Suppr超能文献

硫化金单层的超高晶格热导率。

Extraordinary lattice thermal conductivity of gold sulfide monolayers.

作者信息

Taheri Armin, Pisana Simone, Singh Chandra Veer

机构信息

Department of Electrical Engineering and Computer Science, York University Toronto Ontario M3J1P3 Canada

Department of Physics and Astronomy, York University Toronto Ontario M3J1P3 Canada.

出版信息

Nanoscale Adv. 2022 May 31;4(13):2873-2883. doi: 10.1039/d2na00019a. eCollection 2022 Jun 28.

Abstract

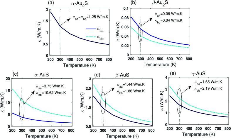
Gold sulfide monolayers (α-, β-AuS, α-, β-, γ-AuS) have emerged as a new class of two-dimensional (2D) materials with appealing properties such as high thermal and dynamical stability, oxidation resistance, and excellent electron mobility. However, their thermal properties are still unexplored. In this study, based on first-principles calculations and the Peierls-Boltzmann transport equation, we report the lattice thermal conductivity () and related phonon thermal properties of all members of this family. Our results show that gold sulfide monolayers have lattice thermal conductivity spanning almost three orders of magnitude, from 0.04 W m K to 10.62 W m K, with different levels of anisotropy. Particularly, our results demonstrate that β-AuS with ultralow = 0.06 W m K and = 0.04 W m K along the principal in-plane directions, has one of the lowest values that have been reported for a 2D material, well below that of PbSe. This extremely low lattice thermal conductivity can be attributed to its flattened phonon branches and low phonon group velocity, high anharmonicity, and short phonon lifetimes. Our results may provide insight into the application of gold sulfide monolayers as thermoelectric materials, and motivate future measurements of gold sulfide monolayers.

摘要

硫化金单层(α -、β - AuS、α -、β -、γ - AuS)已成为一类新型的二维(2D)材料,具有诸如高热稳定性和动力学稳定性、抗氧化性以及优异的电子迁移率等吸引人的特性。然而,它们的热性质仍未被探索。在本研究中,基于第一性原理计算和玻耳兹曼输运方程,我们报告了该家族所有成员的晶格热导率()以及相关的声子热性质。我们的结果表明,硫化金单层的晶格热导率跨越近三个数量级,从0.04 W m K到10.62 W m K,具有不同程度的各向异性。特别地,我们的结果表明,β - AuS在面内主方向上具有超低的 = 0.06 W m K和 = 0.04 W m K,是已报道的二维材料中最低的值之一,远低于PbSe。这种极低的晶格热导率可归因于其扁平的声子分支、低声子群速度、高非谐性以及短声子寿命。我们的结果可能为硫化金单层作为热电材料的应用提供见解,并推动未来对硫化金单层的测量。

https://cdn.ncbi.nlm.nih.gov/pmc/blobs/0e19/9418960/d8eeb0de80c6/d2na00019a-f1.jpg

文献检索

告别复杂PubMed语法,用中文像聊天一样搜索,搜遍4000万医学文献。AI智能推荐,让科研检索更轻松。

立即免费搜索

文件翻译

保留排版,准确专业,支持PDF/Word/PPT等文件格式,支持 12+语言互译。

免费翻译文档

深度研究

AI帮你快速写综述,25分钟生成高质量综述,智能提取关键信息,辅助科研写作。

立即免费体验