State Key Laboratory of Drug Research, Shanghai Institute of Materia Medica, Chinese Academy of Sciences, 555 Zu Chong Zhi Road, Shanghai 201203, China.
Collaborative Innovation Center of Yangtze River Delta Region Green Pharmaceuticals and College of Pharmaceutical Science, Zhejiang University of Technology, Hangzhou 310014, China.
Mar Drugs. 2022 Aug 20;20(8):535. doi: 10.3390/md20080535.
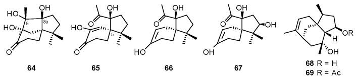
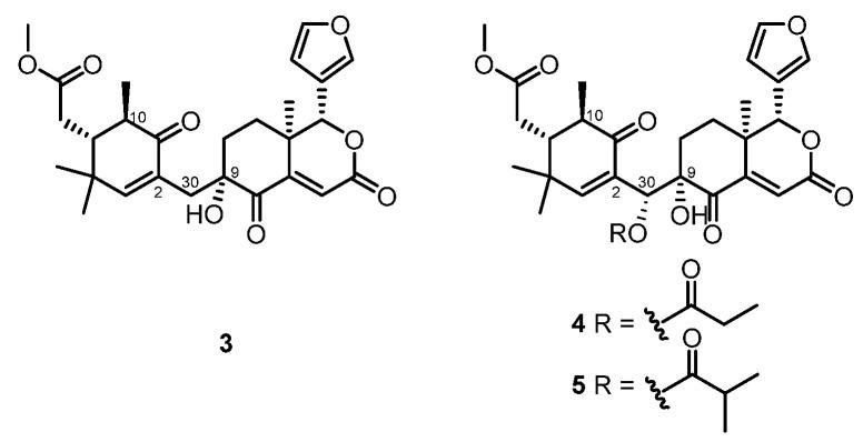
Mangrove ecosystems are widely distributed in the intertidal zone of tropical and subtropical estuaries or coasts, containing abundant biological communities, for example, mangrove plants and diverse groups of microorganisms, featuring various bioactive secondary metabolites. We surveyed the literature from 2010 to 2022, resulting in a collection of 134 secondary metabolites, and classified them into two major families in terms of the biological sources and 15 subfamilies according to the chemical structures. To highlight the structural diversity and bioactivities of the mangrove ecosystem-associated secondary metabolites, we presented the chemical structures, bioactivities, biosynthesis, and chemical syntheses.
红树林生态系统广泛分布于热带和亚热带河口或海岸的潮间带,拥有丰富的生物群落,如红树林植物和多样的微生物群体,具有各种生物活性的次生代谢产物。我们调查了 2010 年至 2022 年的文献,收集了 134 种次生代谢产物,并根据生物来源将它们分为两大类,根据化学结构分为 15 个亚科。为了突出红树林生态系统相关次生代谢产物的结构多样性和生物活性,我们展示了它们的化学结构、生物活性、生物合成和化学合成。