Bao Jiahui, Peng Xiaoqiang, Hu Hao, Lai Tao
College of Intelligence Science and Technology, National University of Defense Technology, 109 Deya Road, Changsha 410073, China.
Hunan Key Laboratory of Ultra-Precision Machining Technology, Changsha 410073, China.
Micromachines (Basel). 2022 Aug 28;13(9):1421. doi: 10.3390/mi13091421.
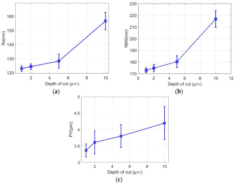
The grinding method is used as the preliminary processing procedure for small aperture aspheric mirrors. Regular grinding marks produced in the grinding process significantly affect the mid-spatial frequency error; however, because of their small radius of surface curvatures and high steepness, they are difficult to polish using traditional methods. Therefore, in this study, the ultra-precision grinding and polishing process of fused quartz material was investigated, and the influence of grinding marks was analyzed, which achieved the purpose of restraining the grinding marks in the grinding process. The generation mechanisms of horizontal and vertical grinding marks were analyzed by means of simulation and experiment, and the relationship between different grinding process parameters and surface quality was explored. A magnetorheological finishing (MRF) spot method was used to explore the effects of grinding marks on subsurface damage (SSD). The elastic adaptive polishing method was used to polish an aspheric lens with high steepness and small caliber. Based on the principle of an elastic adaptive polishing mathematical model, the grinding marks were suppressed, and the mid-spatial frequency error of the lens was reduced by optimizing the polishing path and composition of the polishing fluid. The final roughness reached 10 nm . In this paper, the source of wear marks and their influence on the mid-spatial frequency error of small aperture aspheric mirrors are analyzed, and the grinding marks were suppressed by elastic adaptive polishing.