Suppr超能文献

多参数双时间点[F]FDG PET/MRI用于未经治疗的FIGO I/II期宫颈癌患者的淋巴结分期

Multiparametric Dual-Time-Point [F]FDG PET/MRI for Lymph Node Staging in Patients with Untreated FIGO I/II Cervical Carcinoma.

作者信息

Weissinger Matthias, Kommoss Stefan, Jacoby Johann, Ursprung Stephan, Seith Ferdinand, Hoffmann Sascha, Nikolaou Konstantin, Brucker Sara Yvonne, La Fougère Christian, Dittmann Helmut

机构信息

Department of Nuclear Medicine and Clinical Molecular Imaging, University Hospital Tuebingen, 72076 Tuebingen, Germany.

Department of Diagnostic and Interventional Radiology, Eberhard-Karls-University Tuebingen, Hoppe Seyler-Straße 3, 72076 Tuebingen, Germany.

出版信息

J Clin Med. 2022 Aug 23;11(17):4943. doi: 10.3390/jcm11174943.

Abstract

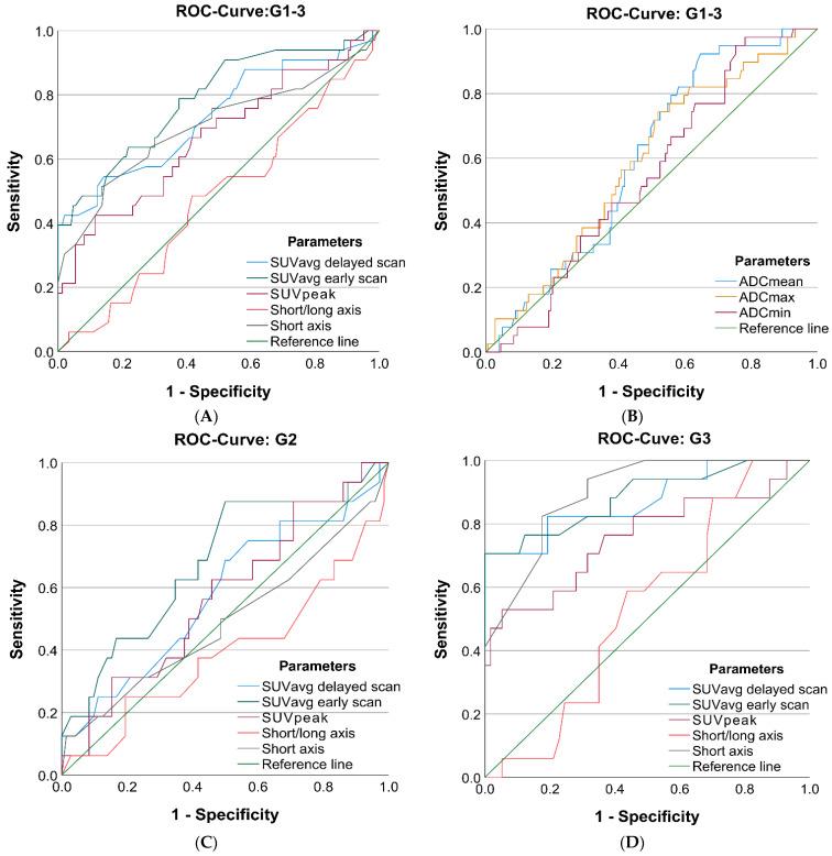
[F]FDG PET/MRI was shown to have limited sensitivity for N-staging in FIGO I/II cervical carcinoma. Therefore, this prospective study aimed to investigate the additional value of multiparametric dual-time-point PET/MRI and to assess potential influencing factors for lymph node metastasis (LNM) detection. A total of 63 patients underwent whole-body dual-time-point [F]FDG PET/MRI 60 + 90 min p.i., and 251 LN were evaluated visually, quantified multiparametrically, and correlated with histology. Grading of the primary tumor (G2/G3) had a significant impact on visual detection (sens: 8.3%/31%). The best single parameter for LNM detection was SUVavg, however, with a significant loss of discriminatory power in G2 vs. G3 tumors (AUC: 0.673/0.901). The independent predictors SUVavg, ∆SUVpeak, LN sphericity, ADC, and histologic grade were included in the logistic-regression-based malignancy score (MS) for multiparametric analysis. Application of MS enhanced AUCs, especially in G2 tumors (AUC: G2:0.769; G3:0.877) and improved the accuracy for single LNM from 34.5% to 55.5% compared with the best univariate parameter SUVavg. Compared with visual analysis, the use of the malignancy score increased the overall sensitivity from 31.0% to 79.3% (Youden optimum) with a moderate decrease in specificity from 98.3% to 75.6%. These findings indicate that multiparametric evaluation of dual-time-point PET/MRI has the potential to improve accuracy compared with visual interpretation and enables sufficient N-staging also in G2 cervical carcinoma.

摘要

[F]氟代脱氧葡萄糖正电子发射断层扫描/磁共振成像(FDG PET/MRI)对国际妇产科联盟(FIGO)I/II期宫颈癌的N分期显示出有限的敏感性。因此,这项前瞻性研究旨在探讨多参数双时相PET/MRI的附加价值,并评估淋巴结转移(LNM)检测的潜在影响因素。共有63例患者在注射后60 + 90分钟接受了全身双时相[F]FDG PET/MRI检查,对251个淋巴结进行了视觉评估、多参数定量分析,并与组织学结果进行了关联。原发肿瘤分级(G2/G3)对视觉检测有显著影响(敏感性:8.3%/31%)。LNM检测的最佳单一参数是平均标准摄取值(SUVavg),然而,在G2与G3肿瘤中其鉴别能力显著下降(曲线下面积:0.673/0.901)。基于逻辑回归的恶性肿瘤评分(MS)纳入了独立预测因子SUVavg、SUV峰值变化(∆SUVpeak)、淋巴结球形度、表观扩散系数(ADC)和组织学分级进行多参数分析。MS的应用提高了曲线下面积,尤其是在G2肿瘤中(曲线下面积:G2:0.769;G3:0.877),与最佳单变量参数SUVavg相比,将单个LNM的准确率从34.5%提高到了55.5%。与视觉分析相比,使用恶性肿瘤评分使总体敏感性从3

https://cdn.ncbi.nlm.nih.gov/pmc/blobs/b7da/9456388/f6ed8f77a789/jcm-11-04943-g001.jpg

文献检索

告别复杂PubMed语法,用中文像聊天一样搜索,搜遍4000万医学文献。AI智能推荐,让科研检索更轻松。

立即免费搜索

文件翻译

保留排版,准确专业,支持PDF/Word/PPT等文件格式,支持 12+语言互译。

免费翻译文档

深度研究

AI帮你快速写综述,25分钟生成高质量综述,智能提取关键信息,辅助科研写作。

立即免费体验