• 文献检索
  • 文档翻译
  • 深度研究
  • 学术资讯
  • Suppr Zotero 插件Zotero 插件
  • 邀请有礼
  • 套餐&价格
  • 历史记录
应用&插件
Suppr Zotero 插件Zotero 插件浏览器插件Mac 客户端Windows 客户端微信小程序
定价
高级版会员购买积分包购买API积分包
服务
文献检索文档翻译深度研究API 文档MCP 服务
关于我们
关于 Suppr公司介绍联系我们用户协议隐私条款
关注我们

Suppr 超能文献

核心技术专利:CN118964589B侵权必究
粤ICP备2023148730 号-1Suppr @ 2026

文献检索

告别复杂PubMed语法,用中文像聊天一样搜索,搜遍4000万医学文献。AI智能推荐,让科研检索更轻松。

立即免费搜索

文件翻译

保留排版,准确专业,支持PDF/Word/PPT等文件格式,支持 12+语言互译。

免费翻译文档

深度研究

AI帮你快速写综述,25分钟生成高质量综述,智能提取关键信息,辅助科研写作。

立即免费体验

机器学习预测血管内血栓切除术前后大血管闭塞的无效再通情况。

Machine learning to predict futile recanalization of large vessel occlusion before and after endovascular thrombectomy.

作者信息

Lin Xinping, Zheng Xiaohan, Zhang Juan, Cui Xiaoli, Zou Daizu, Zhao Zheng, Pan Xiding, Jie Qiong, Wu Yuezhang, Qiu Runze, Zhou Junshan, Chen Nihong, Tang Li, Ge Chun, Zou Jianjun

机构信息

School of Basic Medicine and Clinical Pharmacy, China Pharmaceutical University, Nanjing, China.

Department of Pharmacy Nanjing First Hospital, Nanjing Medical University, Nanjing, China.

出版信息

Front Neurol. 2022 Aug 19;13:909403. doi: 10.3389/fneur.2022.909403. eCollection 2022.

DOI:10.3389/fneur.2022.909403
PMID:36062013
原文链接:https://pmc.ncbi.nlm.nih.gov/articles/PMC9437637/
Abstract

BACKGROUND AND PURPOSE

Futile recanalization occurs when the endovascular thrombectomy (EVT) is a technical success but fails to achieve a favorable outcome. This study aimed to use machine learning (ML) algorithms to develop a pre-EVT model and a post-EVT model to predict the risk of futile recanalization and to provide meaningful insights to assess the prognostic factors associated with futile recanalization.

METHODS

Consecutive acute ischemic stroke patients with large vessel occlusion (LVO) undergoing EVT at the National Advanced Stroke Center of Nanjing First Hospital (China) between April 2017 and May 2021 were analyzed. The baseline characteristics and peri-interventional characteristics were assessed using four ML algorithms. The predictive performance was evaluated by the area under curve (AUC) of receiver operating characteristic and calibration curve. In addition, the SHapley Additive exPlanations (SHAP) approach and partial dependence plot were introduced to understand the relative importance and the influence of a single feature.

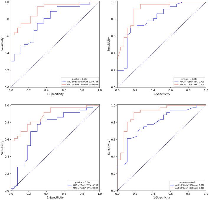
RESULTS

A total of 312 patients were included in this study. Of the four ML models that include baseline characteristics, the "Early" XGBoost had a better performance {AUC, 0.790 [95% confidence intervals (CI), 0.677-0.903]; Brier, 0.191}. Subsequent inclusion of peri-interventional characteristics into the "Early" XGBoost showed that the "Late" XGBoost performed better [AUC, 0.910 (95% CI, 0.837-0.984); Brier, 0.123]. NIHSS after 24 h, age, groin to recanalization, and the number of passages were the critical prognostic factors associated with futile recanalization, and the SHAP approach shows that NIHSS after 24 h ranks first in relative importance.

CONCLUSIONS

The "Early" XGBoost and the "Late" XGBoost allowed us to predict futile recanalization before and after EVT accurately. Our study suggests that including peri-interventional characteristics may lead to superior predictive performance compared to a model based on baseline characteristics only. In addition, NIHSS after 24 h was the most important prognostic factor for futile recanalization.

摘要

背景与目的

当血管内血栓切除术(EVT)在技术上成功但未能取得良好预后时,就会出现无效再通。本研究旨在使用机器学习(ML)算法开发一个EVT前模型和一个EVT后模型,以预测无效再通的风险,并为评估与无效再通相关的预后因素提供有意义的见解。

方法

对2017年4月至2021年5月期间在中国南京医科大学第一附属医院国家高级卒中中心接受EVT治疗的连续性急性缺血性卒中伴大血管闭塞(LVO)患者进行分析。使用四种ML算法评估基线特征和围手术期特征。通过受试者操作特征曲线下面积(AUC)和校准曲线评估预测性能。此外,引入了SHapley加性解释(SHAP)方法和偏依赖图,以了解单个特征的相对重要性和影响。

结果

本研究共纳入312例患者。在包含基线特征的四个ML模型中,“早期”XGBoost表现更佳{AUC,0.790[95%置信区间(CI),0.677 - 0.903];布里尔评分,0.191}。随后将围手术期特征纳入“早期”XGBoost模型,结果显示“晚期”XGBoost表现更好[AUC,0.910(95%CI,0.837 - 0.984);布里尔评分,0.123]。24小时后的美国国立卫生研究院卒中量表(NIHSS)评分、年龄、腹股沟至再通时间以及穿刺次数是与无效再通相关的关键预后因素,且SHAP方法显示24小时后的NIHSS评分在相对重要性方面排名第一。

结论

“早期”XGBoost和“晚期”XGBoost使我们能够准确预测EVT前后的无效再通情况。我们的研究表明,与仅基于基线特征的模型相比,纳入围手术期特征可能会带来更好的预测性能。此外,24小时后的NIHSS评分是无效再通最重要的预后因素。

https://cdn.ncbi.nlm.nih.gov/pmc/blobs/3aa0/9437637/fe11b3ad7129/fneur-13-909403-g0004.jpg
https://cdn.ncbi.nlm.nih.gov/pmc/blobs/3aa0/9437637/15cbf60ecce5/fneur-13-909403-g0001.jpg
https://cdn.ncbi.nlm.nih.gov/pmc/blobs/3aa0/9437637/f089ee8e12ae/fneur-13-909403-g0002.jpg
https://cdn.ncbi.nlm.nih.gov/pmc/blobs/3aa0/9437637/0b5904a86ff3/fneur-13-909403-g0003.jpg
https://cdn.ncbi.nlm.nih.gov/pmc/blobs/3aa0/9437637/fe11b3ad7129/fneur-13-909403-g0004.jpg
https://cdn.ncbi.nlm.nih.gov/pmc/blobs/3aa0/9437637/15cbf60ecce5/fneur-13-909403-g0001.jpg
https://cdn.ncbi.nlm.nih.gov/pmc/blobs/3aa0/9437637/f089ee8e12ae/fneur-13-909403-g0002.jpg
https://cdn.ncbi.nlm.nih.gov/pmc/blobs/3aa0/9437637/0b5904a86ff3/fneur-13-909403-g0003.jpg
https://cdn.ncbi.nlm.nih.gov/pmc/blobs/3aa0/9437637/fe11b3ad7129/fneur-13-909403-g0004.jpg

相似文献

1
Machine learning to predict futile recanalization of large vessel occlusion before and after endovascular thrombectomy.机器学习预测血管内血栓切除术前后大血管闭塞的无效再通情况。
Front Neurol. 2022 Aug 19;13:909403. doi: 10.3389/fneur.2022.909403. eCollection 2022.
2
[Influencing factors of futile recanalization after endovascular therapy in acute ischemic stroke patients with large vessel occlusions].[急性大血管闭塞性缺血性卒中患者血管内治疗后再通失败的影响因素]
Zhonghua Yi Xue Za Zhi. 2023 Aug 8;103(29):2218-2224. doi: 10.3760/cma.j.cn112137-20230218-00231.
3
Biomarkers of Unfavorable Outcome in Acute Ischemic Stroke Patients with Successful Recanalization by Endovascular Thrombectomy.血管内血栓切除术成功再通的急性缺血性脑卒中患者不良预后的生物标志物。
Cerebrovasc Dis. 2020;49(6):583-592. doi: 10.1159/000510804. Epub 2020 Oct 26.
4
[The association between cortical venous outflow and futile recanalization in patients with acute ischemic stroke due to large vessel occlusion in the anterior circulation].[前循环大血管闭塞所致急性缺血性卒中患者皮质静脉流出与无效再通之间的关联]
Zhonghua Yi Xue Za Zhi. 2023 Aug 8;103(29):2210-2217. doi: 10.3760/cma.j.cn112137-20221230-02729.
5
A visualized nomogram to online predict futile recanalization after endovascular thrombectomy in basilar artery occlusion stroke.一种用于在线预测基底动脉闭塞性卒中血管内血栓切除术后无效再通的可视化列线图。
Front Neurol. 2022 Aug 26;13:968037. doi: 10.3389/fneur.2022.968037. eCollection 2022.
6
Multiple-Factor Analyses of Futile Recanalization in Acute Ischemic Stroke Patients Treated With Mechanical Thrombectomy.接受机械取栓治疗的急性缺血性卒中患者无效再通的多因素分析
Front Neurol. 2021 Aug 19;12:704088. doi: 10.3389/fneur.2021.704088. eCollection 2021.
7
Nomogram-Based Prediction of the Futile Recanalization Risk Among Acute Ischemic Stroke Patients Before and After Endovascular Therapy: A Retrospective Study.基于列线图预测急性缺血性卒中患者血管内治疗前后再通失败风险:一项回顾性研究
Neuropsychiatr Dis Treat. 2023 Apr 13;19:879-894. doi: 10.2147/NDT.S400463. eCollection 2023.
8
Predictors of Futile Recanalization in Patients with Intracranial Atherosclerosis-Related Stroke Undergoing Endovascular Treatment.颅内动脉粥样硬化相关性卒中患者接受血管内治疗时无效再通的预测因素
World Neurosurg. 2023 Mar;171:e752-e759. doi: 10.1016/j.wneu.2022.12.101. Epub 2022 Dec 27.
9
Predictors of futile recanalization after endovascular treatment of acute ischemic stroke.血管内治疗急性缺血性卒中后无效再通的预测因素。
BMC Neurol. 2024 Jun 17;24(1):207. doi: 10.1186/s12883-024-03719-8.
10
Futile reperfusion of endovascular treatment for acute anterior circulation large vessel occlusion in the ANGEL-ACT registry.ANGEL-ACT 登记研究中急性前循环大血管闭塞血管内治疗的无效再灌注。
J Neurointerv Surg. 2023 Dec 21;15(e3):e363-e368. doi: 10.1136/jnis-2022-019874.

引用本文的文献

1
Carotid artery dissection recanalization: imaging modalities, influencing factors, and therapeutic perspectives.颈动脉夹层再通:影像学检查方法、影响因素及治疗前景
Front Neurol. 2025 Jul 8;16:1624698. doi: 10.3389/fneur.2025.1624698. eCollection 2025.
2
Identification and Patient Benefit Evaluation of Machine Learning Models for Predicting 90-Day Mortality After Endovascular Thrombectomy Based on Routinely Ready Clinical Information.基于常规可用临床信息的血管内血栓切除术术后90天死亡率预测机器学习模型的识别与患者获益评估
Bioengineering (Basel). 2025 Apr 28;12(5):468. doi: 10.3390/bioengineering12050468.
3

本文引用的文献

1
Multiple-Factor Analyses of Futile Recanalization in Acute Ischemic Stroke Patients Treated With Mechanical Thrombectomy.接受机械取栓治疗的急性缺血性卒中患者无效再通的多因素分析
Front Neurol. 2021 Aug 19;12:704088. doi: 10.3389/fneur.2021.704088. eCollection 2021.
2
Predictors of futile recanalization in patients undergoing endovascular treatment in the DIRECT-MT trial.DIRECT-MT 试验中血管内治疗患者无效再通的预测因素。
J Neurointerv Surg. 2022 Aug;14(8):752-755. doi: 10.1136/neurintsurg-2021-017765. Epub 2021 Sep 2.
3
Predicting 90-Day Outcome After Thrombectomy: Baseline-Adjusted 24-Hour NIHSS Is More Powerful Than NIHSS Score Change.
Introducing the Futile Recanalization Prediction Score (FRPS): A Novel Approach to Predict and Mitigate Ineffective Recanalization after Endovascular Treatment of Acute Ischemic Stroke.
介绍无效再通预测评分(FRPS):一种预测和减轻急性缺血性卒中血管内治疗后无效再通的新方法。
Neurol Int. 2024 May 30;16(3):605-619. doi: 10.3390/neurolint16030045.
4
Neuroimaging of Acute Ischemic Stroke: Multimodal Imaging Approach for Acute Endovascular Therapy.急性缺血性卒中的神经影像学:急性血管内治疗的多模态成像方法
J Stroke. 2023 Jan;25(1):55-71. doi: 10.5853/jos.2022.03286. Epub 2023 Jan 31.
预测取栓后 90 天的结局:基线校正 24 小时 NIHSS 比 NIHSS 评分变化更有价值。
Stroke. 2021 Aug;52(8):2547-2553. doi: 10.1161/STROKEAHA.120.032487. Epub 2021 May 18.
4
Multimodal Predictive Modeling of Endovascular Treatment Outcome for Acute Ischemic Stroke Using Machine-Learning.基于机器学习的急性缺血性脑卒中血管内治疗结局的多模态预测模型
Stroke. 2020 Dec;51(12):3541-3551. doi: 10.1161/STROKEAHA.120.030287. Epub 2020 Oct 12.
5
Predictors of Futile Recanalization After Endovascular Treatment in Patients with Acute Ischemic Stroke in a Multicenter Registry Study.多中心注册研究中急性缺血性脑卒中血管内治疗后无效再通的预测因素。
J Stroke Cerebrovasc Dis. 2020 Oct;29(10):105067. doi: 10.1016/j.jstrokecerebrovasdis.2020.105067. Epub 2020 Jul 30.
6
Machine Learning Prediction of Stroke Mechanism in Embolic Strokes of Undetermined Source.机器学习预测不明来源栓塞性脑卒中的卒中机制。
Stroke. 2020 Sep;51(9):e203-e210. doi: 10.1161/STROKEAHA.120.029305. Epub 2020 Aug 12.
7
Predictors of poor clinical outcome despite complete reperfusion in acute ischemic stroke patients.尽管急性缺血性脑卒中患者实现了完全再灌注,但仍存在临床预后不良的预测因素。
J Neurointerv Surg. 2021 Jan;13(1):14-18. doi: 10.1136/neurintsurg-2020-015889. Epub 2020 May 15.
8
Futile complete recanalization: patients characteristics and its time course.无效的完全再通:患者特征及其时间进程。
Sci Rep. 2020 Mar 18;10(1):4973. doi: 10.1038/s41598-020-61748-y.
9
Machine Learning for Detecting Early Infarction in Acute Stroke with Non-Contrast-enhanced CT.基于非增强 CT 的机器学习检测急性卒中早期梗死。
Radiology. 2020 Mar;294(3):638-644. doi: 10.1148/radiol.2020191193. Epub 2020 Jan 28.
10
Guidelines for the Early Management of Patients With Acute Ischemic Stroke: 2019 Update to the 2018 Guidelines for the Early Management of Acute Ischemic Stroke: A Guideline for Healthcare Professionals From the American Heart Association/American Stroke Association.急性缺血性脑卒中患者早期管理指南:2018 年急性缺血性脑卒中早期管理指南的更新:美国心脏协会/美国卒中协会发布的医疗保健专业人员指南。
Stroke. 2019 Dec;50(12):e344-e418. doi: 10.1161/STR.0000000000000211. Epub 2019 Oct 30.