Suppr超能文献

基于二氧化硅的负载型离子液体相作为多相催化剂。

Silica-Based Supported Ionic Liquid-like Phases as Heterogeneous Catalysts.

机构信息

Department of Chemical Organic Technology and Petrochemistry, Faculty of Chemistry, Silesian University of Technology, Krzywoustego 4, 44-100 Gliwice, Poland.

出版信息

Molecules. 2022 Sep 11;27(18):5900. doi: 10.3390/molecules27185900.

Abstract

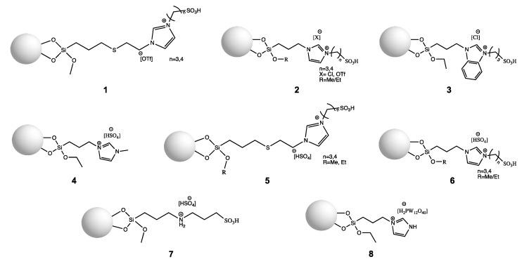
Supported ionic liquid phases offer several advantages related with catalysis. Immobilization of ionic liquid on the solid support provides catalytic activity or efficient matrix for active phases, as enzymes or metal compounds. Ionic liquid can be physically adsorbed on the carrier (supported ionic liquid phase) or chemically grafted to the material surface (supported ionic liquid-like phase). The use of supported ionic liquid phases improves mass transport, reduces ionic amount in the process and, most importantly, enables effortless catalyst separation and recycling. Moreover, chemical modification of the surface material with ionic liquid prevents its leaching, enhancing length of catalyst life. Silica-based materials have become an effective and powerful matrix for supported ionic liquid-like phase due to its cost-efficiency, presence of hydroxyl groups on the surface enabling its functionalization, and specific material properties, such as the size and shapes of the pores. For these reasons, supported ionic liquid-like phase silica-based materials are successfully used in the organic catalysis.

摘要

负载型离子液体相在催化方面具有多种优势。将离子液体固定在固体载体上可以为酶或金属化合物等活性相提供催化活性或有效的基质。离子液体可以物理吸附在载体上(负载型离子液体相),也可以化学接枝到材料表面上(负载型类离子液体相)。使用负载型离子液体相可以改善传质,减少过程中的离子用量,最重要的是,可以实现催化剂的轻松分离和回收。此外,用离子液体对表面材料进行化学修饰可以防止其浸出,从而延长催化剂的使用寿命。基于二氧化硅的材料由于其成本效益高、表面存在羟基使其能够进行功能化,以及特定的材料性质,如孔的大小和形状,已成为负载型类离子液体相的有效且强大的基质。基于这些原因,负载型类离子液体相二氧化硅基材料在有机催化中得到了成功的应用。

https://cdn.ncbi.nlm.nih.gov/pmc/blobs/1593/9500683/d96c07aec687/molecules-27-05900-g001.jpg

文献AI研究员

20分钟写一篇综述,助力文献阅读效率提升50倍。

立即体验

用中文搜PubMed

大模型驱动的PubMed中文搜索引擎

马上搜索

文档翻译

学术文献翻译模型,支持多种主流文档格式。

立即体验