Suppr超能文献

对负向数字的选择信心降低。

Reduced choice-confidence in negative numerals.

机构信息

Department of Economics, Pontificia Universidad Javeriana, Bogotá, Colombia.

出版信息

PLoS One. 2022 Oct 3;17(10):e0272796. doi: 10.1371/journal.pone.0272796. eCollection 2022.

Abstract

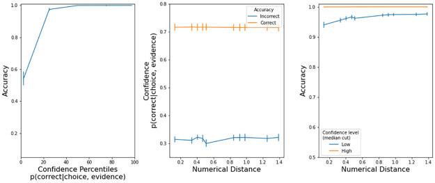
Negative numbers are central in math. However, they are abstract, hard to learn, and manipulated slower than positive numbers regardless of math ability. It suggests that confidence, namely the post-decision estimate of being correct, should be lower than positives. We asked participants to pick the larger single-digit numeral in a pair and collected their implicit confidence with button pressure (button pressure was validated with three empirical signatures of confidence). We also modeled their choices with a drift-diffusion decision model to compute the post-decision estimate of being correct. We found that participants had relatively low confidence with negative numerals. Given that participants compared with high accuracy the basic base-10 symbols (0-9), reduced confidence may be a general feature of manipulating abstract negative numerals as they produce more uncertainty than positive numerals per unit of time.

摘要

负数在数学中很重要。然而,无论数学能力如何,它们都是抽象的,难以学习,并且操作速度比正数慢。这表明,信心,即决策后的正确估计,应该低于正数。我们要求参与者在一对数字中选择较大的一位数字,并通过按钮压力收集他们的隐性信心(按钮压力通过信心的三个经验签名进行验证)。我们还使用漂移扩散决策模型对他们的选择进行建模,以计算正确决策后的估计。我们发现参与者对负数的信心相对较低。鉴于参与者能够高精度地比较基本的十进制符号(0-9),那么降低的信心可能是操作抽象负数的一般特征,因为它们每单位时间产生的不确定性比正数多。

https://cdn.ncbi.nlm.nih.gov/pmc/blobs/61d1/9529092/a47b7ea193fc/pone.0272796.g001.jpg

文献AI研究员

20分钟写一篇综述,助力文献阅读效率提升50倍。

立即体验

用中文搜PubMed

大模型驱动的PubMed中文搜索引擎

马上搜索

文档翻译

学术文献翻译模型,支持多种主流文档格式。

立即体验