• 文献检索
  • 文档翻译
  • 深度研究
  • 学术资讯
  • Suppr Zotero 插件Zotero 插件
  • 邀请有礼
  • 套餐&价格
  • 历史记录
应用&插件
Suppr Zotero 插件Zotero 插件浏览器插件Mac 客户端Windows 客户端微信小程序
定价
高级版会员购买积分包购买API积分包
服务
文献检索文档翻译深度研究API 文档MCP 服务
关于我们
关于 Suppr公司介绍联系我们用户协议隐私条款
关注我们

Suppr 超能文献

核心技术专利:CN118964589B侵权必究
粤ICP备2023148730 号-1Suppr @ 2026

文献检索

告别复杂PubMed语法,用中文像聊天一样搜索,搜遍4000万医学文献。AI智能推荐,让科研检索更轻松。

立即免费搜索

文件翻译

保留排版,准确专业,支持PDF/Word/PPT等文件格式,支持 12+语言互译。

免费翻译文档

深度研究

AI帮你快速写综述,25分钟生成高质量综述,智能提取关键信息,辅助科研写作。

立即免费体验

一个新的非对称扩展家庭:特征与精算应用中的估计方法。

A new asymmetric extended family: Properties and estimation methods with actuarial applications.

机构信息

Department of Mathematics & Statistics, College of Science, Taif University, Taif, Saudi Arabia.

Department of Mathematics, College of Education, Misan University, Amarah, Iraq.

出版信息

PLoS One. 2022 Oct 6;17(10):e0275001. doi: 10.1371/journal.pone.0275001. eCollection 2022.

DOI:10.1371/journal.pone.0275001
PMID:36201437
原文链接:https://pmc.ncbi.nlm.nih.gov/articles/PMC9536648/
Abstract

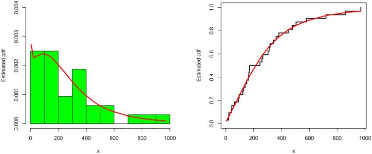
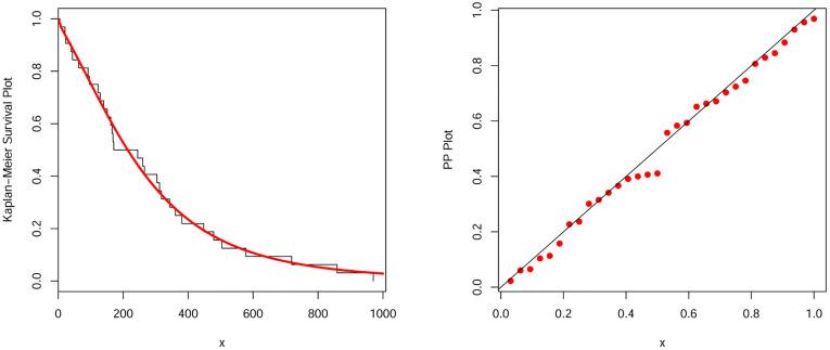
In the present work, a class of distributions, called new extended family of heavy-tailed distributions is introduced. The special sub-models of the introduced family provide unimodal, bimodal, symmetric, and asymmetric density shapes. A special sub-model of the new family, called the new extended heavy-tailed Weibull (NEHTW) distribution, is studied in more detail. The NEHTW parameters have been estimated via eight classical estimation procedures. The performance of these methods have been explored using detailed simulation results which have been ordered, using partial and overall ranks, to determine the best estimation method. Two important risk measures are derived for the NEHTW distribution. To prove the usefulness of the two actuarial measures in financial sciences, a simulation study is conducted. Finally, the flexibility and importance of the NEHTW model are illustrated empirically using two real-life insurance data sets. Based on our study, we observe that the NEHTW distribution may be a good candidate for modeling financial and actuarial sciences data.

摘要

在本工作中,引入了一类分布,称为新的广义长尾分布族。所引入族的特殊子模型提供了单峰、双峰、对称和不对称的密度形状。新家族的一个特殊子模型,称为新广义重尾 Weibull(NEHTW)分布,进行了更详细的研究。通过八种经典估计程序对 NEHTW 参数进行了估计。使用详细的模拟结果来探索这些方法的性能,这些结果按偏序和总序进行了排序,以确定最佳估计方法。为 NEHTW 分布导出了两个重要的风险度量。为了证明这两个精算度量在金融科学中的有用性,进行了模拟研究。最后,使用两个实际的保险数据集进行实证说明 NEHTW 模型的灵活性和重要性。根据我们的研究,我们观察到 NEHTW 分布可能是金融和精算科学数据建模的一个很好的候选。

https://cdn.ncbi.nlm.nih.gov/pmc/blobs/8af4/9536648/f396aefc6000/pone.0275001.g009.jpg
https://cdn.ncbi.nlm.nih.gov/pmc/blobs/8af4/9536648/ed4b022408c9/pone.0275001.g001.jpg
https://cdn.ncbi.nlm.nih.gov/pmc/blobs/8af4/9536648/18b9c0efea4b/pone.0275001.g002.jpg
https://cdn.ncbi.nlm.nih.gov/pmc/blobs/8af4/9536648/4f8bb03b177c/pone.0275001.g003.jpg
https://cdn.ncbi.nlm.nih.gov/pmc/blobs/8af4/9536648/e8e04ed60ca3/pone.0275001.g004.jpg
https://cdn.ncbi.nlm.nih.gov/pmc/blobs/8af4/9536648/e32b4737f6a5/pone.0275001.g005.jpg
https://cdn.ncbi.nlm.nih.gov/pmc/blobs/8af4/9536648/7054cfdc508d/pone.0275001.g006.jpg
https://cdn.ncbi.nlm.nih.gov/pmc/blobs/8af4/9536648/a767f9973896/pone.0275001.g007.jpg
https://cdn.ncbi.nlm.nih.gov/pmc/blobs/8af4/9536648/e74f7ae6cc77/pone.0275001.g008.jpg
https://cdn.ncbi.nlm.nih.gov/pmc/blobs/8af4/9536648/f396aefc6000/pone.0275001.g009.jpg
https://cdn.ncbi.nlm.nih.gov/pmc/blobs/8af4/9536648/ed4b022408c9/pone.0275001.g001.jpg
https://cdn.ncbi.nlm.nih.gov/pmc/blobs/8af4/9536648/18b9c0efea4b/pone.0275001.g002.jpg
https://cdn.ncbi.nlm.nih.gov/pmc/blobs/8af4/9536648/4f8bb03b177c/pone.0275001.g003.jpg
https://cdn.ncbi.nlm.nih.gov/pmc/blobs/8af4/9536648/e8e04ed60ca3/pone.0275001.g004.jpg
https://cdn.ncbi.nlm.nih.gov/pmc/blobs/8af4/9536648/e32b4737f6a5/pone.0275001.g005.jpg
https://cdn.ncbi.nlm.nih.gov/pmc/blobs/8af4/9536648/7054cfdc508d/pone.0275001.g006.jpg
https://cdn.ncbi.nlm.nih.gov/pmc/blobs/8af4/9536648/a767f9973896/pone.0275001.g007.jpg
https://cdn.ncbi.nlm.nih.gov/pmc/blobs/8af4/9536648/e74f7ae6cc77/pone.0275001.g008.jpg
https://cdn.ncbi.nlm.nih.gov/pmc/blobs/8af4/9536648/f396aefc6000/pone.0275001.g009.jpg

相似文献

1
A new asymmetric extended family: Properties and estimation methods with actuarial applications.一个新的非对称扩展家庭:特征与精算应用中的估计方法。
PLoS One. 2022 Oct 6;17(10):e0275001. doi: 10.1371/journal.pone.0275001. eCollection 2022.
2
Classical and Bayesian estimation for type-I extended-F family with an actuarial application.I 型扩展 F 家族的经典和贝叶斯估计及其在精算学中的应用。
PLoS One. 2023 Feb 2;18(2):e0275430. doi: 10.1371/journal.pone.0275430. eCollection 2023.
3
Type-I heavy tailed family with applications in medicine, engineering and insurance.I 型重尾族在医学、工程和保险中的应用。
PLoS One. 2020 Aug 27;15(8):e0237462. doi: 10.1371/journal.pone.0237462. eCollection 2020.
4
On Modeling the Earthquake Insurance Data via a New Member of the T- Family.基于 T 族新成员的地震保险数据建模
Comput Intell Neurosci. 2020 Sep 19;2020:7631495. doi: 10.1155/2020/7631495. eCollection 2020.
5
A New Extended- Family of Distributions: Properties and Applications.一种新的广义分布族:性质与应用。
Comput Math Methods Med. 2020 May 26;2020:4650520. doi: 10.1155/2020/4650520. eCollection 2020.
6
A family of Gamma-generated distributions: Statistical properties and applications.Gamma 分布族:统计性质与应用。
Stat Methods Med Res. 2021 Aug;30(8):1850-1873. doi: 10.1177/09622802211009262. Epub 2021 May 18.
7
A new generalized family of distributions based on combining Marshal-Olkin transformation with T-X family.基于马歇尔-奥尔金变换与 T-X 族相结合的新广义分布族。
PLoS One. 2022 Feb 9;17(2):e0263673. doi: 10.1371/journal.pone.0263673. eCollection 2022.
8
Classical and Bayesian inference of the weighted-exponential distribution with an application to insurance data.加权指数分布的经典推断和贝叶斯推断及其在保险数据中的应用。
Math Biosci Eng. 2022 Apr 26;19(7):6551-6581. doi: 10.3934/mbe.2022309.
9
A new power G-family of distributions: Properties, estimation, and applications.一种新的幂 G 族分布:性质、估计与应用。
PLoS One. 2024 Aug 5;19(8):e0308094. doi: 10.1371/journal.pone.0308094. eCollection 2024.
10
The Zero-Adjusted Log-Symmetric Distributions: Point and Intervalar Estimation.零调整对数对称分布:点和区间估计。
An Acad Bras Cienc. 2023 Jul 31;95(2):e20200841. doi: 10.1590/0001-3765202320200841. eCollection 2023.

引用本文的文献

1
Correction: A new asymmetric extended family: Properties and estimation methods with actuarial applications.更正:一个新的非对称扩展族:性质及精算应用中的估计方法
PLoS One. 2024 Dec 12;19(12):e0315953. doi: 10.1371/journal.pone.0315953. eCollection 2024.

本文引用的文献

1
A discrete analogue of odd Weibull-G family of distributions: properties, classical and Bayesian estimation with applications to count data.奇数威布尔 - G 分布族的离散类似物:性质、经典估计和贝叶斯估计及其在计数数据中的应用
J Appl Stat. 2021 May 24;49(11):2928-2952. doi: 10.1080/02664763.2021.1928018. eCollection 2022.
2
A new flexible generalized family for constructing many families of distributions.一种用于构建多个分布族的新型灵活广义族。
J Appl Stat. 2021 Jan 20;49(7):1615-1635. doi: 10.1080/02664763.2021.1874891. eCollection 2022.
3
Bayesian and Frequentist Inferences on a Type I Half-Logistic Odd Weibull Generator with Applications in Engineering.
关于I型半逻辑奇数威布尔发生器的贝叶斯和频率推断及其在工程中的应用
Entropy (Basel). 2021 Apr 10;23(4):446. doi: 10.3390/e23040446.