Suppr超能文献

利用人工智能方法解码肾细胞癌(RCC)亚型分子机制的mRNA和miRNA面板。

Panels of mRNAs and miRNAs for decoding molecular mechanisms of Renal Cell Carcinoma (RCC) subtypes utilizing Artificial Intelligence approaches.

作者信息

Hosseiniyan Khatibi Seyed Mahdi, Ardalan Mohammadreza, Teshnehlab Mohammad, Vahed Sepideh Zununi, Pirmoradi Saeed

机构信息

Clinical Research Development Unit of Tabriz Valiasr Hospital, Tabriz University of Medical Sciences, Tabriz, Iran.

Kidney Research Center, Tabriz University of Medical Sciences, Daneshgah Street, Tabriz, Postal Code 51665118, Iran.

出版信息

Sci Rep. 2022 Sep 30;12(1):16393. doi: 10.1038/s41598-022-20783-7.

Abstract

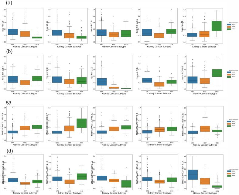
Renal Cell Carcinoma (RCC) encompasses three histological subtypes, including clear cell RCC (KIRC), papillary RCC (KIRP), and chromophobe RCC (KICH) each of which has different clinical courses, genetic/epigenetic drivers, and therapeutic responses. This study aimed to identify the significant mRNAs and microRNA panels involved in the pathogenesis of RCC subtypes. The mRNA and microRNA transcripts profile were obtained from The Cancer Genome Atlas (TCGA), which were included 611 ccRCC patients, 321 pRCC patients, and 89 chRCC patients for mRNA data and 616 patients in the ccRCC subtype, 326 patients in the pRCC subtype, and 91 patients in the chRCC for miRNA data, respectively. To identify mRNAs and miRNAs, feature selection based on filter and graph algorithms was applied. Then, a deep model was used to classify the subtypes of the RCC. Finally, an association rule mining algorithm was used to disclose features with significant roles to trigger molecular mechanisms to cause RCC subtypes. Panels of 77 mRNAs and 73 miRNAs could discriminate the KIRC, KIRP, and KICH subtypes from each other with 92% (F1-score ≥ 0.9, AUC ≥ 0.89) and 95% accuracy (F1-score ≥ 0.93, AUC ≥ 0.95), respectively. The Association Rule Mining analysis could identify miR-28 (repeat count = 2642) and CSN7A (repeat count = 5794) along with the miR-125a (repeat count = 2591) and NMD3 (repeat count = 2306) with the highest repeat counts, in the KIRC and KIRP rules, respectively. This study found new panels of mRNAs and miRNAs to distinguish among RCC subtypes, which were able to provide new insights into the underlying responsible mechanisms for the initiation and progression of KIRC and KIRP. The proposed mRNA and miRNA panels have a high potential to be as biomarkers of RCC subtypes and should be examined in future clinical studies.

摘要

肾细胞癌(RCC)包括三种组织学亚型,即透明细胞RCC(KIRC)、乳头状RCC(KIRP)和嫌色细胞RCC(KICH),每种亚型都有不同的临床病程、遗传/表观遗传驱动因素和治疗反应。本研究旨在确定参与RCC亚型发病机制的重要mRNA和微小RNA组。mRNA和微小RNA转录本谱来自癌症基因组图谱(TCGA),其中mRNA数据包含611例透明细胞RCC患者、321例乳头状RCC患者和89例嫌色细胞RCC患者,微小RNA数据分别包含616例透明细胞RCC亚型患者、326例乳头状RCC亚型患者和91例嫌色细胞RCC患者。为了识别mRNA和微小RNA,应用了基于过滤和图形算法的特征选择方法。然后,使用深度模型对RCC亚型进行分类。最后,使用关联规则挖掘算法来揭示在引发RCC亚型分子机制中起重要作用的特征。77个mRNA和73个微小RNA组能够分别以92%(F1分数≥0.9,AUC≥0.89)和95%的准确率(F1分数≥0.93,AUC≥0.95)区分KIRC、KIRP和KICH亚型。关联规则挖掘分析可以分别在KIRC和KIRP规则中识别出重复计数最高的miR-28(重复计数=2642)和CSN7A(重复计数=5794),以及miR-125a(重复计数=2591)和NMD3(重复计数=2306)。本研究发现了用于区分RCC亚型的新的mRNA和微小RNA组,这能够为KIRC和KIRP的发生和发展的潜在责任机制提供新的见解。所提出的mRNA和微小RNA组具有作为RCC亚型生物标志物的高潜力,应在未来的临床研究中进行检验。

https://cdn.ncbi.nlm.nih.gov/pmc/blobs/4796/9525704/7674bc9cecc1/41598_2022_20783_Fig1_HTML.jpg

文献AI研究员

20分钟写一篇综述,助力文献阅读效率提升50倍。

立即体验

用中文搜PubMed

大模型驱动的PubMed中文搜索引擎

马上搜索

文档翻译

学术文献翻译模型,支持多种主流文档格式。

立即体验