Suppr超能文献

不同侧小脑梗死患者脑结构网络拓扑属性的破坏与认知障碍有关。

Disrupted topological properties of the structural brain network in patients with cerebellar infarction on different sides are associated with cognitive impairment.

作者信息

Wang Duohao, Yao Qun, Lin Xingjian, Hu Jun, Shi Jingping

机构信息

Department of Neurology, Affiliated Brain Hospital of Nanjing Medical University, Nanjing, China.

Department of Radiology, Affiliated Brain Hospital of Nanjing Medical University, Nanjing, China.

出版信息

Front Neurol. 2022 Sep 20;13:982630. doi: 10.3389/fneur.2022.982630. eCollection 2022.

Abstract

PURPOSE

To explore changes in the brain structural network in patients with cerebellar infarction on different sides and their correlations with changes in cognitive function.

METHODS

Nineteen patients with acute left posterior cerebellar infarction and 18 patients with acute right posterior cerebellar infarction seen from July 2016 to September 2019 in the Department of Neurology, Affiliated Brain Hospital of Nanjing Medical University, were selected. A total of 27 healthy controls matched for sex, age, and years of education were recruited. The subjects underwent head diffusion magnetic resonance imaging examination and neuropsychological cognitive scale evaluation, and we analyzed changes in brain structural network properties in patients with cerebellar infarction and their correlation with changes in patients' cognitive function.

RESULTS

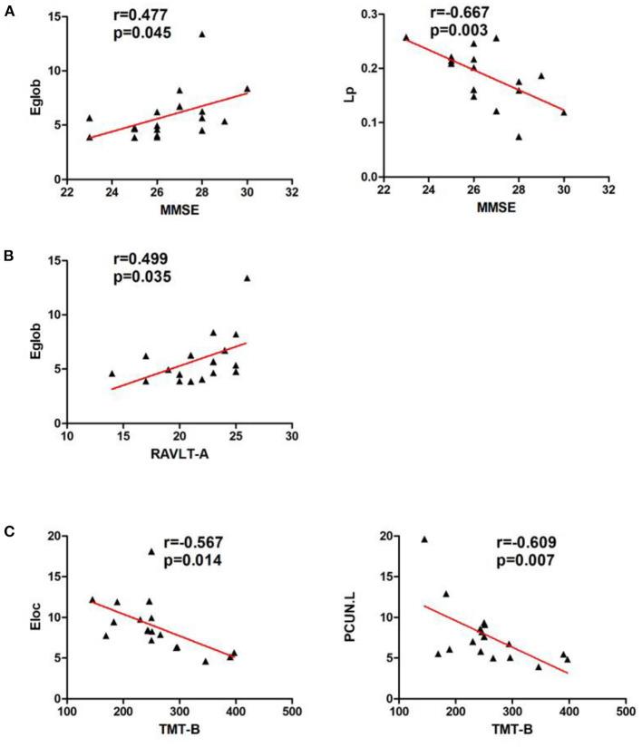
The Mini-Mental Status Examination (MMSE), Montreal Cognitive Assessment (MOCA) and the Rey auditory verbal learning test (RAVLT) scores in the left and right cerebellar infarction groups were significantly lower than those in the healthy control group ( < 0.05). In addition, the digit span test (DST) scores were lower in the left cerebellar infarction group ( < 0.05); the trail-making test (TMT) times in the right cerebellar infarction group were significantly higher than those in the left cerebellar infarction group ( < 0.05). Meanwhile, the left and right cerebellar infarction groups had abnormal brain topological properties, including clustering coefficient, shortest path length, global efficiency, local efficiency and nodal efficiency. After unilateral cerebellar infarction, bilateral cerebral nodal efficiency was abnormal. Correlation analysis showed that there was a close correlation between decreased processing speed in patients with left cerebellar infarction and decreased efficiency of right cerebral nodes ( < 0.05), and there was a close relationship between executive dysfunction and decreased efficiency of left cerebral nodes in patients with right cerebellar infarction ( < 0.05).

CONCLUSION

Patients with cerebellar infarction have cognitive impairment. Unilateral cerebellar infarction can reduce the network efficiency of key regions in the bilateral cerebral hemispheres, and these abnormal changes are closely related to patient cognitive impairment. The results of this study provide evidence for understanding the underlying neural mechanisms of cerebellar cognitive impairment and suggest that brain topological network properties may be markers of cerebellar cognitive impairment.

摘要

目的

探讨不同侧小脑梗死患者脑结构网络的变化及其与认知功能变化的相关性。

方法

选取2016年7月至2019年9月在南京医科大学附属脑科医院神经内科就诊的19例急性左后小脑梗死患者和18例急性右后小脑梗死患者。共招募27名性别、年龄和受教育年限匹配的健康对照者。受试者接受头部扩散磁共振成像检查和神经心理学认知量表评估,分析小脑梗死患者脑结构网络属性的变化及其与患者认知功能变化的相关性。

结果

左、右小脑梗死组的简易精神状态检查表(MMSE)、蒙特利尔认知评估量表(MOCA)和雷伊听觉词语学习测验(RAVLT)得分均显著低于健康对照组(P<0.05)。此外,左小脑梗死组的数字广度测验(DST)得分较低(P<0.05);右小脑梗死组的连线测验(TMT)时间显著高于左小脑梗死组(P<0.05)。同时,左、右小脑梗死组脑拓扑属性异常,包括聚类系数、最短路径长度、全局效率、局部效率和节点效率。单侧小脑梗死后,双侧大脑节点效率异常。相关性分析显示,左小脑梗死患者处理速度降低与右侧大脑节点效率降低密切相关(P<0.05),右小脑梗死患者执行功能障碍与左侧大脑节点效率降低密切相关(P<0.05)。

结论

小脑梗死患者存在认知障碍。单侧小脑梗死可降低双侧大脑半球关键区域的网络效率,这些异常变化与患者认知障碍密切相关。本研究结果为理解小脑认知障碍的潜在神经机制提供了证据,并提示脑拓扑网络属性可能是小脑认知障碍的标志物。

https://cdn.ncbi.nlm.nih.gov/pmc/blobs/1bb5/9530262/872b471309ea/fneur-13-982630-g0001.jpg

文献检索

告别复杂PubMed语法,用中文像聊天一样搜索,搜遍4000万医学文献。AI智能推荐,让科研检索更轻松。

立即免费搜索

文件翻译

保留排版,准确专业,支持PDF/Word/PPT等文件格式,支持 12+语言互译。

免费翻译文档

深度研究

AI帮你快速写综述,25分钟生成高质量综述,智能提取关键信息,辅助科研写作。

立即免费体验