• 文献检索
  • 文档翻译
  • 深度研究
  • 学术资讯
  • Suppr Zotero 插件Zotero 插件
  • 邀请有礼
  • 套餐&价格
  • 历史记录
应用&插件
Suppr Zotero 插件Zotero 插件浏览器插件Mac 客户端Windows 客户端微信小程序
定价
高级版会员购买积分包购买API积分包
服务
文献检索文档翻译深度研究API 文档MCP 服务
关于我们
关于 Suppr公司介绍联系我们用户协议隐私条款
关注我们

Suppr 超能文献

核心技术专利:CN118964589B侵权必究
粤ICP备2023148730 号-1Suppr @ 2026

文献检索

告别复杂PubMed语法,用中文像聊天一样搜索,搜遍4000万医学文献。AI智能推荐,让科研检索更轻松。

立即免费搜索

文件翻译

保留排版,准确专业,支持PDF/Word/PPT等文件格式,支持 12+语言互译。

免费翻译文档

深度研究

AI帮你快速写综述,25分钟生成高质量综述,智能提取关键信息,辅助科研写作。

立即免费体验

糖基转移酶相关长链非编码RNA特征预测结肠腺癌的预后。

Glycosyltransferase-related long non-coding RNA signature predicts the prognosis of colon adenocarcinoma.

作者信息

Zhang Jiawei, Wu Yinan, Mu Jiayi, Xin Dijia, Wang Luyao, Fan Yili, Zhang Suzhan, Xu Yang

机构信息

Department of Hematology, The Second Affiliated Hospital, Zhejiang University School of Medicine, Hangzhou, China.

Zhejiang University Cancer Institute, Key Laboratory of Cancer Prevention and Intervention, China National Ministry of Education, The Second Affiliated Hospital, Zhejiang University School of Medicine, Hangzhou, China.

出版信息

Front Oncol. 2022 Sep 20;12:954226. doi: 10.3389/fonc.2022.954226. eCollection 2022.

DOI:10.3389/fonc.2022.954226
PMID:36203430
原文链接:https://pmc.ncbi.nlm.nih.gov/articles/PMC9530784/
Abstract

PURPOSE

Colon adenocarcinoma (COAD) is the most common type of colorectal cancer (CRC) and is associated with poor prognosis. Emerging evidence has demonstrated that glycosylation by long noncoding RNAs (lncRNAs) was associated with COAD progression. To date, however, the prognostic values of glycosyltransferase (GT)-related lncRNAs in COAD are still largely unknown.

METHODS

We obtained the expression matrix of mRNAs and lncRNAs in COAD from The Cancer Genome Atlas (TCGA) database. Then, the univariate Cox regression analysis was conducted to identify 33 prognostic GT-related lncRNAs. Subsequently, LASSO and multivariate Cox regression analysis were performed, and 7 of 33 GT-related lncRNAs were selected to conduct a risk model. Gene set enrichment analysis (GSEA) was used to analyze gene signaling pathway enrichment of the risk model. ImmuCellAI, an online tool for estimating the abundance of immune cells, and correlation analysis were used to explore the tumor-infiltrating immune cells in COAD. Finally, the expression levels of seven lncRNAs were detected in colorectal cancer cell lines by reverse transcription-quantitative polymerase chain reaction (RT-qPCR).

RESULTS

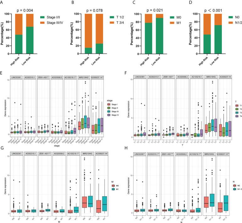
A total of 1,140 GT-related lncRNAs were identified, and 7 COAD-specific GT-related lncRNAs (LINC02381, MIR210HG, AC009237.14, AC105219.1, ZEB1-AS1, AC002310.1, and AC020558.2) were selected to conduct a risk model. Patients were divided into high- and low-risk groups based on the median of risk score. The prognosis of the high-risk group was worse than that of the low-risk group, indicating the good reliability and specificity of our risk model. Additionally, a nomogram based on the risk score and clinical traits was built to help clinical decisions. GSEA showed that the risk model was significantly enriched in metabolism-related pathways. Immune infiltration analysis revealed that five types of immune cells were significantly different between groups, and two types of immune cells were negatively correlated with the risk score. Besides, we found that the expression levels of these seven lncRNAs in tumor cells were significantly higher than those in normal cells, which verified the feasibility of the risk model.

CONCLUSION

The efficient risk model based on seven GT-related lncRNAs has prognostic potential for COAD, which may be novel biomarkers and therapeutic targets for COAD patients.

摘要

目的

结肠腺癌(COAD)是结直肠癌(CRC)最常见的类型,且预后较差。新出现的证据表明,长链非编码RNA(lncRNA)介导的糖基化与COAD进展相关。然而,迄今为止,糖基转移酶(GT)相关lncRNA在COAD中的预后价值仍 largely未知。

方法

我们从癌症基因组图谱(TCGA)数据库中获取了COAD中mRNA和lncRNA的表达矩阵。然后,进行单变量Cox回归分析以鉴定33个预后相关的GT lncRNA。随后,进行LASSO和多变量Cox回归分析,从33个GT相关lncRNA中选择7个构建风险模型。基因集富集分析(GSEA)用于分析风险模型的基因信号通路富集情况。使用ImmuCellAI(一种用于估计免疫细胞丰度的在线工具)和相关性分析来探索COAD中的肿瘤浸润免疫细胞。最后,通过逆转录定量聚合酶链反应(RT-qPCR)检测结肠癌细胞系中7种lncRNA的表达水平。

结果

共鉴定出1140个GT相关lncRNA,并选择7个COAD特异性GT相关lncRNA(LINC02381、MIR210HG、AC009237.14'、AC105219.1、ZEB1-AS1、AC002310.1和AC020558.2)构建风险模型。根据风险评分中位数将患者分为高风险组和低风险组。高风险组的预后比低风险组差,表明我们的风险模型具有良好的可靠性和特异性。此外,基于风险评分和临床特征构建了列线图以帮助临床决策。GSEA显示风险模型在代谢相关通路中显著富集。免疫浸润分析显示,两组之间五种免疫细胞存在显著差异,两种免疫细胞与风险评分呈负相关。此外,我们发现这7种lncRNA在肿瘤细胞中的表达水平显著高于正常细胞,这验证了风险模型的可行性。

结论

基于7个GT相关lncRNA的有效风险模型对COAD具有预后潜力,可能是COAD患者的新型生物标志物和治疗靶点。

https://cdn.ncbi.nlm.nih.gov/pmc/blobs/1623/9530784/255384b128ac/fonc-12-954226-g008.jpg
https://cdn.ncbi.nlm.nih.gov/pmc/blobs/1623/9530784/a088c2cf7b3c/fonc-12-954226-g001.jpg
https://cdn.ncbi.nlm.nih.gov/pmc/blobs/1623/9530784/d92b0f6fff6e/fonc-12-954226-g002.jpg
https://cdn.ncbi.nlm.nih.gov/pmc/blobs/1623/9530784/436a10818b4e/fonc-12-954226-g003.jpg
https://cdn.ncbi.nlm.nih.gov/pmc/blobs/1623/9530784/8ff3b2d34d9e/fonc-12-954226-g004.jpg
https://cdn.ncbi.nlm.nih.gov/pmc/blobs/1623/9530784/785b9f0cf884/fonc-12-954226-g005.jpg
https://cdn.ncbi.nlm.nih.gov/pmc/blobs/1623/9530784/a3d74c3bce8e/fonc-12-954226-g006.jpg
https://cdn.ncbi.nlm.nih.gov/pmc/blobs/1623/9530784/3158df7b7d8c/fonc-12-954226-g007.jpg
https://cdn.ncbi.nlm.nih.gov/pmc/blobs/1623/9530784/255384b128ac/fonc-12-954226-g008.jpg
https://cdn.ncbi.nlm.nih.gov/pmc/blobs/1623/9530784/a088c2cf7b3c/fonc-12-954226-g001.jpg
https://cdn.ncbi.nlm.nih.gov/pmc/blobs/1623/9530784/d92b0f6fff6e/fonc-12-954226-g002.jpg
https://cdn.ncbi.nlm.nih.gov/pmc/blobs/1623/9530784/436a10818b4e/fonc-12-954226-g003.jpg
https://cdn.ncbi.nlm.nih.gov/pmc/blobs/1623/9530784/8ff3b2d34d9e/fonc-12-954226-g004.jpg
https://cdn.ncbi.nlm.nih.gov/pmc/blobs/1623/9530784/785b9f0cf884/fonc-12-954226-g005.jpg
https://cdn.ncbi.nlm.nih.gov/pmc/blobs/1623/9530784/a3d74c3bce8e/fonc-12-954226-g006.jpg
https://cdn.ncbi.nlm.nih.gov/pmc/blobs/1623/9530784/3158df7b7d8c/fonc-12-954226-g007.jpg
https://cdn.ncbi.nlm.nih.gov/pmc/blobs/1623/9530784/255384b128ac/fonc-12-954226-g008.jpg

相似文献

1
Glycosyltransferase-related long non-coding RNA signature predicts the prognosis of colon adenocarcinoma.糖基转移酶相关长链非编码RNA特征预测结肠腺癌的预后。
Front Oncol. 2022 Sep 20;12:954226. doi: 10.3389/fonc.2022.954226. eCollection 2022.
2
The Interferon Gamma-Related Long Noncoding RNA Signature Predicts Prognosis and Indicates Immune Microenvironment Infiltration in Colon Adenocarcinoma.干扰素γ相关长链非编码RNA特征预测结肠癌预后并提示免疫微环境浸润
Front Oncol. 2022 Jun 7;12:876660. doi: 10.3389/fonc.2022.876660. eCollection 2022.
3
Potential Prognostic Value of a Seven m6A-Related LncRNAs Signature and the Correlative Immune Infiltration in Colon Adenocarcinoma.七种m6A相关长链非编码RNA特征在结肠腺癌中的潜在预后价值及相关免疫浸润
Front Genet. 2021 Dec 22;12:774010. doi: 10.3389/fgene.2021.774010. eCollection 2021.
4
An Intratumor Heterogeneity-Related Signature for Predicting Prognosis, Immune Landscape, and Chemotherapy Response in Colon Adenocarcinoma.一种用于预测结肠腺癌预后、免疫微环境和化疗反应的肿瘤内异质性相关特征
Front Med (Lausanne). 2022 Jul 7;9:925661. doi: 10.3389/fmed.2022.925661. eCollection 2022.
5
Identification of a glycolysis- and lactate-related gene signature for predicting prognosis, immune microenvironment, and drug candidates in colon adenocarcinoma.鉴定用于预测结肠腺癌预后、免疫微环境和候选药物的糖酵解和乳酸相关基因特征。
Front Cell Dev Biol. 2022 Aug 23;10:971992. doi: 10.3389/fcell.2022.971992. eCollection 2022.
6
Construction and validation of a cuproptosis-related lncRNA signature as a novel and robust prognostic model for colon adenocarcinoma.构建并验证一种与铜死亡相关的长链非编码RNA特征作为结肠癌的新型稳健预后模型。
Front Oncol. 2022 Jul 28;12:961213. doi: 10.3389/fonc.2022.961213. eCollection 2022.
7
Developing a RiskScore Model based on Angiogenesis-related lncRNAs for Colon Adenocarcinoma Prognostic Prediction.基于血管生成相关 lncRNAs 的结肠癌风险评分模型的建立及其预后预测价值
Curr Med Chem. 2024;31(17):2449-2466. doi: 10.2174/0109298673277243231108071620.
8
Establishment and validation of a prognostic model based on HRR-related lncRNAs in colon adenocarcinoma.基于 HRR 相关 lncRNAs 的结肠癌预后模型的建立与验证。
World J Surg Oncol. 2022 Mar 9;20(1):74. doi: 10.1186/s12957-022-02534-0.
9
N6-Methylandenosine-Related lncRNA Signature Is a Novel Biomarkers of Prognosis and Immune Response in Colon Adenocarcinoma Patients.N6-甲基腺苷相关长链非编码RNA特征是结肠癌患者预后和免疫反应的新型生物标志物。
Front Cell Dev Biol. 2021 Jul 15;9:703629. doi: 10.3389/fcell.2021.703629. eCollection 2021.
10
N7-methylguanosine-related lncRNAs: Distinction between hot and cold tumors and construction of predictive models in colon adenocarcinoma.N7-甲基鸟苷相关长链非编码RNA:结肠癌中冷热肿瘤的区分及预测模型的构建
Front Oncol. 2022 Sep 15;12:951452. doi: 10.3389/fonc.2022.951452. eCollection 2022.

引用本文的文献

1
Novel insights into lncRNAs as key regulators of post-translational modifications in cancer: mechanisms and therapeutic potential.长链非编码RNA作为癌症中翻译后修饰关键调节因子的新见解:机制与治疗潜力
Cell Oncol (Dordr). 2025 Jul 2. doi: 10.1007/s13402-025-01086-1.
2
Predictive Significance of Glycosyltransferase-Related lncRNAs in Endometrial Cancer: A Comprehensive Analysis and Experimental Validation.糖基转移酶相关长链非编码RNA在子宫内膜癌中的预测意义:综合分析与实验验证
ACS Omega. 2025 Feb 24;10(8):8023-8041. doi: 10.1021/acsomega.4c09071. eCollection 2025 Mar 4.
3
Integrative approach using network pharmacology, bioinformatics, and experimental methods to explore the mechanism of cantharidin in treating colorectal cancer.

本文引用的文献

1
Long noncoding RNA LINC01606 protects colon cancer cells from ferroptotic cell death and promotes stemness by SCD1-Wnt/β-catenin-TFE3 feedback loop signalling.长链非编码 RNA LINC01606 通过 SCD1-Wnt/β-catenin-TFE3 反馈回路信号促进结肠癌细胞干性来保护其免于铁死亡。
Clin Transl Med. 2022 Apr;12(4):e752. doi: 10.1002/ctm2.752.
2
Ag120-Mediated Inhibition of ASCT2-Dependent Glutamine Transport has an Anti-Tumor Effect on Colorectal Cancer Cells.Ag120介导的对ASCT2依赖性谷氨酰胺转运的抑制对结肠癌细胞具有抗肿瘤作用。
Front Pharmacol. 2022 Mar 28;13:871392. doi: 10.3389/fphar.2022.871392. eCollection 2022.
3
采用网络药理学、生物信息学和实验方法的综合方法探讨斑蝥素治疗结直肠癌的作用机制。
Naunyn Schmiedebergs Arch Pharmacol. 2024 Sep;397(9):6745-6761. doi: 10.1007/s00210-024-03041-7. Epub 2024 Mar 20.
4
Prediction of Prognosis and Chemotherapeutic Sensitivity Based on Cuproptosis-Associated lncRNAs in Cervical Squamous Cell Carcinoma and Endocervical Adenocarcinoma.基于铜死亡相关 lncRNAs 预测宫颈鳞癌和宫颈内膜腺癌的预后和化疗敏感性。
Genes (Basel). 2023 Jun 30;14(7):1381. doi: 10.3390/genes14071381.
Identification of Immune-Related lncRNA Pairs and Construction and Validation of a New Prognostic Signature of Colon Cancer.
鉴定免疫相关 lncRNA 对,并构建和验证结肠癌新的预后签名。
Can J Gastroenterol Hepatol. 2022 Mar 30;2022:5827544. doi: 10.1155/2022/5827544. eCollection 2022.
4
MIR210HG promotes breast cancer progression by IGF2BP1 mediated m6A modification.MIR210HG通过IGF2BP1介导的m6A修饰促进乳腺癌进展。
Cell Biosci. 2022 Mar 28;12(1):38. doi: 10.1186/s13578-022-00772-z.
5
Comprehensive Analysis of Immune Infiltrates of Ferroptosis-Related Long Noncoding RNA and Prediction of Colon Cancer Patient Prognoses.铁死亡相关长非编码 RNA 免疫浸润的综合分析及其对结肠癌患者预后的预测。
J Immunol Res. 2022 Feb 27;2022:9480628. doi: 10.1155/2022/9480628. eCollection 2022.
6
LncRNAs, the Molecules Involved in Communications With Colorectal Cancer Stem Cells.长链非编码RNA,参与与结直肠癌干细胞通讯的分子
Front Oncol. 2022 Jan 27;12:811374. doi: 10.3389/fonc.2022.811374. eCollection 2022.
7
Canonical TGFβ signaling induces collective invasion in colorectal carcinogenesis through a Snail1- and Zeb1-independent partial EMT.经典 TGFβ 信号通路通过一个与 Snail1 和 Zeb1 无关的部分 EMT 诱导结直肠肿瘤发生中的群体浸润。
Oncogene. 2022 Mar;41(10):1492-1506. doi: 10.1038/s41388-022-02190-4. Epub 2022 Jan 24.
8
Cancer statistics, 2022.癌症统计数据,2022 年。
CA Cancer J Clin. 2022 Jan;72(1):7-33. doi: 10.3322/caac.21708. Epub 2022 Jan 12.
9
A Prognostic Pyroptosis-Related lncRNAs Risk Model Correlates With the Immune Microenvironment in Colon Adenocarcinoma.一种与预后相关的焦亡相关长链非编码RNA风险模型与结肠腺癌免疫微环境相关
Front Cell Dev Biol. 2021 Dec 13;9:811734. doi: 10.3389/fcell.2021.811734. eCollection 2021.
10
The Relationship Between the Network of Non-coding RNAs-Molecular Targets and N6-Methyladenosine Modification in Colorectal Cancer.非编码RNA-分子靶点网络与结直肠癌中N6-甲基腺苷修饰之间的关系
Front Cell Dev Biol. 2021 Dec 6;9:772542. doi: 10.3389/fcell.2021.772542. eCollection 2021.