol fermentation of pineapple waste hydrolysate (PWH) using a newly isolated thermotolerant yeast, Saccharomyces cerevisiae HG1.1, and the expression of genes during ethanol fermentation at 40 °C were carried out. Three independent variables, including cell concentration, pH, and yeast extract, positively affected ethanol production from PWH at 40 °C. The optimum levels of these significant factors evaluated using response surface methodology (RSM) based on central composite design (CCD) were a cell concentration of 8.0 × 10 cells/mL, a pH of 5.5, and a yeast extract concentration of 4.95 g/L, yielding a maximum ethanol concentration of 36.85 g/L and productivity of 3.07 g/L. Gene expression analysis during high-temperature ethanol fermentation using RT-qPCR revealed that the acquisition of thermotolerance ability and ethanol fermentation efficiency of S. cerevisiae HG1.1 are associated with genes responsible for growth and ethanol stress, oxidative stress, acetic acid stress, DNA repair, the pyruvate-to-tricarboxylic acid (TCA) pathway, and the pyruvate-to-ethanol pathway.

摘要

耐高温酵母的高温乙醇发酵被认为是一种有前途的乙醇生产技术,特别是在热带和亚热带地区。本研究使用新分离的耐高温酵母酿酒酵母 HG1.1 对菠萝渣水解液(PWH)进行高温乙醇发酵的优化条件,并在 40°C 下进行乙醇发酵过程中基因表达的研究。三个独立变量,包括细胞浓度、pH 值和酵母提取物,对 40°C 下 PWH 的乙醇生产有积极影响。基于中心复合设计(CCD)的响应面法(RSM)评估这些显著因素的最佳水平为细胞浓度 8.0×10^cells/mL、pH 值 5.5 和酵母提取物浓度 4.95 g/L,可获得 36.85 g/L 的最大乙醇浓度和 3.07 g/L 的生产率。使用 RT-qPCR 进行高温乙醇发酵过程中的基因表达分析表明,酿酒酵母 HG1.1 获得耐热能力和乙醇发酵效率与负责生长和乙醇应激、氧化应激、乙酸应激、DNA 修复、丙酮酸-三羧酸(TCA)途径和丙酮酸-乙醇途径的基因有关。

https://cdn.ncbi.nlm.nih.gov/pmc/blobs/6b4e/9385605/aa9fed3f7add/41598_2022_18212_Fig1_HTML.jpg

文献检索

告别复杂PubMed语法,用中文像聊天一样搜索,搜遍4000万医学文献。AI智能推荐,让科研检索更轻松。

立即免费搜索

文件翻译

保留排版,准确专业,支持PDF/Word/PPT等文件格式,支持 12+语言互译。

免费翻译文档

深度研究

AI帮你快速写综述,25分钟生成高质量综述,智能提取关键信息,辅助科研写作。

立即免费体验