Suppr超能文献

出生胎次和分娩方式及其与生活质量的关系:一项纵向研究。

Parity and mode of birth and their relationships with quality of life: A longitudinal study.

机构信息

Faculty of Health, University of Canberra, Canberra, ACT, Australia.

ACT Government Health Directorate, Canberra, ACT, Australia.

出版信息

PLoS One. 2022 Sep 9;17(9):e0273366. doi: 10.1371/journal.pone.0273366. eCollection 2022.

Abstract

OBJECTIVE

To examine how (a) parity and (b) mode of birth were associated with later Quality of Life (QOL) in young adult women, with a mean follow-up of 11.0 years.

DESIGN

Prospective cohort study.

SETTING

Australia.

R SAMPLE

A total of 7770 women participating in the 1973-1978 cohort of the Longitudinal Study of Women's Health.

METHODS

Linear regression models were used to estimate (1) prospective associations between parity and mode of birth with eight subscale and two summary scores of the SF36, assessed after a mean follow-up of 11 years., and (2) differences between SF36 scores at follow up for women in different parity and mode of birth categories.

MAIN OUTCOME MEASURE

Quality of Life as measured by the SF36.

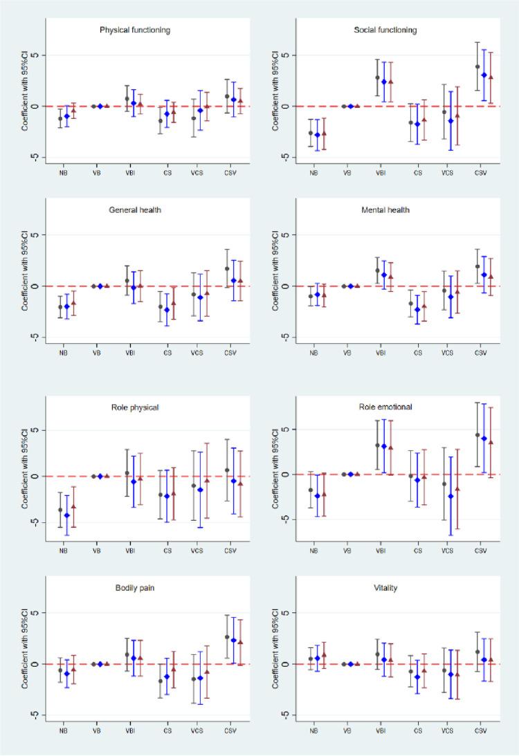
RESULTS

Women experiencing no births (parity 0) and one birth (parity 1) had lower scores on all the physical health measures, and on some mental health measures, than women who had 2 births (parity 2) (all p<0.05).

CONCLUSIONS

Parity and mode of birth may have long-term implications for women's physical and mental health. Both childless and women with only one child had poorer physical and mental health than their peers with two children. Women with only caesarean section(s) also had poorer health than women who had vaginal birth/s.

摘要

目的

探讨(a)生育次数和(b)分娩方式如何与年轻女性的生活质量(QOL)相关,平均随访时间为 11.0 年。

设计

前瞻性队列研究。

地点

澳大利亚。

样本

共有 7770 名女性参加了 1973-1978 年妇女健康纵向研究的队列研究。

方法

使用线性回归模型估计(1)生育次数和分娩方式与 SF36 的八个亚量表和两个综合评分之间的前瞻性关联,评估时间为平均 11 年的随访后;(2)在不同生育次数和分娩方式类别的女性中,SF36 评分在随访时的差异。

主要观察指标

SF36 衡量的生活质量。

结果

未生育(生育次数 0)和生育一次(生育次数 1)的女性在所有身体健康指标上,以及在一些心理健康指标上的得分均低于生育两次(生育次数 2)的女性(均 P<0.05)。

结论

生育次数和分娩方式可能对女性的身心健康有长期影响。未生育和仅生育一个孩子的女性的身心健康均不如生育两个孩子的同龄人。仅接受剖宫产的女性的健康状况也不如经阴道分娩的女性。

https://cdn.ncbi.nlm.nih.gov/pmc/blobs/7eb0/9462673/284b81bd0793/pone.0273366.g001.jpg

文献检索

告别复杂PubMed语法,用中文像聊天一样搜索,搜遍4000万医学文献。AI智能推荐,让科研检索更轻松。

立即免费搜索

文件翻译

保留排版,准确专业,支持PDF/Word/PPT等文件格式,支持 12+语言互译。

免费翻译文档

深度研究

AI帮你快速写综述,25分钟生成高质量综述,智能提取关键信息,辅助科研写作。

立即免费体验