School of Biological Sciences, University of Bristol, Bristol, UK.
Bristol Palaeobiology Group, School of Earth Sciences, University of Bristol, Bristol, UK.
Nat Ecol Evol. 2022 Nov;6(11):1634-1643. doi: 10.1038/s41559-022-01885-x. Epub 2022 Sep 29.
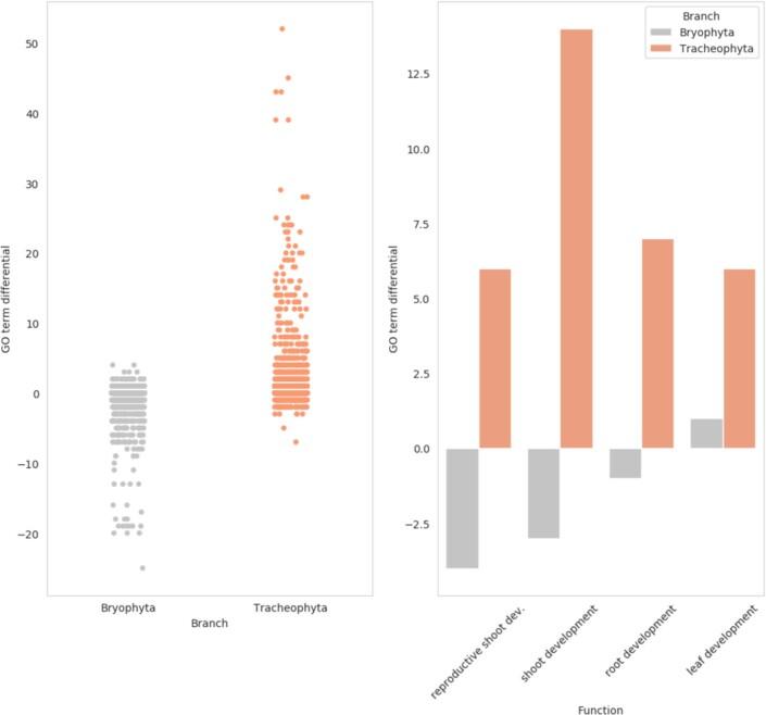
The origin of plants and their colonization of land fundamentally transformed the terrestrial environment. Here we elucidate the basis of this formative episode in Earth history through patterns of lineage, gene and genome evolution. We use new fossil calibrations, a relative clade age calibration (informed by horizontal gene transfer) and new phylogenomic methods for mapping gene family origins. Distinct rooting strategies resolve tracheophytes (vascular plants) and bryophytes (non-vascular plants) as monophyletic sister groups that diverged during the Cambrian, 515-494 million years ago. The embryophyte stem is characterized by a burst of gene innovation, while bryophytes subsequently experienced an equally dramatic episode of reductive genome evolution in which they lost genes associated with the elaboration of vasculature and the stomatal complex. Overall, our analyses reveal that extant tracheophytes and bryophytes are both highly derived from a more complex ancestral land plant. Understanding the origin of land plants requires tracing character evolution across a diversity of modern lineages.
植物的起源及其对陆地的殖民从根本上改变了地球的环境。在这里,我们通过谱系、基因和基因组进化的模式阐明了地球历史上这一形成性事件的基础。我们使用新的化石校准、基于水平基因转移的相对进化枝年龄校准以及新的系统发生基因组学方法来绘制基因家族起源。不同的根系策略将维管植物(有胚植物)和苔藓植物(无胚植物)确定为具有姐妹群关系的单系群,它们在 5.15 亿至 4.94 亿年前的寒武纪就已经分化。胚胎植物的茎干以基因创新的爆发为特征,而苔藓植物随后经历了同样剧烈的基因组简化事件,失去了与维管束和气孔复合体的形成有关的基因。总的来说,我们的分析表明,现存的维管植物和苔藓植物都是从更复杂的祖先陆地植物高度衍生而来的。要了解陆地植物的起源,需要在各种现代谱系中追踪特征进化。