Suppr超能文献

重离子辐照诱导疯草内生真菌的筛选及苦马豆素生物合成途径研究

Screening of Endophytic Fungi in Locoweed Induced by Heavy-Ion Irradiation and Study on Swainsonine Biosynthesis Pathway.

作者信息

Mo Yanan, Yang Zhen, Hao Baocheng, Cheng Feng, Song Xiangdong, Shang Xiaofei, Zhao Haoxia, Shang Ruofeng, Wang Xuehong, Liang Jianping, Wang Shengyi, Liu Yu

机构信息

Key Laboratory of New Animal Drug Project, Lanzhou 730050, China.

Key Laboratory of Veterinary Pharmaceutical Development, Ministry of Agriculture and Rural Affairs, Lanzhou 730050, China.

出版信息

J Fungi (Basel). 2022 Sep 10;8(9):951. doi: 10.3390/jof8090951.

Abstract

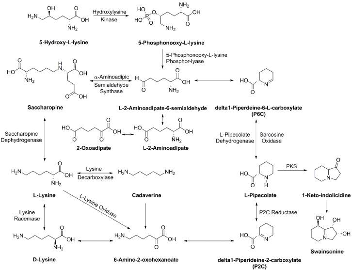
Swainsonine (SW) is a substance with both animal neurotoxicity and natural anticancer activity produced by the metabolism of endophytic fungus section of locoweed. This paper produced SW by fermentation of the endophytic fungus A. of locoweed and obtained the optimal ultrasonic-assisted extraction process of SW by the response surface methodology. Meanwhile, four mutant strains with significant and stable SW-producing properties were screened out after the mutagenesis of by heavy-ion irradiation. Of these, three were high-yielding stains and one was a low-yielding strain. In addition, through the analysis of metabolomics studies, it was speculated that the different SW production performance of the mutant might be related to the biosynthesis and utilization of L-lysine, L-2-aminoadipate-6-semialdehyde, etc. These results laid the foundation for the expansion of SW production, artificial construction of low-toxic locoweed and clarification of the SW biosynthesis pathway in .

摘要

苦马豆素(SW)是一种由疯草内生真菌代谢产生的兼具动物神经毒性和天然抗癌活性的物质。本文通过对疯草内生真菌A.进行发酵生产SW,并采用响应面法获得了SW的最佳超声辅助提取工艺。同时,通过重离子辐照诱变筛选出4株产SW性能显著且稳定的突变株,其中3株为高产菌株,1株为低产菌株。此外,通过代谢组学研究分析推测,突变株产SW性能不同可能与L-赖氨酸、L-2-氨基己二酸-6-半醛等的生物合成和利用有关。这些结果为扩大SW生产、人工构建低毒疯草及阐明疯草中SW生物合成途径奠定了基础。

https://cdn.ncbi.nlm.nih.gov/pmc/blobs/be1f/9505577/b8e1ba62176e/jof-08-00951-g001.jpg

文献AI研究员

20分钟写一篇综述,助力文献阅读效率提升50倍。

立即体验

用中文搜PubMed

大模型驱动的PubMed中文搜索引擎

马上搜索

文档翻译

学术文献翻译模型,支持多种主流文档格式。

立即体验