Suppr超能文献

应用机器学习于患者报告结局以对医生得出的类风湿性关节炎疾病活动度测量指标进行分类。

Machine Learning Applied to Patient-Reported Outcomes to Classify Physician-Derived Measures of Rheumatoid Arthritis Disease Activity.

作者信息

Curtis Jeffrey R, Su Yujie, Black Shawn, Xu Stephen, Langholff Wayne, Bingham Clifton O, Kafka Shelly, Xie Fenglong

机构信息

University of Alabama at Birmingham.

Janssen Research & Development, LLC, Spring House, Pennsylvania.

出版信息

ACR Open Rheumatol. 2022 Dec;4(12):995-1003. doi: 10.1002/acr2.11499. Epub 2022 Oct 11.

Abstract

OBJECTIVE

Patient-reported outcome (PRO) data have assumed increasing importance in the care of patients with rheumatoid arthritis (RA), yet physician-derived disease activity measures, such as Clinical Disease Activity Index (CDAI), remain the most accepted metrics to assess disease activity. The possibility that newer longitudinal PRO data might be used as a proxy for the CDAI has not been evaluated.

METHODS

Using data from a large pragmatic trial, we evaluated patients with RA initiating golimumab intravenous or infliximab. The classification target was low disease activity (LDA) (CDAI ≤10) at the first visit between months 3 and 12. Data were randomly partitioned into training (80%) and test (20%) data sets. Multiple machine learning (ML) methods (eg, random forests, gradient boosting, support vector machines) were used to classify CDAI disease activity category, conduct feature selection, and assess feature importance. Model performance evaluated cross-validated error, comparing different ML approaches using both training and test data.

RESULTS

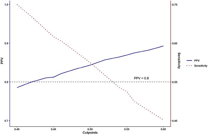
A total of 494 patients were analyzed, and 36.4% achieved LDA. The most important classification features included several Patient-Reported Outcomes Measurement Information System measures (social participation, pain interference, pain intensity, and physical function), patient global, and baseline CDAI. Among all ML methods, random forests performed best. Overall model accuracy and positive predictive values for all ML methods were approximately 80%.

CONCLUSION

ML methods coupled with longitudinal PRO data appear useful and can achieve reasonable accuracy in classifying LDA among patients starting a new biologic. This approach has promise for real-world evidence generation in the common circumstance when physician-derived disease activity data are not available yet PRO measures are.

摘要

目的

患者报告结局(PRO)数据在类风湿关节炎(RA)患者的治疗中日益重要,但医生得出的疾病活动度测量指标,如临床疾病活动指数(CDAI),仍是评估疾病活动度最被认可的指标。尚未评估更新的纵向PRO数据能否替代CDAI。

方法

利用一项大型实用试验的数据,我们评估了开始使用戈利木单抗静脉注射或英夫利昔单抗的RA患者。分类目标是在第3至12个月的首次就诊时达到低疾病活动度(LDA)(CDAI≤10)。数据被随机分为训练(80%)和测试(20%)数据集。使用多种机器学习(ML)方法(如随机森林、梯度提升、支持向量机)对CDAI疾病活动度类别进行分类、进行特征选择并评估特征重要性。模型性能通过交叉验证误差进行评估,使用训练和测试数据比较不同的ML方法。

结果

共分析了494例患者,36.4%达到LDA。最重要的分类特征包括几个患者报告结局测量信息系统指标(社会参与、疼痛干扰、疼痛强度和身体功能)、患者整体评估以及基线CDAI。在所有ML方法中,随机森林表现最佳。所有ML方法的总体模型准确率和阳性预测值约为80%。

结论

ML方法结合纵向PRO数据似乎有用,并且在对开始使用新生物制剂的患者的LDA进行分类时能够达到合理的准确率。在医生得出的疾病活动度数据不可用而PRO测量可用的常见情况下,这种方法有望生成真实世界证据。

https://cdn.ncbi.nlm.nih.gov/pmc/blobs/fd3b/9746663/2fa559de078f/ACR2-4-995-g003.jpg

文献检索

告别复杂PubMed语法,用中文像聊天一样搜索,搜遍4000万医学文献。AI智能推荐,让科研检索更轻松。

立即免费搜索

文件翻译

保留排版,准确专业,支持PDF/Word/PPT等文件格式,支持 12+语言互译。

免费翻译文档

深度研究

AI帮你快速写综述,25分钟生成高质量综述,智能提取关键信息,辅助科研写作。

立即免费体验