Suppr超能文献

多环芳烃(PAHs)暴露引发BALB/c小鼠炎症和内皮功能障碍:一项初步研究。

Polycyclic Aromatic Hydrocarbons (PAHs) Exposure Triggers Inflammation and Endothelial Dysfunction in BALB/c Mice: A Pilot Study.

作者信息

Rojas Gabriel A, Saavedra Nicolás, Saavedra Kathleen, Hevia Montserrat, Morales Cristian, Lanas Fernando, Salazar Luis A

机构信息

Center of Molecular Biology & Pharmacogenetics, Department of Basic Sciences, Scientific and Technological Bioresource Nucleus (BIOREN), Universidad de La Frontera, Temuco 4811230, Chile.

Faculty of Health, School of Kinesiology, Universidad Santo Tomás, Valdivia 5090000, Chile.

出版信息

Toxics. 2022 Aug 27;10(9):497. doi: 10.3390/toxics10090497.

Abstract

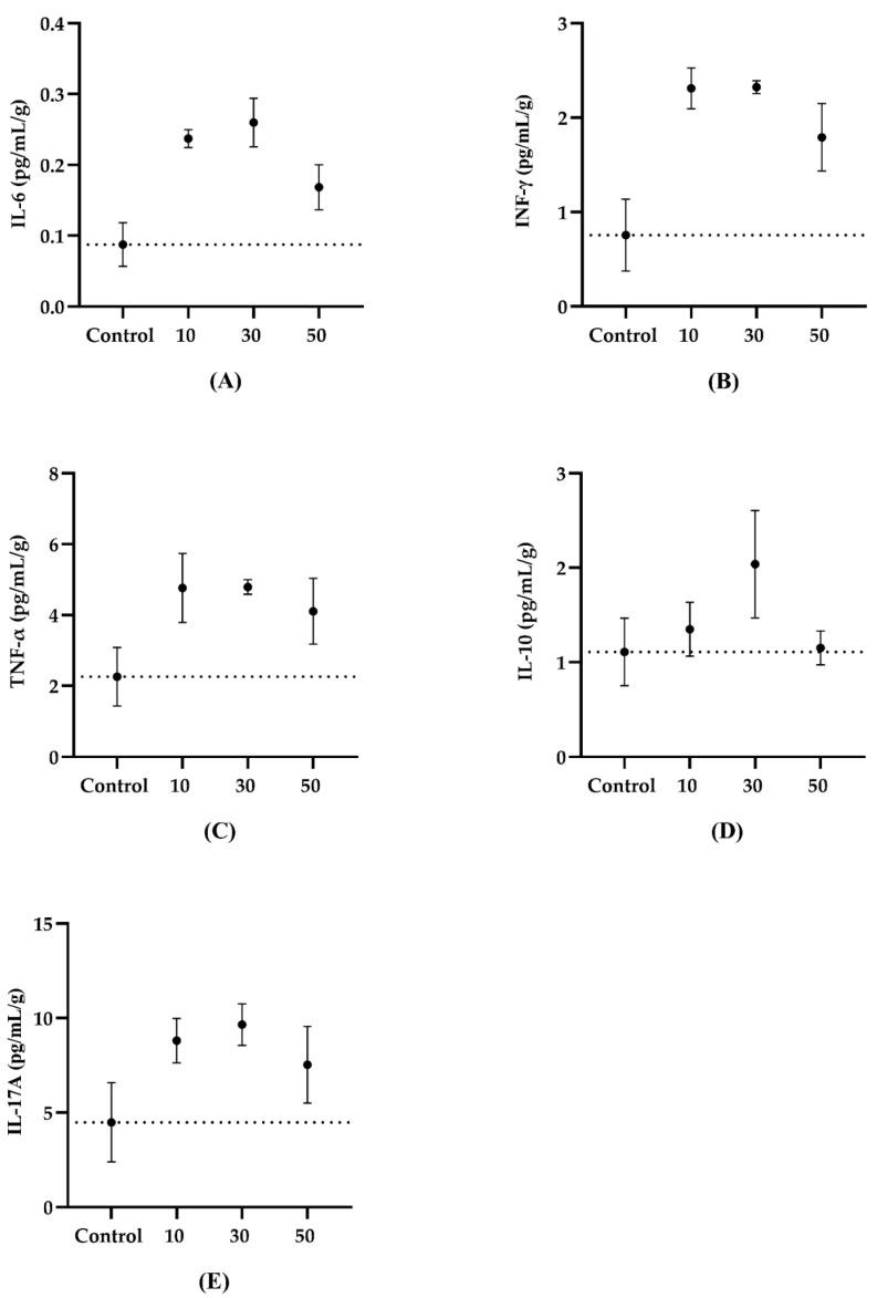
The particulate matter present in air pollution is a complex mixture of solid and liquid particles that vary in size, origin, and composition, among which are polycyclic aromatic hydrocarbons (PAHs). Although exposure to PAHs has become an important risk factor for cardiovascular disease, the mechanisms by which these compounds contribute to increased cardiovascular risk have not been fully explored. The aim of the present study was to evaluate the effects of PAH exposure on systemic pro-inflammatory cytokines and markers of endothelial dysfunction. An intervention was designed using a murine model composed of twenty BALB/c male mice separated into controls and three groups exposed to a mixture of phenanthrene, fluoranthene, and pyrene using three different concentrations. The serum levels of the inflammatory cytokines and gene expression of adhesion molecules located on endothelial cells along with inflammatory markers related to PAH exposure in aortic tissue were determined. Furthermore, the expression of the ICAM-1 and VCAM-1 proteins was evaluated. The data showed significant differences in IL-6 and IFN-γ in the serum. In the gene expression, significant differences for ICAM-1, VCAM-1, and E-Selectin were observed. The results suggest that phenanthrene, fluoranthene, and pyrene, present in air pollution, stimulate the increase in serum inflammatory cytokines and the expression of markers of endothelial dysfunction in the murine model studied, both relevant characteristics associated with the onset of disease atherosclerosis and cardiovascular disease.

摘要

空气污染中存在的颗粒物是固体和液体颗粒的复杂混合物,其大小、来源和成分各不相同,其中包括多环芳烃(PAHs)。尽管接触多环芳烃已成为心血管疾病的重要危险因素,但这些化合物导致心血管风险增加的机制尚未得到充分探索。本研究的目的是评估多环芳烃暴露对全身促炎细胞因子和内皮功能障碍标志物的影响。采用一种小鼠模型进行干预,该模型由20只BALB/c雄性小鼠组成,分为对照组和三组,分别使用三种不同浓度的菲、荧蒽和芘混合物进行暴露。测定了炎症细胞因子的血清水平、内皮细胞上粘附分子的基因表达以及主动脉组织中与多环芳烃暴露相关的炎症标志物。此外,还评估了ICAM-1和VCAM-1蛋白的表达。数据显示血清中IL-6和IFN-γ存在显著差异。在基因表达方面,观察到ICAM-1、VCAM-1和E-选择素存在显著差异。结果表明,空气污染中存在的菲、荧蒽和芘会刺激所研究的小鼠模型中血清炎症细胞因子的增加以及内皮功能障碍标志物的表达,这两个特征均与动脉粥样硬化和心血管疾病的发病相关。

https://cdn.ncbi.nlm.nih.gov/pmc/blobs/414b/9504903/8d7cd0bb2f63/toxics-10-00497-g001.jpg

文献AI研究员

20分钟写一篇综述,助力文献阅读效率提升50倍。

立即体验

用中文搜PubMed

大模型驱动的PubMed中文搜索引擎

马上搜索

文档翻译

学术文献翻译模型,支持多种主流文档格式。

立即体验