• 文献检索
  • 文档翻译
  • 深度研究
  • 学术资讯
  • Suppr Zotero 插件Zotero 插件
  • 邀请有礼
  • 套餐&价格
  • 历史记录
应用&插件
Suppr Zotero 插件Zotero 插件浏览器插件Mac 客户端Windows 客户端微信小程序
定价
高级版会员购买积分包购买API积分包
服务
文献检索文档翻译深度研究API 文档MCP 服务
关于我们
关于 Suppr公司介绍联系我们用户协议隐私条款
关注我们

Suppr 超能文献

核心技术专利:CN118964589B侵权必究
粤ICP备2023148730 号-1Suppr @ 2026

文献检索

告别复杂PubMed语法,用中文像聊天一样搜索,搜遍4000万医学文献。AI智能推荐,让科研检索更轻松。

立即免费搜索

文件翻译

保留排版,准确专业,支持PDF/Word/PPT等文件格式,支持 12+语言互译。

免费翻译文档

深度研究

AI帮你快速写综述,25分钟生成高质量综述,智能提取关键信息,辅助科研写作。

立即免费体验

基于症状的学龄前哮喘高危儿童筛查工具的研制。

Development of a Symptom-Based Tool for Screening of Children at High Risk of Preschool Asthma.

机构信息

Department of Pediatrics, The Hospital for Sick Children, Toronto, Ontario, Canada.

Dalla Lana School of Public Health, University of Toronto, Toronto, Ontario, Canada.

出版信息

JAMA Netw Open. 2022 Oct 3;5(10):e2234714. doi: 10.1001/jamanetworkopen.2022.34714.

DOI:10.1001/jamanetworkopen.2022.34714
PMID:36201211
原文链接:https://pmc.ncbi.nlm.nih.gov/articles/PMC9539714/
Abstract

IMPORTANCE

Despite advances in asthma therapeutics, the burden remains highest in preschool children; therefore, it is critical to identify primary care tools that distinguish preschool children at high risk for burdensome disease for further evaluation. Current asthma prediction tools, such as the modified Asthma Predictive Index (mAPI), require invasive tests, limiting their applicability in primary care and low-resource settings.

OBJECTIVE

To develop and evaluate the use of a symptom-based screening tool to detect children at high risk of asthma, persistent wheeze symptoms, and health care burden.

DESIGN, SETTING, AND PARTICIPANTS: The cohort for this diagnostic study included participants from the CHILD Study (n = 2511) from January 1, 2008, to December 31, 2012, the Raine Study from January 1, 1989, to December 31, 2012 (n = 2185), and the Canadian Asthma Primary Prevention Study (CAPPS) from January 1, 1989, to December 31, 1995 (n = 349), with active follow-up to date. Data analysis was performed from November 1, 2019, to May 31, 2022.

EXPOSURES

The CHILDhood Asthma Risk Tool (CHART) identified factors associated with asthma in patients at 3 years of age (timing and number of wheeze or cough episodes, use of asthma medications, and emergency department visits or hospitalizations for asthma or wheeze) to identify children with asthma or persistent symptoms at 5 years of age.

MAIN OUTCOMES AND MEASURES

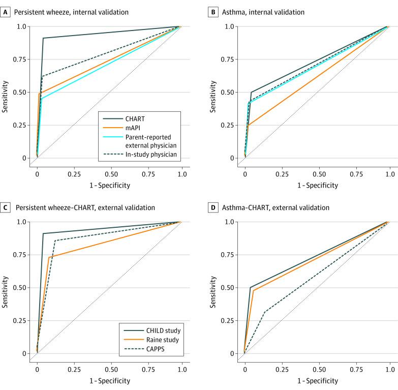
Within the CHILD Study cohort, CHART was evaluated against specialist clinician diagnosis and the mAPI. External validation was performed in both a general population cohort (Raine Study [Australia]) and a high-risk cohort (CAPPS [Canada]). Predictive accuracy was measured by sensitivity, specificity, area under the receiver operating characteristic curve (AUROC), and positive and negative predicted values.

RESULTS

Among 2511 children (mean [SD] age at 3-year clinic visit, 3.08 [0.17] years; 1324 [52.7%] male; 1608 of 2476 [64.9%] White) with sufficient questionnaire data to apply CHART at 3 years of age, 2354 (93.7%) had available outcome data at 5 years of age. CHART applied in the CHILD Study at 3 years of age outperformed physician assessments and the mAPI in predicting persistent wheeze (AUROC, 0.94; 95% CI, 0.90-0.97), asthma diagnosis (AUROC, 0.73; 95% CI, 0.69-0.77), and health care use (emergency department visits or hospitalization for wheeze or asthma) (AUROC, 0.70; 95% CI, 0.61-0.78). CHART had a similar predictive performance for persistent wheeze in the Raine Study (N = 2185) in children at 5 years of age (AUROC, 0.82; 95% CI, 0.79-0.86) and CAPPS (N = 349) at 7 years of age (AUROC, 0.87; 95% CI, 0.80-0.94).

CONCLUSIONS AND RELEVANCE

In this diagnostic study, CHART was able to identify children at high risk of asthma at as early as 3 years of age. CHART could be easily incorporated as a routine screening tool in primary care to identify children who need monitoring, timely symptom control, and introduction of preventive therapies.

摘要

重要性:尽管哮喘治疗取得了进展,但学龄前儿童的负担仍然最高;因此,确定可用于识别负担沉重疾病风险较高的学龄前儿童的初级保健工具至关重要,以便进一步评估。目前的哮喘预测工具,如改良哮喘预测指数 (mAPI),需要进行侵入性测试,限制了其在初级保健和资源匮乏环境中的适用性。

目的:开发并评估一种基于症状的筛查工具,以检测患有哮喘、持续性喘息症状和医疗负担高的儿童。

设计、地点和参与者:本诊断研究的队列纳入了 2008 年 1 月 1 日至 2012 年 12 月 31 日期间儿童研究 (n=2511)、2012 年 1 月 1 日至 2012 年 12 月 31 日期间的雷因研究 (n=2185) 和 1989 年 1 月 1 日至 1995 年 12 月 31 日期间的加拿大哮喘初级预防研究 (CAPPS) (n=349) 的参与者,目前仍在积极随访。数据分析于 2019 年 11 月 1 日至 2022 年 5 月 31 日进行。

暴露:在 3 岁时,儿童哮喘风险工具 (CHART) 确定了与哮喘相关的因素(喘息或咳嗽发作的时间和次数、哮喘药物的使用、因哮喘或喘息而就诊急诊或住院的次数),以识别出 5 岁时患有哮喘或持续性症状的儿童。

主要结果和措施:在儿童研究队列中,CHART 与专科临床医生的诊断和 mAPI 进行了评估。在澳大利亚雷因研究(一般人群队列)和加拿大 CAPPS(高风险队列)中进行了外部验证。通过敏感性、特异性、接受者操作特征曲线下面积 (AUROC)、阳性和阴性预测值来衡量预测准确性。

结果:在 2511 名(3 岁诊所就诊时的平均[标准差]年龄,3.08[0.17]岁;男性 1324 名[52.7%];2476 名中有 1608 名[64.9%]为白人)有足够问卷数据可在 3 岁时应用 CHART 的儿童中,有 2354 名(93.7%)在 5 岁时有可用的结局数据。在儿童研究中,3 岁时应用的 CHART 在预测持续性喘息 (AUROC,0.94;95%CI,0.90-0.97)、哮喘诊断 (AUROC,0.73;95%CI,0.69-0.77) 和医疗保健使用(因喘息或哮喘就诊急诊或住院)(AUROC,0.70;95%CI,0.61-0.78) 方面优于医生评估和 mAPI。CHART 在雷因研究(5 岁儿童,N=2185)和 CAPPS(7 岁儿童,N=349)中对持续性喘息的预测性能相似。

结论和相关性:在这项诊断研究中,CHART 能够在儿童 3 岁时识别出患有哮喘高风险的儿童。CHART 可以很容易地纳入初级保健作为常规筛查工具,以识别需要监测、及时控制症状和引入预防治疗的儿童。

https://cdn.ncbi.nlm.nih.gov/pmc/blobs/51c5/9539714/54fd1fdcb869/jamanetwopen-e2234714-g003.jpg
https://cdn.ncbi.nlm.nih.gov/pmc/blobs/51c5/9539714/5045db7dedab/jamanetwopen-e2234714-g001.jpg
https://cdn.ncbi.nlm.nih.gov/pmc/blobs/51c5/9539714/376d58476635/jamanetwopen-e2234714-g002.jpg
https://cdn.ncbi.nlm.nih.gov/pmc/blobs/51c5/9539714/54fd1fdcb869/jamanetwopen-e2234714-g003.jpg
https://cdn.ncbi.nlm.nih.gov/pmc/blobs/51c5/9539714/5045db7dedab/jamanetwopen-e2234714-g001.jpg
https://cdn.ncbi.nlm.nih.gov/pmc/blobs/51c5/9539714/376d58476635/jamanetwopen-e2234714-g002.jpg
https://cdn.ncbi.nlm.nih.gov/pmc/blobs/51c5/9539714/54fd1fdcb869/jamanetwopen-e2234714-g003.jpg

相似文献

1
Development of a Symptom-Based Tool for Screening of Children at High Risk of Preschool Asthma.基于症状的学龄前哮喘高危儿童筛查工具的研制。
JAMA Netw Open. 2022 Oct 3;5(10):e2234714. doi: 10.1001/jamanetworkopen.2022.34714.
2
A simple asthma prediction tool for preschool children with wheeze or cough.一种用于有喘息或咳嗽的学龄前儿童的简单哮喘预测工具。
J Allergy Clin Immunol. 2014 Jan;133(1):111-8.e1-13. doi: 10.1016/j.jaci.2013.06.002. Epub 2013 Jul 24.
3
External validation of the Predicting Asthma Risk in Children tool in a clinical cohort.预测儿童哮喘风险工具的临床队列外部验证。
Pediatr Pulmonol. 2022 Nov;57(11):2715-2723. doi: 10.1002/ppul.26088. Epub 2022 Aug 12.
4
Emergency management and asthma risk in young Medicaid-enrolled children with recurrent wheeze.患有反复喘息的年轻 Medicaid 参保儿童的紧急管理和哮喘风险。
J Asthma. 2024 Sep;61(9):951-958. doi: 10.1080/02770903.2024.2314623. Epub 2024 Feb 12.
5
Multiple Breath Washout for Diagnosing Asthma and Persistent Wheeze in Young Children.多口气呼吸法检测在婴幼儿哮喘和持续性喘息中的应用。
Ann Am Thorac Soc. 2019 May;16(5):599-605. doi: 10.1513/AnnalsATS.201807-503OC.
6
"To wheeze or not to wheeze": That is not the question.“是否喘息”:这不是问题。
J Allergy Clin Immunol. 2012 Aug;130(2):403-7.e5. doi: 10.1016/j.jaci.2012.04.043. Epub 2012 Jul 4.
7
Burden of preschool wheeze and progression to asthma in the UK: Population-based cohort 2007 to 2017.英国学龄前喘息负担及向哮喘进展:2007 年至 2017 年基于人群的队列研究。
J Allergy Clin Immunol. 2021 May;147(5):1949-1958. doi: 10.1016/j.jaci.2020.12.643. Epub 2021 Jan 13.
8
The novel 10-item asthma prediction tool: external validation in the German MAS birth cohort.新型10项哮喘预测工具:在德国MAS出生队列中的外部验证
PLoS One. 2014 Dec 23;9(12):e115852. doi: 10.1371/journal.pone.0115852. eCollection 2014.
9
Wheeze trajectories are modifiable through early-life intervention and predict asthma in adolescence.喘息轨迹可以通过生命早期干预来改变,并可预测青少年时期的哮喘。
Pediatr Allergy Immunol. 2018 Sep;29(6):612-621. doi: 10.1111/pai.12922. Epub 2018 Jun 19.
10
Predictors of asthma control differ from predictors of asthma attacks in children: The Swiss Paediatric Airway Cohort.儿童哮喘控制的预测因素与哮喘发作的预测因素不同:瑞士儿科气道队列研究。
Clin Exp Allergy. 2023 Nov;53(11):1177-1186. doi: 10.1111/cea.14390. Epub 2023 Sep 2.

引用本文的文献

1
From Fetus to Eight: the CHILD Cohort Study.从胎儿到八岁:儿童队列研究。
Am J Epidemiol. 2024 Oct 11. doi: 10.1093/aje/kwae397.
2
Artificial intelligence and wheezing in children: where are we now?人工智能与儿童喘息:我们目前的进展如何?
Front Med (Lausanne). 2024 Aug 27;11:1460050. doi: 10.3389/fmed.2024.1460050. eCollection 2024.
3
Human milk oligosaccharides are associated with maternal genetics and respiratory health of human milk-fed children.人乳寡糖与人乳喂养儿童的母体遗传学和呼吸健康有关。

本文引用的文献

1
Wheeze trajectories: Determinants and outcomes in the CHILD Cohort Study.喘息轨迹:CHILD 队列研究中的决定因素和结果。
J Allergy Clin Immunol. 2022 Jun;149(6):2153-2165. doi: 10.1016/j.jaci.2021.10.039. Epub 2021 Dec 30.
2
Prediction models for childhood asthma: A systematic review.儿童哮喘预测模型:系统评价。
Pediatr Allergy Immunol. 2020 Aug;31(6):616-627. doi: 10.1111/pai.13247. Epub 2020 Apr 13.
3
Development and Reporting of Prediction Models: Guidance for Authors From Editors of Respiratory, Sleep, and Critical Care Journals.
Nat Commun. 2024 Sep 4;15(1):7735. doi: 10.1038/s41467-024-51743-6.
4
Emergency management and asthma risk in young Medicaid-enrolled children with recurrent wheeze.患有反复喘息的年轻 Medicaid 参保儿童的紧急管理和哮喘风险。
J Asthma. 2024 Sep;61(9):951-958. doi: 10.1080/02770903.2024.2314623. Epub 2024 Feb 12.
5
Dysregulation of iron homeostasis in airways associated with persistent preschool wheezing.与持续性学龄前喘息相关的气道中铁稳态失调。
Respir Res. 2023 Jun 23;24(1):170. doi: 10.1186/s12931-023-02466-7.
预测模型的制定和报告:呼吸、睡眠和危重病期刊编辑给作者的指南。
Crit Care Med. 2020 May;48(5):623-633. doi: 10.1097/CCM.0000000000004246.
4
Predicting Asthma Using Clinical Indexes.使用临床指标预测哮喘
Front Pediatr. 2019 Jul 31;7:320. doi: 10.3389/fped.2019.00320. eCollection 2019.
5
Pediatric Asthma: A Global Epidemic.儿童哮喘:全球性流行病。
Ann Glob Health. 2019 Jan 22;85(1):6. doi: 10.5334/aogh.2416.
6
Validation of childhood asthma predictive tools: A systematic review.儿童哮喘预测工具的验证:系统评价。
Clin Exp Allergy. 2019 Apr;49(4):410-418. doi: 10.1111/cea.13336. Epub 2019 Feb 7.
7
A Pediatric Asthma Risk Score to better predict asthma development in young children.儿科哮喘风险评分,以更好地预测幼儿哮喘的发展。
J Allergy Clin Immunol. 2019 May;143(5):1803-1810.e2. doi: 10.1016/j.jaci.2018.09.037. Epub 2018 Dec 13.
8
The Simple 10-Item Predicting Asthma Risk in Children Tool to Predict Childhood Asthma-An External Validation.简单的 10 项儿童哮喘风险预测工具预测儿童哮喘-外部验证。
J Allergy Clin Immunol Pract. 2019 Mar;7(3):943-953.e4. doi: 10.1016/j.jaip.2018.09.032. Epub 2018 Oct 9.
9
The Burden of Pediatric Asthma.小儿哮喘的负担
Front Pediatr. 2018 Jun 22;6:186. doi: 10.3389/fped.2018.00186. eCollection 2018.
10
Asthma.哮喘。
Lancet. 2018 Feb 24;391(10122):783-800. doi: 10.1016/S0140-6736(17)33311-1. Epub 2017 Dec 19.