Suppr超能文献

通过HBM4EU生物监测对齐研究(2000 - 2021年)中尿生物标志物水平衡量的丙烯酰胺暴露趋势。

Trends of Exposure to Acrylamide as Measured by Urinary Biomarkers Levels within the HBM4EU Biomonitoring Aligned Studies (2000-2021).

作者信息

Poteser Michael, Laguzzi Federica, Schettgen Thomas, Vogel Nina, Weber Till, Murawski Aline, Schmidt Phillipp, Rüther Maria, Kolossa-Gehring Marike, Namorado Sónia, Nieuwenhuyse An Van, Appenzeller Brice, Dufthaksdóttir Edda, Olafsdóttir Kristín, Haug Line Småstuen, Thomsen Cathrine, Barbone Fabio, Rosolen Valentina, Rambaud Loïc, Riou Margaux, Göen Thomas, Nübler Stefanie, Schäfer Moritz, Zarrabi Karin H A, Gilles Liese, Martin Laura Rodriguez, Schoeters Greet, Sepai Ovnair, Govarts Eva, Moshammer Hanns

机构信息

Department of Environmental Health, Center for Public Health, Medical University of Vienna, Kinderspitalgasse 15, 1090 Vienna, Austria.

Unit of Cardiovascular and Nutritional Epidemiology, Institute of Environmental Medicine, Karolinska-Institutet, Nobels väg 13, Box 210, 17177 Stockholm, Sweden.

出版信息

Toxics. 2022 Aug 2;10(8):443. doi: 10.3390/toxics10080443.

Abstract

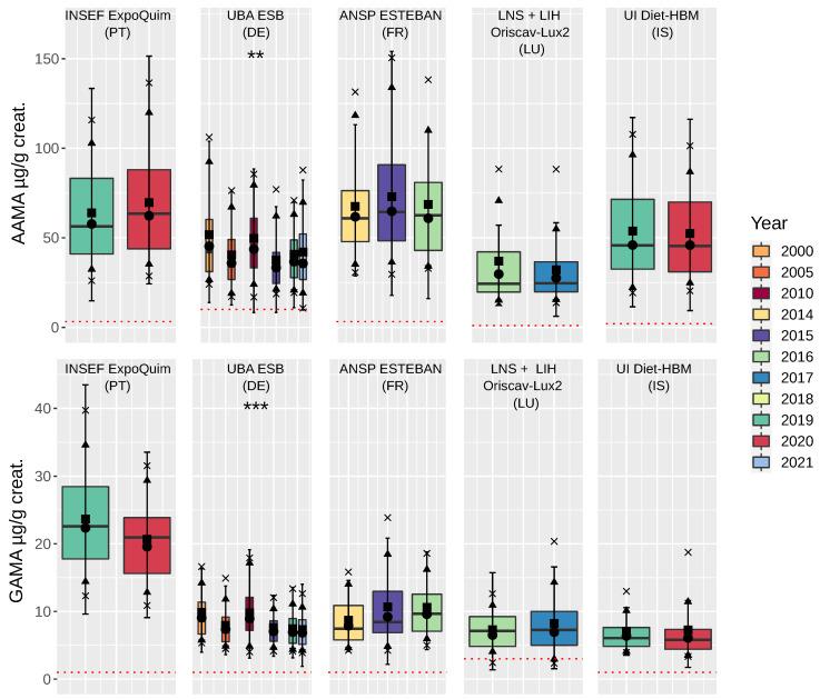
Acrylamide, a substance potentially carcinogenic in humans, represents a very prevalent contaminant in food and is also contained in tobacco smoke. Occupational exposure to higher concentrations of acrylamide was shown to induce neurotoxicity in humans. To minimize related risks for public health, it is vital to obtain data on the actual level of exposure in differently affected segments of the population. To achieve this aim, acrylamide has been added to the list of substances of concern to be investigated in the HBM4EU project, a European initiative to obtain biomonitoring data for a number of pollutants highly relevant for public health. This report summarizes the results obtained for acrylamide, with a focus on time-trends and recent exposure levels, obtained by HBM4EU as well as by associated studies in a total of seven European countries. Mean biomarker levels were compared by sampling year and time-trends were analyzed using linear regression models and an adequate statistical test. An increasing trend of acrylamide biomarker concentrations was found in children for the years 2014-2017, while in adults an overall increase in exposure was found to be not significant for the time period of observation (2000-2021). For smokers, represented by two studies and sampling for, over a total three years, no clear tendency was observed. In conclusion, samples from European countries indicate that average acrylamide exposure still exceeds suggested benchmark levels and may be of specific concern in children. More research is required to confirm trends of declining values observed in most recent years.

摘要

丙烯酰胺是一种对人类有潜在致癌性的物质,是食品中非常普遍的污染物,也存在于烟草烟雾中。职业接触高浓度丙烯酰胺已被证明会导致人类神经毒性。为了将对公众健康的相关风险降至最低,获取不同受影响人群实际接触水平的数据至关重要。为实现这一目标,丙烯酰胺已被列入HBM4EU项目中需要调查的关注物质清单,该项目是一项欧洲倡议,旨在获取与公众健康高度相关的多种污染物的生物监测数据。本报告总结了HBM4EU以及总共七个欧洲国家的相关研究针对丙烯酰胺所取得的结果,重点关注时间趋势和近期接触水平。通过采样年份比较平均生物标志物水平,并使用线性回归模型和适当的统计检验分析时间趋势。在2014 - 2017年期间发现儿童的丙烯酰胺生物标志物浓度呈上升趋势,而在成年人中,在观察期(2000 - 2021年)内总体接触增加不显著。对于由两项研究代表且总共采样三年的吸烟者,未观察到明显趋势。总之,来自欧洲国家的样本表明,丙烯酰胺的平均接触水平仍超过建议的基准水平,并且在儿童中可能特别值得关注。需要更多研究来证实近年来观察到的下降值趋势。

https://cdn.ncbi.nlm.nih.gov/pmc/blobs/50c2/9415341/bf6358455442/toxics-10-00443-g001.jpg

文献AI研究员

20分钟写一篇综述,助力文献阅读效率提升50倍。

立即体验

用中文搜PubMed

大模型驱动的PubMed中文搜索引擎

马上搜索

文档翻译

学术文献翻译模型,支持多种主流文档格式。

立即体验