Suppr超能文献

消化道形态与肠道微生物群共同决定地下啮齿动物高原鼢鼠的高效消化策略

Digestive Tract Morphology and Gut Microbiota Jointly Determine an Efficient Digestive Strategy in Subterranean Rodents: Plateau Zokor.

作者信息

Zhang Shou-Dong, Lin Gong-Hua, Han Ji-Ru, Lin Yu-Wei, Wang Feng-Qing, Lu De-Chen, Xie Jiu-Xiang, Zhao Jin-Xin

机构信息

Ministry of Education Key Laboratory for Biodiversity Science and Ecological Engineering, Coastal Ecosystems Research Station of the Yangtze River Estuary, Shanghai Institute of Eco-Chongming (SIEC), Fudan University, Shanghai 200433, China.

Key Laboratory of Adaptation and Evolution of Plateau Biota, Northwest Institute of Plateau Biology, Chinese Academy of Sciences, Xining 810008, China.

出版信息

Animals (Basel). 2022 Aug 22;12(16):2155. doi: 10.3390/ani12162155.

Abstract

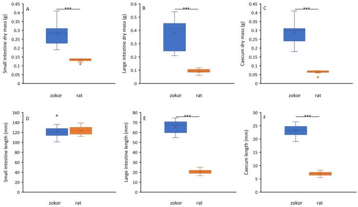
Rodents' lifestyles vary in different environments, and to adapt to various lifestyles specific digestion strategies have been developed. Among these strategies, the morphology of the digestive tracts and the gut microbiota are considered to play the most important roles in such adaptations. However, how subterranean rodents adapt to extreme environments through regulating gut microbial diversity and morphology of the digestive tract has yet to be fully studied. Here, we conducted the comparisons of the gastrointestinal morphology, food intake, food assimilation, food digestibility and gut microbiota of plateau zokor in Qinghai-Tibet Plateau and laboratory rats to further understand the survival strategy in a typical subterranean rodent species endemic to the Qinghai-Tibet Plateau. Our results revealed that plateau zokor evolved an efficient foraging strategy with low food intake, high food digestibility, and ultimately achieved a similar amount of food assimilation to laboratory rats. The length and weight of the digestive tract of the plateau zokor was significantly higher than the laboratory rat. Particularly, the weight and length of the large intestine and cecum in plateau zokor is three times greater than that of the laboratory rat. Microbiome analysis showed that genus (i.e., , , CF231, and ), which are usually associated with cellulose degradation, were significantly enriched in laboratory rats, compared to plateau zokor. However, prediction of metagenomic function revealed that both plateau zokor and laboratory rats shared the same functions in carbohydrate metabolism and energy metabolism. The higher digestibility of crude fiber in plateau zokor was mainly driven by the sizes of cecum and cecum tract, as well as those gut microbiota which associated with cellulose degradation. Altogether, our results highlight that both gut microbiota and the morphology of the digestive tract are vital to the digestion in wild rodents.

摘要

啮齿动物的生活方式因环境而异,为适应各种生活方式,它们进化出了特定的消化策略。在这些策略中,消化道形态和肠道微生物群被认为在这种适应过程中发挥着最重要的作用。然而,地下啮齿动物如何通过调节肠道微生物多样性和消化道形态来适应极端环境,尚未得到充分研究。在此,我们对青藏高原高原鼢鼠和实验室大鼠的胃肠道形态、食物摄入量、食物同化、食物消化率和肠道微生物群进行了比较,以进一步了解这种青藏高原特有的典型地下啮齿动物物种的生存策略。我们的结果表明,高原鼢鼠进化出了一种高效的觅食策略,食物摄入量低、食物消化率高,并最终实现了与实验室大鼠相似的食物同化量。高原鼢鼠消化道的长度和重量显著高于实验室大鼠。特别是,高原鼢鼠大肠和盲肠的重量和长度是实验室大鼠的三倍。微生物组分析表明,与纤维素降解通常相关的属(即、、CF231、和)在实验室大鼠中比高原鼢鼠显著富集。然而,宏基因组功能预测显示,高原鼢鼠和实验室大鼠在碳水化合物代谢和能量代谢方面具有相同的功能。高原鼢鼠较高的粗纤维消化率主要由盲肠和盲肠段的大小以及与纤维素降解相关的肠道微生物群驱动。总之,我们的结果强调,肠道微生物群和消化道形态对野生啮齿动物的消化都至关重要。

https://cdn.ncbi.nlm.nih.gov/pmc/blobs/69ac/9404879/a16fe17aa896/animals-12-02155-g001.jpg

文献检索

告别复杂PubMed语法,用中文像聊天一样搜索,搜遍4000万医学文献。AI智能推荐,让科研检索更轻松。

立即免费搜索

文件翻译

保留排版,准确专业,支持PDF/Word/PPT等文件格式,支持 12+语言互译。

免费翻译文档

深度研究

AI帮你快速写综述,25分钟生成高质量综述,智能提取关键信息,辅助科研写作。

立即免费体验