Suppr超能文献

全基因组关联研究确定了与[具体物种]氨氮耐受性相关的基因。 (原文中“in”后面缺少具体内容)

Genome-wide association study identified genes associated with ammonia nitrogen tolerance in .

作者信息

Fu Shuo, Liu Jianyong

机构信息

College of Fisheries, Guangdong Ocean University, Zhanjiang, China.

Guangdong Provincial Shrimp Breeding and Culture Laboratory, Guangdong Ocean University, Zhanjiang, China.

出版信息

Front Genet. 2022 Aug 22;13:961009. doi: 10.3389/fgene.2022.961009. eCollection 2022.

Abstract

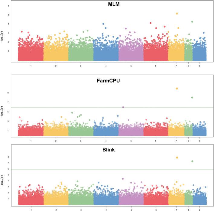
Ammonia nitrogen tolerance is an economically important trait of the farmed penaeid shrimp . To identify the genes associated with ammonia nitrogen tolerance, we performed an extreme phenotype genome-wide association study method (XP-GWAS) on a population of 200 individuals. The single nucleotide polymorphism (SNP) genotyping array method was used to construct the libraries and 36,048 SNPs were genotyped. Using the MLM, FarmCPU and Blink models, six different SNPs, located on SEQ3, SEQ4, SEQ5, SEQ7 and SEQ8, were determined to be significantly associated with ammonia nitrogen tolerance. By integrating the results of the GWAS and the biological functions of the genes, seven candidate genes (PDI, OZF, UPF2, VPS16, TMEM19, MYCBP2, and HOX7) were found to be associated with ammonia nitrogen tolerance in . . These genes are involved in cell transcription, cell division, metabolism, and immunity, providing the basis for further study of the genetic mechanisms of ammonia nitrogen tolerance in . . Further candidate gene association analysis in the offspring population revealed that the SNPs in the genes zinc finger protein OZF-like (OZF) and homeobox protein Hox-B7-like (HOX7) were significantly associated with ammonia nitrogen tolerance trait of . Our results provide fundamental genetic information that will be useful for further investigation of the molecular mechanisms of ammonia nitrogen tolerance. These associated SNPs may also be promising candidates for improving ammonia nitrogen tolerance in .

摘要

氨氮耐受性是养殖对虾的一个重要经济性状。为了鉴定与氨氮耐受性相关的基因,我们对200个个体的群体进行了极端表型全基因组关联研究方法(XP-GWAS)。使用单核苷酸多态性(SNP)基因分型阵列方法构建文库,并对36,048个SNP进行基因分型。使用MLM、FarmCPU和Blink模型,确定位于SEQ3、SEQ4、SEQ5、SEQ7和SEQ8上的六个不同SNP与氨氮耐受性显著相关。通过整合GWAS结果和基因的生物学功能,发现七个候选基因(PDI、OZF、UPF2、VPS16、TMEM19、MYCBP2和HOX7)与氨氮耐受性相关。这些基因参与细胞转录、细胞分裂、代谢和免疫,为进一步研究氨氮耐受性的遗传机制提供了基础。在后代群体中进一步的候选基因关联分析表明,锌指蛋白OZF样(OZF)和同源盒蛋白Hox-B7样(HOX7)基因中的SNP与氨氮耐受性性状显著相关。我们的结果提供了基本的遗传信息,将有助于进一步研究氨氮耐受性的分子机制。这些相关的SNP也可能是提高氨氮耐受性的有前景的候选基因。

https://cdn.ncbi.nlm.nih.gov/pmc/blobs/866e/9441690/1c93ee44b453/fgene-13-961009-g001.jpg

文献检索

告别复杂PubMed语法,用中文像聊天一样搜索,搜遍4000万医学文献。AI智能推荐,让科研检索更轻松。

立即免费搜索

文件翻译

保留排版,准确专业,支持PDF/Word/PPT等文件格式,支持 12+语言互译。

免费翻译文档

深度研究

AI帮你快速写综述,25分钟生成高质量综述,智能提取关键信息,辅助科研写作。

立即免费体验