Suppr超能文献

形式脱氢酶模拟物作为二氧化碳还原的催化剂。

Formate Dehydrogenase Mimics as Catalysts for Carbon Dioxide Reduction.

机构信息

Laboratoire de Chimie des Processus Biologiques, UMR 8229 CNRS, Collège de France, Paris Sorbonne University, 11 Place Marcelin Berthelot, CEDEX 05, 75231 Paris, France.

出版信息

Molecules. 2022 Sep 14;27(18):5989. doi: 10.3390/molecules27185989.

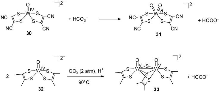
Abstract

Formate dehydrogenases (FDH) reversibly catalyze the interconversion of CO to formate. They belong to the family of molybdenum and tungsten-dependent oxidoreductases. For several decades, scientists have been synthesizing structural and functional model complexes inspired by these enzymes. These studies not only allow for finding certain efficient catalysts but also in some cases to better understand the functioning of the enzymes. However, FDH models for catalytic CO reduction are less studied compared to the oxygen atom transfer (OAT) reaction. Herein, we present recent results of structural and functional models of FDH.

摘要

甲酸盐脱氢酶(FDH)可催化 CO 可逆转化为甲酸盐。它们属于钼和钨依赖的氧化还原酶家族。几十年来,科学家们一直在合成受这些酶启发的结构和功能模型配合物。这些研究不仅可以找到某些高效的催化剂,而且在某些情况下还可以更好地了解酶的功能。然而,与氧原子转移(OAT)反应相比,用于催化 CO 还原的 FDH 模型研究较少。在此,我们介绍了 FDH 结构和功能模型的最新研究结果。

https://cdn.ncbi.nlm.nih.gov/pmc/blobs/b739/9506188/39cfd86703da/molecules-27-05989-g001.jpg

文献AI研究员

20分钟写一篇综述,助力文献阅读效率提升50倍。

立即体验

用中文搜PubMed

大模型驱动的PubMed中文搜索引擎

马上搜索

文档翻译

学术文献翻译模型,支持多种主流文档格式。

立即体验