Suppr超能文献

复发性恶性胸膜间皮瘤患者新的局部复发评分方案

Proposal for a new local recurrence score in patients with recurrent malignant pleural mesothelioma.

作者信息

Lauk Olivia, Neuer Thomas, Battilana Bianca, Inci Ilhan, Furrer Katarzyna, Weder Walter, Hashimoto Masaki, Opitz Isabelle

机构信息

Department of Thoracic Surgery, University Hospital Zurich, Zurich, Switzerland.

出版信息

J Thorac Dis. 2022 Aug;14(8):2835-2844. doi: 10.21037/jtd-21-1628.

Abstract

BACKGROUND

Malignant pleural mesothelioma (MPM) is associated with high rates of local recurrence (LR) up to 75%. Second line treatment should be applied tailored to relapse pattern. We aimed to establish a new score for LR pattern with prognostic impact in this observational study of retrospective nature.

METHODS

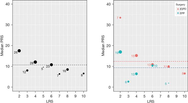
MPM patients with LR after surgery, verified by serial imaging during follow-up visits or biopsy were included in a retrospective analysis using a new local recurrence score (LRS). We divided the thoracic cavity into six sections and calculated the LRS according to the tumor burden. We assessed the impact on survival after recurrence using cox regression model.

RESULTS

From 2001 until 2017, 128 consecutive MPM patients with LR who underwent macroscopic complete resection (MCR) by extrapleural pneumonectomy (EPP, n=61) or by (extended) pleurectomy/decortication [(E)PD, n=67], were included in the present analysis; 104 patients received second line therapy. Patients with chest wall (CW) recurrence had the shortest survival after recurrence (9 . 16 months, P=0.05) as well as patients with affected lymph nodes (LN) (9 . 17 months, P=0.02). In subgroup analysis, the (E)PD group had a significantly higher LRS (P≤0.001) despite a longer survival time after recurrence of 12.4 months (IQR, 6.45-20.32) compared to 9.3 months (IQR, 2.93-17.40, EPP group) (P=0.04). Patients with LRS ≤4 had a longer survival undergoing radiotherapy or local surgery for second line treatment whereas patients with LRS >4 only if they underwent chemotherapy.

CONCLUSIONS

LRS might be a useful prognostic tool in MPM patients with LR after multimodality therapy to guide second line treatment allocation.

摘要

背景

恶性胸膜间皮瘤(MPM)的局部复发率高达75%。二线治疗应根据复发模式进行个体化应用。在这项回顾性观察研究中,我们旨在建立一种对局部复发模式有预后影响的新评分系统。

方法

对术后出现局部复发的MPM患者进行回顾性分析,这些复发通过随访期间的系列影像学检查或活检得以证实,采用一种新的局部复发评分(LRS)。我们将胸腔分为六个部分,并根据肿瘤负荷计算LRS。使用Cox回归模型评估复发后对生存的影响。

结果

从2001年至2017年,本分析纳入了128例连续的MPM局部复发患者,这些患者接受了经胸膜外肺切除术(EPP,n = 61)或(扩大)胸膜剥脱术/去皮质术[(E)PD,n = 67]进行宏观完全切除(MCR);104例患者接受了二线治疗。胸壁(CW)复发的患者复发后生存期最短(9.16个月,P = 0.05),受累淋巴结(LN)复发的患者也是如此(9.17个月,P = 0.02)。在亚组分析中,(E)PD组的LRS显著更高(P≤0.001),尽管其复发后的生存时间更长,为12.4个月(四分位间距,6.45 - 20.32),而EPP组为9.3个月(四分位间距,2.93 - 17.40)(P = 0.04)。LRS≤4的患者接受二线放疗或局部手术时生存期更长,而LRS>4的患者仅在接受化疗时生存期较长。

结论

LRS可能是多模式治疗后出现局部复发的MPM患者的一种有用的预后工具,可用于指导二线治疗方案的选择。

https://cdn.ncbi.nlm.nih.gov/pmc/blobs/9fd9/9442537/abdb9e6ae51c/jtd-14-08-2835-f1.jpg

文献检索

告别复杂PubMed语法,用中文像聊天一样搜索,搜遍4000万医学文献。AI智能推荐,让科研检索更轻松。

立即免费搜索

文件翻译

保留排版,准确专业,支持PDF/Word/PPT等文件格式,支持 12+语言互译。

免费翻译文档

深度研究

AI帮你快速写综述,25分钟生成高质量综述,智能提取关键信息,辅助科研写作。

立即免费体验