• 文献检索
  • 文档翻译
  • 深度研究
  • 学术资讯
  • Suppr Zotero 插件Zotero 插件
  • 邀请有礼
  • 套餐&价格
  • 历史记录
应用&插件
Suppr Zotero 插件Zotero 插件浏览器插件Mac 客户端Windows 客户端微信小程序
定价
高级版会员购买积分包购买API积分包
服务
文献检索文档翻译深度研究API 文档MCP 服务
关于我们
关于 Suppr公司介绍联系我们用户协议隐私条款
关注我们

Suppr 超能文献

核心技术专利:CN118964589B侵权必究
粤ICP备2023148730 号-1Suppr @ 2026

文献检索

告别复杂PubMed语法,用中文像聊天一样搜索,搜遍4000万医学文献。AI智能推荐,让科研检索更轻松。

立即免费搜索

文件翻译

保留排版,准确专业,支持PDF/Word/PPT等文件格式,支持 12+语言互译。

免费翻译文档

深度研究

AI帮你快速写综述,25分钟生成高质量综述,智能提取关键信息,辅助科研写作。

立即免费体验

在非酒精性脂肪变性和药物性脂肪变性的Huh7细胞培养模型中,利拉鲁肽通过下调 、 和 发挥保护作用。 (注:原文中“ 、 和 ”处内容缺失)

Liraglutide Exerts Protective Effects by Downregulation of , and in Huh7 Cell Culture Models of Non-Alcoholic Steatosis and Drug-Induced Steatosis.

作者信息

Omanovic Kolaric Tea, Kizivat Tomislav, Mihaljevic Vjera, Zjalic Milorad, Bilic-Curcic Ines, Kuna Lucija, Smolic Robert, Vcev Aleksandar, Wu George Y, Smolic Martina

机构信息

Department of Pharmacology and Biochemistry, Faculty of Dental Medicine and Health Osijek, Crkvena 21, 31000 Osijek, Croatia.

Department of Pharmacology, Faculty of Medicine Osijek, J. Huttlera 4, 31000 Osijek, Croatia.

出版信息

Curr Issues Mol Biol. 2022 Aug 2;44(8):3465-3480. doi: 10.3390/cimb44080239.

DOI:10.3390/cimb44080239
PMID:36005135
原文链接:https://pmc.ncbi.nlm.nih.gov/articles/PMC9406665/
Abstract

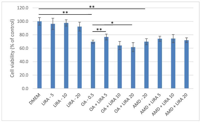
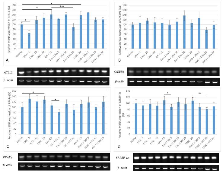
(1) Background: With the aging of the population and polypharmacy encountered in the elderly, drug-induced steatosis (DIS) has become frequent cause of non-alcoholic steatosis (NAS). Indeed, NAS and DIS may co-exist, making the ability to distinguish between the entities ever more important. The aim of our study was to study cell culture models of NAS and DIS and determine the effects of liraglutide (LIRA) in those models. (2) Methods: Huh7 cells were treated with oleic acid (OA), or amiodarone (AMD) to establish models of NAS and DIS, respectively. Cells were treated with LIRA and cell viability was assessed by MTT, lipid accumulation by Oil-Red-O staining and triglyceride assay, and intracellular signals involved in hepatosteatosis were quantitated by RT-PCR. (3) Results: After exposure to various OA and AMD concentrations, those that achieved 80% of cells viabilities were used in further experiments to establish NAS and DIS models using 0.5 mM OA and 20 µM AMD, respectively. In both models, LIRA increased cell viability (p < 0.01). Lipid accumulation was increased in both models, with microsteatotic pattern in DIS, and macrosteatotic pattern in NAS which corresponds to greater triglyceride accumulation in latter. LIRA ameliorated these changes (p < 0.001), and downregulated expression of lipogenic ACSL1, PPARγ, and SREBP-1c pathways in the liver (p < 0.01) (4) Conclusions: LIRA ameliorates hepatocyte steatosis in Huh7 cell culture models of NAS and DIS.

摘要

(1)背景:随着人口老龄化以及老年人中多重用药情况的出现,药物性脂肪变性(DIS)已成为非酒精性脂肪变性(NAS)的常见原因。事实上,NAS和DIS可能同时存在,因此区分这两种情况的能力变得愈发重要。我们研究的目的是研究NAS和DIS的细胞培养模型,并确定利拉鲁肽(LIRA)在这些模型中的作用。(2)方法:分别用油酸(OA)或胺碘酮(AMD)处理Huh7细胞,以建立NAS和DIS模型。用LIRA处理细胞,通过MTT法评估细胞活力,用油红O染色和甘油三酯测定法评估脂质积累,并通过RT-PCR定量肝脂肪变性相关的细胞内信号。(3)结果:在暴露于不同浓度的OA和AMD后,选择细胞活力达到80%的浓度用于进一步实验,分别用0.5 mM OA和20 µM AMD建立NAS和DIS模型。在两种模型中,LIRA均提高了细胞活力(p < 0.01)。两种模型中的脂质积累均增加,DIS呈现微脂肪变性模式,NAS呈现大脂肪变性模式,后者对应的甘油三酯积累更多。LIRA改善了这些变化(p < 0.001),并下调了肝脏中脂肪生成相关的ACSL1、PPARγ和SREBP-1c通路的表达(p < 0.01)。(4)结论:LIRA改善了NAS和DIS的Huh7细胞培养模型中的肝细胞脂肪变性。

https://cdn.ncbi.nlm.nih.gov/pmc/blobs/91e6/9406665/597cf262b17d/cimb-44-00239-g005.jpg
https://cdn.ncbi.nlm.nih.gov/pmc/blobs/91e6/9406665/b88fe1b1c5ec/cimb-44-00239-g001.jpg
https://cdn.ncbi.nlm.nih.gov/pmc/blobs/91e6/9406665/089bd553476a/cimb-44-00239-g002.jpg
https://cdn.ncbi.nlm.nih.gov/pmc/blobs/91e6/9406665/f8fddd2cc0bb/cimb-44-00239-g003a.jpg
https://cdn.ncbi.nlm.nih.gov/pmc/blobs/91e6/9406665/10389e572177/cimb-44-00239-g004.jpg
https://cdn.ncbi.nlm.nih.gov/pmc/blobs/91e6/9406665/597cf262b17d/cimb-44-00239-g005.jpg
https://cdn.ncbi.nlm.nih.gov/pmc/blobs/91e6/9406665/b88fe1b1c5ec/cimb-44-00239-g001.jpg
https://cdn.ncbi.nlm.nih.gov/pmc/blobs/91e6/9406665/089bd553476a/cimb-44-00239-g002.jpg
https://cdn.ncbi.nlm.nih.gov/pmc/blobs/91e6/9406665/f8fddd2cc0bb/cimb-44-00239-g003a.jpg
https://cdn.ncbi.nlm.nih.gov/pmc/blobs/91e6/9406665/10389e572177/cimb-44-00239-g004.jpg
https://cdn.ncbi.nlm.nih.gov/pmc/blobs/91e6/9406665/597cf262b17d/cimb-44-00239-g005.jpg

相似文献

1
Liraglutide Exerts Protective Effects by Downregulation of , and in Huh7 Cell Culture Models of Non-Alcoholic Steatosis and Drug-Induced Steatosis.在非酒精性脂肪变性和药物性脂肪变性的Huh7细胞培养模型中,利拉鲁肽通过下调 、 和 发挥保护作用。 (注:原文中“ 、 和 ”处内容缺失)
Curr Issues Mol Biol. 2022 Aug 2;44(8):3465-3480. doi: 10.3390/cimb44080239.
2
Ursodeoxycholic acid ameliorates hepatic lipid metabolism in LO2 cells by regulating the AKT/mTOR/SREBP-1 signaling pathway.熊去氧胆酸通过调节 AKT/mTOR/SREBP-1 信号通路改善 LO2 细胞的肝脂代谢。
World J Gastroenterol. 2019 Mar 28;25(12):1492-1501. doi: 10.3748/wjg.v25.i12.1492.
3
Prolyl Oligopeptidase Inhibition Attenuates Steatosis in the L02 Human Liver Cell Line.脯氨酰寡肽酶抑制可减轻L02人肝细胞系中的脂肪变性。
PLoS One. 2016 Oct 19;11(10):e0165224. doi: 10.1371/journal.pone.0165224. eCollection 2016.
4
[Effects of farnesoid X receptor on lipid metabolism in L02 cells].法尼醇X受体对L02细胞脂质代谢的影响
Zhonghua Gan Zang Bing Za Zhi. 2008 Dec;16(12):935-9.
5
[Comparison of effects of oleic acid and palmitic acid on lipid deposition and mTOR / S6K1 / SREBP-1c pathway in HepG2 cells].[油酸和棕榈酸对HepG2细胞脂质沉积及mTOR/S6K1/SREBP-1c通路影响的比较]
Zhonghua Gan Zang Bing Za Zhi. 2018 Jun 20;26(6):451-456. doi: 10.3760/cma.j.issn.1007-3418.2018.06.012.
6
[Role and mechanism of action of fibroblast growth factor-21 in reducing triglyceride in nonalcoholic fatty liver disease].[成纤维细胞生长因子-21在非酒精性脂肪性肝病中降低甘油三酯的作用及作用机制]
Zhonghua Gan Zang Bing Za Zhi. 2016 Feb;24(2):102-7. doi: 10.3760/cma.j.issn.1007-3418.2016.02.006.
7
The effect and mechanism of tamoxifen-induced hepatocyte steatosis in vitro.他莫昔芬体外诱导肝细胞脂肪变性的作用及机制
Int J Mol Sci. 2014 Mar 5;15(3):4019-30. doi: 10.3390/ijms15034019.
8
The role of hepassocin in the development of non-alcoholic fatty liver disease.海帕西菌素在非酒精性脂肪性肝病发展中的作用。
J Hepatol. 2013 Nov;59(5):1065-72. doi: 10.1016/j.jhep.2013.06.004. Epub 2013 Jun 18.
9
Role of cannabinoid receptors in alcoholic hepatic injury: steatosis and fibrogenesis are increased in CB2 receptor-deficient mice and decreased in CB1 receptor knockouts.大麻素受体在酒精性肝损伤中的作用:CB2 受体缺陷小鼠肝脂肪变性和肝纤维化增加,而 CB1 受体敲除小鼠则减少。
Liver Int. 2011 Jul;31(6):860-70. doi: 10.1111/j.1478-3231.2011.02496.x. Epub 2011 Mar 8.
10
Endoplasmic reticulum stress leads to lipid accumulation through upregulation of SREBP-1c in normal hepatic and hepatoma cells.内质网应激通过上调正常肝细胞和肝癌细胞中的 SREBP-1c 导致脂质积累。
Mol Cell Biochem. 2013 Sep;381(1-2):127-37. doi: 10.1007/s11010-013-1694-7. Epub 2013 May 24.

引用本文的文献

1
The Expanding Role of GLP-1 Receptor Agonists: Advancing Clinical Outcomes in Metabolic and Mental Health.胰高血糖素样肽-1受体激动剂的作用不断扩展:改善代谢和心理健康方面的临床结局
Curr Issues Mol Biol. 2025 Apr 17;47(4):285. doi: 10.3390/cimb47040285.
2
Green Tea Polyphenol (-)-Epicatechin Pretreatment Mitigates Hepatic Steatosis in an In Vitro MASLD Model.绿茶多酚(-)-表儿茶素预处理可减轻体外MAFLD模型中的肝脂肪变性。
Curr Issues Mol Biol. 2024 Aug 16;46(8):8981-8994. doi: 10.3390/cimb46080531.
3
Glucagon-Like Peptide-1: New Regulator in Lipid Metabolism.

本文引用的文献

1
Novel Therapies for the Treatment of Drug-Induced Liver Injury: A Systematic Review.药物性肝损伤治疗的新型疗法:一项系统评价
Front Pharmacol. 2022 Feb 2;12:785790. doi: 10.3389/fphar.2021.785790. eCollection 2021.
2
Liraglutide inhibits receptor for advanced glycation end products (RAGE)/reduced form of nicotinamide-adenine dinucleotide phosphate (NAPDH) signaling to ameliorate non-alcoholic fatty liver disease (NAFLD) in vivo and vitro.利拉鲁肽通过抑制晚期糖基化终产物受体(RAGE)/还原型烟酰胺腺嘌呤二核苷酸磷酸(NAPDH)信号通路改善体内和体外非酒精性脂肪性肝病(NAFLD)。
Bioengineered. 2022 Mar;13(3):5091-5102. doi: 10.1080/21655979.2022.2036902.
3
胰高血糖素样肽-1:脂质代谢的新调节剂。
Diabetes Metab J. 2024 May;48(3):354-372. doi: 10.4093/dmj.2023.0277. Epub 2024 Apr 1.
4
Biogenic silver nanoparticles' antibacterial activity and cytotoxicity on human hepatocarcinoma cells (Huh-7).生物源银纳米颗粒对人肝癌细胞(Huh-7)的抗菌活性和细胞毒性。
RSC Adv. 2024 Jan 10;14(4):2192-2204. doi: 10.1039/d3ra07733k.
5
The Role of GLP1-RAs in Direct Modulation of Lipid Metabolism in Hepatic Tissue as Determined Using In Vitro Models of NAFLD.使用非酒精性脂肪性肝病体外模型确定胰高血糖素样肽1受体激动剂在肝组织脂质代谢直接调节中的作用
Curr Issues Mol Biol. 2023 May 24;45(6):4544-4556. doi: 10.3390/cimb45060288.
6
Preclinical Models and Promising Pharmacotherapeutic Strategies in Liver Fibrosis: An Update.肝纤维化的临床前模型与有前景的药物治疗策略:最新进展
Curr Issues Mol Biol. 2023 May 11;45(5):4246-4260. doi: 10.3390/cimb45050270.
7
Mechanism of GLP-1 Receptor Agonists-Mediated Attenuation of Palmitic Acid-Induced Lipotoxicity in L6 Myoblasts.GLP-1 受体激动剂介导的棕榈酸诱导的 L6 肌母细胞脂毒性衰减的机制。
Biomed Res Int. 2022 Dec 28;2022:6237405. doi: 10.1155/2022/6237405. eCollection 2022.
Pharmacotherapies for Drug-Induced Liver Injury: A Current Literature Review.
药物性肝损伤的药物治疗:当前文献综述
Front Pharmacol. 2022 Jan 5;12:806249. doi: 10.3389/fphar.2021.806249. eCollection 2021.
4
Inhibition of Fatty Acid Translocase (FAT/CD36) Palmitoylation Enhances Hepatic Fatty Acid β-Oxidation by Increasing Its Localization to Mitochondria and Interaction with Long-Chain Acyl-CoA Synthetase 1.抑制脂肪酸易位酶(FAT/CD36)棕榈酰化作用通过增加其向线粒体的定位和与长链酰基辅酶 A 合成酶 1 的相互作用来增强肝脏脂肪酸β氧化。
Antioxid Redox Signal. 2022 Jun;36(16-18):1081-1100. doi: 10.1089/ars.2021.0157. Epub 2022 Apr 26.
5
Critical roles of FTO-mediated mRNA m6A demethylation in regulating adipogenesis and lipid metabolism: Implications in lipid metabolic disorders.FTO介导的mRNA m6A去甲基化在调节脂肪生成和脂质代谢中的关键作用:对脂质代谢紊乱的影响
Genes Dis. 2021 Jan 28;9(1):51-61. doi: 10.1016/j.gendis.2021.01.005. eCollection 2022 Jan.
6
Metformin treatment reverses high fat diet- induced non-alcoholic fatty liver diseases and dyslipidemia by stimulating multiple antioxidant and anti-inflammatory pathways.二甲双胍治疗通过刺激多种抗氧化和抗炎途径,逆转高脂饮食诱导的非酒精性脂肪性肝病和血脂异常。
Biochem Biophys Rep. 2021 Nov 17;28:101168. doi: 10.1016/j.bbrep.2021.101168. eCollection 2021 Dec.
7
Liraglutide Decreases Liver Fat Content and Serum Fibroblast Growth Factor 21 Levels in Newly Diagnosed Overweight Patients with Type 2 Diabetes and Nonalcoholic Fatty Liver Disease.利拉鲁肽可降低新诊断的超重 2 型糖尿病合并非酒精性脂肪性肝病患者的肝脏脂肪含量和血清成纤维细胞生长因子 21 水平。
J Diabetes Res. 2021 Oct 8;2021:3715026. doi: 10.1155/2021/3715026. eCollection 2021.
8
Construction of AC/DC magnetic syringe device for stimulated drug release, injection and ejection of nanocarriers and testing cytotoxicity .用于刺激药物释放、纳米载体注射和喷射以及细胞毒性测试的交直流磁性注射器装置的构建
MethodsX. 2021 Mar 21;8:101312. doi: 10.1016/j.mex.2021.101312. eCollection 2021.
9
The Emerging Role of Glucagon-like Peptide-1 Receptor Agonists for the Management of NAFLD.胰高血糖素样肽-1受体激动剂在非酒精性脂肪性肝病管理中的新作用
J Clin Endocrinol Metab. 2022 Jan 1;107(1):29-38. doi: 10.1210/clinem/dgab578.
10
The Agonists of Peroxisome Proliferator-Activated Receptor-γ for Liver Fibrosis.过氧化物酶体增殖物激活受体-γ激动剂治疗肝纤维化。
Drug Des Devel Ther. 2021 Jun 18;15:2619-2628. doi: 10.2147/DDDT.S310163. eCollection 2021.