Suppr超能文献

疫苗接种对新冠病毒社区传播的影响:一种动态方法。

Response of vaccination on community transmission of COVID-19: a dynamical approach.

作者信息

Devi Moirangthem Bidyaluxmi, Devi Arpita, Gupta Praveen Kumar, Tripathi Dharmendra

机构信息

Department of Mathematics, National Institute of Technology Silchar, Cachar, 788010 Assam India.

Department of Mathematics, National Institute of Technology Uttarakhand, Srinagar, 246174 Uttarakhand India.

出版信息

Eur Phys J Spec Top. 2022;231(18-20):3749-3765. doi: 10.1140/epjs/s11734-022-00652-0. Epub 2022 Aug 16.

Abstract

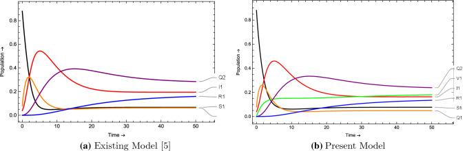
Due to the severity of COVID-19, vaccination campaigns have been or are underway in most parts of the world. In the current circumstances, it is obligatory to examine the response of vaccination on transmission of the SARS-CoV-2 virus when there are many vaccines available. Considering the importance of vaccination, a dynamic model has been proposed to provide an insight in the same direction. A mathematical model has been developed where six population compartments viz. susceptible, infected, vaccinated, home-isolated, hospitalized and recovered population are considered. Moreover, two novel parameters are included in the model to ascertain the effectiveness and speed of the vaccination campaign. Reproduction number and local stability of both the disease-free and endemic equilibrium points are studied to examine the nature of population dynamics. Graphical results for the community stage of COVID-19 infection are simulated and compared with real data to ascertain the validity of our model. The data is then studied to understand the impact of vaccination. These numerical results evidently demonstrate that home isolation and hospitalization should continue for the infected people until the transmission of the virus from person to person reduces sufficiently after completely vaccinating every nation. This model also recommends that all type of prevention measures should still be taken to avoid any type of critical situation due to infection and also reduce the death rate.

摘要

由于新冠疫情的严重性,全球大部分地区已经或正在开展疫苗接种运动。在当前情况下,当有多种疫苗可用时,有必要研究疫苗接种对严重急性呼吸综合征冠状病毒2(SARS-CoV-2)病毒传播的反应。考虑到疫苗接种的重要性,已提出一个动态模型以提供相同方向的见解。已开发出一个数学模型,其中考虑了六个群体类别,即易感人群、感染人群、接种疫苗人群、居家隔离人群、住院人群和康复人群。此外,模型中纳入了两个新参数,以确定疫苗接种运动的有效性和速度。研究了无病平衡点和地方病平衡点的再生数及局部稳定性,以检验群体动态的性质。模拟了新冠病毒感染社区阶段的图形结果,并与实际数据进行比较,以确定我们模型的有效性。然后研究这些数据以了解疫苗接种的影响。这些数值结果清楚地表明,对于感染者,居家隔离和住院措施应持续进行,直到每个国家都完成全面疫苗接种后,人际间病毒传播充分减少。该模型还建议,仍应采取所有类型的预防措施,以避免因感染导致任何类型的危急情况,并降低死亡率。

https://cdn.ncbi.nlm.nih.gov/pmc/blobs/f464/9380690/6857e96ebcf5/11734_2022_652_Fig1_HTML.jpg

文献AI研究员

20分钟写一篇综述,助力文献阅读效率提升50倍。

立即体验

用中文搜PubMed

大模型驱动的PubMed中文搜索引擎

马上搜索

文档翻译

学术文献翻译模型,支持多种主流文档格式。

立即体验