Suppr超能文献

基于 CMIP6 地表气温的不同社会经济情景下地球三极的极地放大比较。

Polar amplification comparison among Earth's three poles under different socioeconomic scenarios from CMIP6 surface air temperature.

机构信息

State Key Laboratory of Cryospheric Sciences, Northwest Institute of Eco-Environment and Resources, Chinese Academy of Sciences, Lanzhou, China.

University of Chinese Academy of Sciences, Beijing, China.

出版信息

Sci Rep. 2022 Oct 3;12(1):16548. doi: 10.1038/s41598-022-21060-3.

Abstract

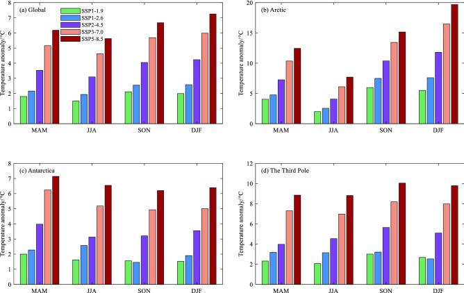
The polar amplification (PA) has become the focus of climate change. However, there are seldom comparisons of amplification among Earth's three poles of Arctic (latitude higher than 60 °N), Antarctica (Antarctic Ice Sheet) and the Third Pole (the High Mountain Asia with the elevation higher than 4000 m) under different socioeconomic scenarios. Based on CMIP6 multi-model ensemble, two types of PA index (PAI) have been defined to quantify the PA intensity and variations, and PAI1/PAI2 is defined as the ratio of the absolute value of surface air temperature linear trend over Earth's three poles and that for global mean/over other regions except Earth's three poles. Arctic warms fastest in winter and weakest in summer, followed by the Third Pole, and Antarctica warms least. The similar phenomenon proceeds when global warming of 1.5-2.0 °C, and 2.0-3.0 °C above pre-industrial levels. After removing the Earth's three poles self-influence, all the PAI2s increase much more obviously relative to the PAI1s, especially the Antarctic PAI. Earth's three poles warm faster than the other regions. With the forcing increasing, PA accelerates much more over Antarctica and the Third Pole, but becomes weaker over Arctic. This demonstrates that future warming rate might make a large difference among Earth's three poles under different scenarios.

摘要

极地放大(PA)已成为气候变化的焦点。然而,在不同社会经济情景下,地球的三个极区(北纬高于 60°)、南极洲(南极冰盖)和第三极(海拔高于 4000 米的高山亚洲)之间的放大现象很少被比较。基于 CMIP6 多模式集合,定义了两种 PA 指数(PAI)来量化 PA 的强度和变化,PAI1/PAI2 定义为地球三个极区的地表气温线性趋势的绝对值与全球平均气温/地球三个极区以外其他地区的比值。在 1.5-2.0°C 和 2.0-3.0°C 的全球变暖情景下,冬季北极变暖最快,夏季最弱,其次是第三极,而南极洲变暖最慢。当去除地球三个极区的自影响时,与 PAI1 相比,所有 PAI2 增加得更加明显,尤其是南极 PAI。地球三个极区比其他地区变暖更快。随着强迫的增加,南极和第三极的 PA 加速得更快,但北极的 PA 则变弱。这表明,在不同情景下,未来的变暖率可能会使地球三个极区之间产生很大的差异。

https://cdn.ncbi.nlm.nih.gov/pmc/blobs/4249/9529914/a0fb557976b4/41598_2022_21060_Fig1_HTML.jpg

文献AI研究员

20分钟写一篇综述,助力文献阅读效率提升50倍。

立即体验

用中文搜PubMed

大模型驱动的PubMed中文搜索引擎

马上搜索

文档翻译

学术文献翻译模型,支持多种主流文档格式。

立即体验