Suppr超能文献

基于心脏磁共振 T1 mapping 的细胞外容积分数:评估多发性骨髓瘤患者心脏淀粉样变性所致心脏损伤的有效方法。

Extracellular Volume Fraction Based on Cardiac Magnetic Resonance T1 Mapping: An Effective Way to Evaluate Cardiac Injury Caused by Cardiac Amyloidosis in Patients with Multiple Myeloma.

机构信息

Department of Hematology, Zhongnan Hospital of Wuhan University, Wuhan 430071, China.

Department of Radiology, Zhongnan Hospital of Wuhan University, Wuhan 430071, China.

出版信息

J Immunol Res. 2022 Aug 13;2022:3094933. doi: 10.1155/2022/3094933. eCollection 2022.

Abstract

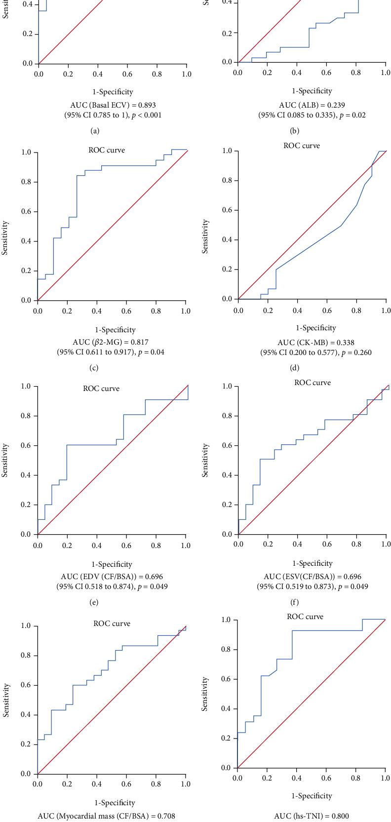
Multiple myeloma (MM) is a hematological malignancy of plasma cell origin. Cardiac amyloidosis (CA) is a common form of heart damage caused by MM and is associated with a poor prognosis. This study was a prospective cohort study and was aimed at evaluating the clinical predictive value of extracellular volume fraction (ECV) based on cardiovascular magnetic resonance (CMR) T1 mapping for cardiac amyloidosis and cardiac dysfunction in MM patients. Fifty-one newly diagnosed MM patients in Zhongnan Hospital of Wuhan University were enrolled in the study. A total of 19 patients (19/51; 37.25%) developed CA. The basal ECV of CA group was significantly higher than that of the non-CA group ( < 0.01). Multivariate logistic regression analysis showed that basal ECV (OR = 1.551, 95% CI 1.084-2.219, < 0.05) and LDH1 level (OR = 1.150, 95% CI 1.010-1.310, < 0.05) were two independent risk factors for CA. Further study demonstrated that basal ECV in the heart failure group was significantly higher than that of the nonheart failure group ( < 0.01). Notably, ROC curve showed that basal ECV had a good predictive value for CA and heart failure, with AUC of 0.911 and 0.893 (all < 0.01), and the best cutoff values of 38.35 and 37.45, respectively. Taken together, basal ECV is a good predictor of CA and heart failure for MM patients.

摘要

多发性骨髓瘤(MM)是一种浆细胞起源的血液系统恶性肿瘤。心脏淀粉样变性(CA)是由 MM 引起的常见心脏损伤形式,与预后不良相关。本研究为前瞻性队列研究,旨在评估基于心血管磁共振(CMR)T1 mapping 的细胞外容积分数(ECV)对 MM 患者心脏淀粉样变性和心功能障碍的临床预测价值。纳入武汉大学中南医院 51 例新诊断的 MM 患者。共有 19 例(19/51;37.25%)患者发生 CA。CA 组的基础 ECV 明显高于非 CA 组( < 0.01)。多变量 logistic 回归分析显示,基础 ECV(OR = 1.551,95%CI 1.084-2.219, < 0.05)和 LDH1 水平(OR = 1.150,95%CI 1.010-1.310, < 0.05)是 CA 的两个独立危险因素。进一步研究表明,心力衰竭组的基础 ECV 明显高于非心力衰竭组( < 0.01)。值得注意的是,ROC 曲线显示基础 ECV 对 CA 和心力衰竭具有良好的预测价值,AUC 分别为 0.911 和 0.893(均 < 0.01),最佳截断值分别为 38.35 和 37.45。综上所述,基础 ECV 是 MM 患者 CA 和心力衰竭的良好预测指标。

https://cdn.ncbi.nlm.nih.gov/pmc/blobs/6514/9392639/7e87baeabc5b/JIR2022-3094933.001.jpg

文献AI研究员

20分钟写一篇综述,助力文献阅读效率提升50倍。

立即体验

用中文搜PubMed

大模型驱动的PubMed中文搜索引擎

马上搜索

文档翻译

学术文献翻译模型,支持多种主流文档格式。

立即体验