• 文献检索
  • 文档翻译
  • 深度研究
  • 学术资讯
  • Suppr Zotero 插件Zotero 插件
  • 邀请有礼
  • 套餐&价格
  • 历史记录
应用&插件
Suppr Zotero 插件Zotero 插件浏览器插件Mac 客户端Windows 客户端微信小程序
定价
高级版会员购买积分包购买API积分包
服务
文献检索文档翻译深度研究API 文档MCP 服务
关于我们
关于 Suppr公司介绍联系我们用户协议隐私条款
关注我们

Suppr 超能文献

核心技术专利:CN118964589B侵权必究
粤ICP备2023148730 号-1Suppr @ 2026

文献检索

告别复杂PubMed语法,用中文像聊天一样搜索,搜遍4000万医学文献。AI智能推荐,让科研检索更轻松。

立即免费搜索

文件翻译

保留排版,准确专业,支持PDF/Word/PPT等文件格式,支持 12+语言互译。

免费翻译文档

深度研究

AI帮你快速写综述,25分钟生成高质量综述,智能提取关键信息,辅助科研写作。

立即免费体验

石墨烯纳米带中的RPA等离激元:VO衬底的影响

RPA Plasmons in Graphene Nanoribbons: Influence of a VO Substrate.

作者信息

Bahrami Mousa, Vasilopoulos Panagiotis

机构信息

Bita Quantum AI Inc., 2021 Av. Atwater, Montréal, QC H3H 2P2, Canada.

Department of Physics, Concordia University, 7141 Sherbrooke Ouest, Montreal, QC H4B 1R6, Canada.

出版信息

Nanomaterials (Basel). 2022 Aug 19;12(16):2861. doi: 10.3390/nano12162861.

DOI:10.3390/nano12162861
PMID:36014730
原文链接:https://pmc.ncbi.nlm.nih.gov/articles/PMC9412389/
Abstract

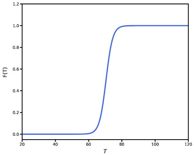
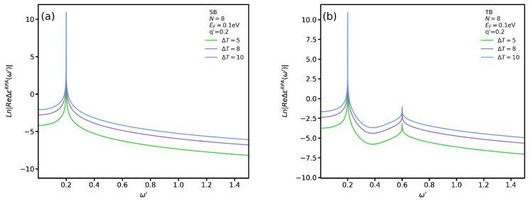
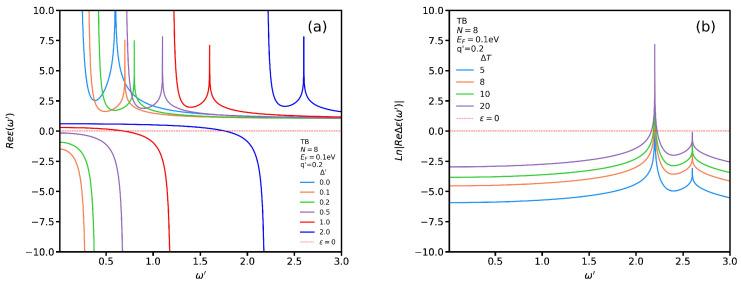
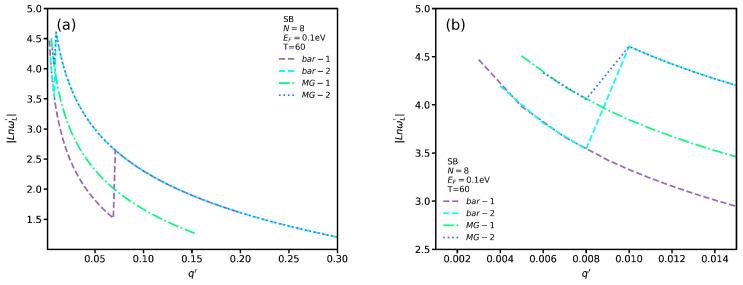
We study the effect of the phase-change material VO2 on plasmons in metallic arm-chair graphene nanoribbons (AGNRs) within the random-phase approximation (RPA) for intra- and inter-band transitions. We assess the influence of temperature as a knob for the transition from the insulating to the metallic phase of VO2 on localized and propagating plasmon modes. We show that AGNRs support localized and propagating plasmon modes and contrast them in the presence and absence of VO2 for intra-band (SB) transitions while neglecting the influence of a substrate-induced band gap. The presence of this gap results in propagating plasmon modes in two-band (TB) transitions. In addition, there is a critical band gap below and above which propagating modes have a linear negative or positive velocity. Increasing the band gap shifts the propagating and localized modes to higher frequencies. In addition, we show how the normalized Fermi velocity increases plasmon modes frequency.

摘要

我们在随机相位近似(RPA)下研究了相变材料VO₂对金属扶手椅型石墨烯纳米带(AGNRs)中带内和带间跃迁等离激元的影响。我们将温度作为一个调节旋钮,评估VO₂从绝缘相转变为金属相时对局域和传播等离激元模式的影响。我们表明,AGNRs支持局域和传播等离激元模式,并在忽略衬底诱导带隙影响的情况下,对比了带内(SB)跃迁中有无VO₂时的这些模式。这个带隙的存在导致了双带(TB)跃迁中的传播等离激元模式。此外,存在一个临界带隙,在其之下和之上,传播模式具有线性负速度或正速度。增大带隙会使传播和局域模式向更高频率移动。此外,我们还展示了归一化费米速度如何提高等离激元模式频率。

https://cdn.ncbi.nlm.nih.gov/pmc/blobs/2862/9412389/2f4206a8ffa8/nanomaterials-12-02861-g012.jpg
https://cdn.ncbi.nlm.nih.gov/pmc/blobs/2862/9412389/db19b4fcfe15/nanomaterials-12-02861-g001.jpg
https://cdn.ncbi.nlm.nih.gov/pmc/blobs/2862/9412389/adf19b1c502c/nanomaterials-12-02861-g002.jpg
https://cdn.ncbi.nlm.nih.gov/pmc/blobs/2862/9412389/9246acd8a3c8/nanomaterials-12-02861-g003.jpg
https://cdn.ncbi.nlm.nih.gov/pmc/blobs/2862/9412389/0d367fd2efd1/nanomaterials-12-02861-g004.jpg
https://cdn.ncbi.nlm.nih.gov/pmc/blobs/2862/9412389/2d8c5d491b0d/nanomaterials-12-02861-g005.jpg
https://cdn.ncbi.nlm.nih.gov/pmc/blobs/2862/9412389/eda776d74060/nanomaterials-12-02861-g006.jpg
https://cdn.ncbi.nlm.nih.gov/pmc/blobs/2862/9412389/36239659780e/nanomaterials-12-02861-g007.jpg
https://cdn.ncbi.nlm.nih.gov/pmc/blobs/2862/9412389/d0c3136d20c4/nanomaterials-12-02861-g008.jpg
https://cdn.ncbi.nlm.nih.gov/pmc/blobs/2862/9412389/42f28e431eda/nanomaterials-12-02861-g009.jpg
https://cdn.ncbi.nlm.nih.gov/pmc/blobs/2862/9412389/37e3e8741aff/nanomaterials-12-02861-g010.jpg
https://cdn.ncbi.nlm.nih.gov/pmc/blobs/2862/9412389/e8d3fa695fdf/nanomaterials-12-02861-g011.jpg
https://cdn.ncbi.nlm.nih.gov/pmc/blobs/2862/9412389/2f4206a8ffa8/nanomaterials-12-02861-g012.jpg
https://cdn.ncbi.nlm.nih.gov/pmc/blobs/2862/9412389/db19b4fcfe15/nanomaterials-12-02861-g001.jpg
https://cdn.ncbi.nlm.nih.gov/pmc/blobs/2862/9412389/adf19b1c502c/nanomaterials-12-02861-g002.jpg
https://cdn.ncbi.nlm.nih.gov/pmc/blobs/2862/9412389/9246acd8a3c8/nanomaterials-12-02861-g003.jpg
https://cdn.ncbi.nlm.nih.gov/pmc/blobs/2862/9412389/0d367fd2efd1/nanomaterials-12-02861-g004.jpg
https://cdn.ncbi.nlm.nih.gov/pmc/blobs/2862/9412389/2d8c5d491b0d/nanomaterials-12-02861-g005.jpg
https://cdn.ncbi.nlm.nih.gov/pmc/blobs/2862/9412389/eda776d74060/nanomaterials-12-02861-g006.jpg
https://cdn.ncbi.nlm.nih.gov/pmc/blobs/2862/9412389/36239659780e/nanomaterials-12-02861-g007.jpg
https://cdn.ncbi.nlm.nih.gov/pmc/blobs/2862/9412389/d0c3136d20c4/nanomaterials-12-02861-g008.jpg
https://cdn.ncbi.nlm.nih.gov/pmc/blobs/2862/9412389/42f28e431eda/nanomaterials-12-02861-g009.jpg
https://cdn.ncbi.nlm.nih.gov/pmc/blobs/2862/9412389/37e3e8741aff/nanomaterials-12-02861-g010.jpg
https://cdn.ncbi.nlm.nih.gov/pmc/blobs/2862/9412389/e8d3fa695fdf/nanomaterials-12-02861-g011.jpg
https://cdn.ncbi.nlm.nih.gov/pmc/blobs/2862/9412389/2f4206a8ffa8/nanomaterials-12-02861-g012.jpg

相似文献

1
RPA Plasmons in Graphene Nanoribbons: Influence of a VO Substrate.石墨烯纳米带中的RPA等离激元:VO衬底的影响
Nanomaterials (Basel). 2022 Aug 19;12(16):2861. doi: 10.3390/nano12162861.
2
Transverse Magnetic Surface Plasmons in Graphene Nanoribbon Qubits: The Influence of a VO Substrate.石墨烯纳米带量子比特中的横向磁表面等离子体:VO衬底的影响
Nanomaterials (Basel). 2023 Feb 13;13(4):718. doi: 10.3390/nano13040718.
3
Exchange, correlation, and scattering effects on surface plasmons in arm-chair graphene nanoribbons.
Opt Express. 2017 Jul 10;25(14):16840-16853. doi: 10.1364/OE.25.016840.
4
Tunable plasmons in regular planar arrays of graphene nanoribbons with armchair and zigzag-shaped edges.具有扶手椅形和锯齿形边缘的石墨烯纳米带规则平面阵列中的可调谐等离子体激元。
Beilstein J Nanotechnol. 2017 Jan 17;8:172-182. doi: 10.3762/bjnano.8.18. eCollection 2017.
5
Relationship Between Stress Modulated Metallicity and Plasmon in Graphene Nanoribbons.石墨烯纳米带中应力调制金属性与等离激元之间的关系
Chemphyschem. 2023 Dec 14;24(24):e202300348. doi: 10.1002/cphc.202300348. Epub 2023 Oct 20.
6
Edge and Surface Plasmons in Graphene Nanoribbons.石墨烯纳米带中的边缘和表面等离子体。
Nano Lett. 2015 Dec 9;15(12):8271-6. doi: 10.1021/acs.nanolett.5b03834. Epub 2015 Nov 23.
7
Experimental signatures of the transition from acoustic plasmon to electronic sound in graphene.石墨烯中从声学等离激元到电子声转变的实验特征。
Sci Adv. 2023 Sep 29;9(39):eadi0415. doi: 10.1126/sciadv.adi0415.
8
Width-Dependent Band Gap in Armchair Graphene Nanoribbons Reveals Fermi Level Pinning on Au(111).扶手椅型石墨烯纳米带的宽度相关带隙揭示金(111)上的费米能级钉扎
ACS Nano. 2017 Nov 28;11(11):11661-11668. doi: 10.1021/acsnano.7b06765. Epub 2017 Oct 25.
9
Plasmon Modes of Graphene Nanoribbons with Periodic Planar Arrangements.具有周期性平面排列的石墨烯纳米带的表面等离子体模式
Phys Rev Lett. 2016 Sep 9;117(11):116801. doi: 10.1103/PhysRevLett.117.116801. Epub 2016 Sep 7.
10
Substrate phonon-mediated plasmon hybridization in coplanar graphene nanostructures for broadband plasmonic circuits.在平面石墨烯纳米结构中,通过衬底声子介导的等离子体杂化实现宽带等离子体电路。
Small. 2015 Feb 4;11(5):591-6. doi: 10.1002/smll.201400515. Epub 2014 Oct 1.

引用本文的文献

1
Transverse Magnetic Surface Plasmons in Graphene Nanoribbon Qubits: The Influence of a VO Substrate.石墨烯纳米带量子比特中的横向磁表面等离子体:VO衬底的影响
Nanomaterials (Basel). 2023 Feb 13;13(4):718. doi: 10.3390/nano13040718.

本文引用的文献

1
Inhomogeneous linear responses and transport in armchair graphene nanoribbons in the presence of elastic scattering.
Nanotechnology. 2022 Feb 15;33(19). doi: 10.1088/1361-6528/ac4fe2.
2
Plasmonic Surface Lattice Resonances: A Review of Properties and Applications.表面等离激元晶格共振:性质与应用综述
Chem Rev. 2018 Jun 27;118(12):5912-5951. doi: 10.1021/acs.chemrev.8b00243. Epub 2018 Jun 4.
3
Metamaterials based on the phase transition of VO.基于 VO 相变的超材料。
Nanotechnology. 2018 Jan 12;29(2):024002. doi: 10.1088/1361-6528/aa9cb1.
4
Exchange, correlation, and scattering effects on surface plasmons in arm-chair graphene nanoribbons.
Opt Express. 2017 Jul 10;25(14):16840-16853. doi: 10.1364/OE.25.016840.
5
Interacting Electrons in Graphene: Fermi Velocity Renormalization and Optical Response.石墨烯中的相互作用电子:费米速度重整化与光学响应
Phys Rev Lett. 2017 Jun 30;118(26):266801. doi: 10.1103/PhysRevLett.118.266801. Epub 2017 Jun 27.
6
Introduction to the Maxwell Garnett approximation: tutorial.麦克斯韦·加尼特近似法介绍:教程
J Opt Soc Am A Opt Image Sci Vis. 2016 Jul 1;33(7):1244-56. doi: 10.1364/JOSAA.33.001244.
7
Semiconducting Graphene from Highly Ordered Substrate Interactions.来自高度有序底物相互作用的半导体石墨烯。
Phys Rev Lett. 2015 Sep 25;115(13):136802. doi: 10.1103/PhysRevLett.115.136802. Epub 2015 Sep 21.
8
Flat optics with designer metasurfaces.平面光学与设计超表面
Nat Mater. 2014 Feb;13(2):139-50. doi: 10.1038/nmat3839.
9
Nature of the metal insulator transition in ultrathin epitaxial vanadium dioxide.在超薄外延二氧化钒中金属-绝缘体转变的本质。
Nano Lett. 2013 Oct 9;13(10):4857-61. doi: 10.1021/nl402716d. Epub 2013 Sep 5.
10
Collective bulk carrier delocalization driven by electrostatic surface charge accumulation.静电表面电荷积累驱动的集体散装货船定位转移。
Nature. 2012 Jul 25;487(7408):459-62. doi: 10.1038/nature11296.