Suppr超能文献

腹腔镜手术治疗子宫内膜癌患者的预后和疗效:系统评价和荟萃分析。

Prognosis and Efficacy of Laparoscopic Surgery on Patients with Endometrial Carcinoma: Systematic Evaluation and Meta-Analysis.

机构信息

Department of Gynecology, Second Affiliated Hospital, Zhejiang University, School of Medicine, Hangzhou, Zhejiang 310009, China.

出版信息

Comput Math Methods Med. 2022 Sep 22;2022:9384134. doi: 10.1155/2022/9384134. eCollection 2022.

Abstract

OBJECTIVE

The prognosis and efficacy of laparoscopic surgery (LPS) and open surgery or robotic surgery (RS) on endometrial carcinoma (EC) patients were compared.

METHODS

Data as of May 2021 were retrieved from databases like PubMed, Embase, Cochrane Library, and Web of Science. The study involved randomized controlled trials (RCTs), cohort studies, or case-control studies for comparing the effects of LPS and open surgery or robotic surgery (RS) on EC treatment. The primary outcomes included duration of operation, blood loss, length of stay (LOS), postoperative complications, and recurrence rate. Secondary outcomes included 3-year progression-free survival (PFS) rate/disease-free survival (DFS) rate and 3-year overall survival (OS) rate.

RESULTS

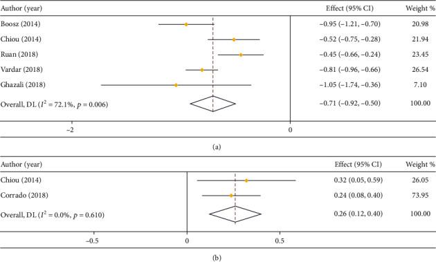
A total of 24 studies were involved, and all of them were cohort studies except 1 RCT and 1 case-control study. There was no significant difference in duration of operation between LPS and open surgery (MD = -0.06, 95% CI: -0.37 to 0.25) or RS (MD = -0.15, 95% CI: -1.27 to 0.96). In comparison with the open surgery, LPS remarkably reduced blood loss (MD = -0.43, 95% CI: -0.58 to -0.29), LOS (MD = -0.71, 95% CI: -0.92 to -0.50), and the complication occurrence rate (RR = 0.83, 95% CI: 0.73 to 0.95). However, LPS and RS saw no difference in blood loss (MD = 0.01, 95% CI: -0.77 to 0.79). Besides, in comparison with RS, LPS prominently shortened the LOS (MD = 0.26, 95% CI: 0.12 to 0.40) but increased the complication occurrence rate (RR = 1.74, 95% CI: 1.57 to 1.92). In contrast to open surgery or RS, LPS saw no difference in occurrence rate (RR = 0.75, 95% CI: 0.56 to 1.01; RR = 0.97, 95% CI: 0.62 to 1.53), 3-year PFS/DFS (RR = 0.99, 95% CI: 0.90 to 1.09; RR = 1.30, 95% CI: 0.87 to 1.96), and 3-year OS (RR = 0.97, 95% CI: 0.91 to 1.04; RR = 1.21, 95% CI: 0.91 to 1.60).

CONCLUSION

In sum, LPS was better than open surgery, which manifested in the aspects of less blood loss, shorter LOS, and fewer complications. LPS, therefore, was the most suitable option for EC patients. Nevertheless, LPS had no advantage over RS, and sufficient prospective RCTs are needed to further confirm its strengths.

摘要

目的

比较腹腔镜手术(LPS)与开腹手术或机器人手术(RS)治疗子宫内膜癌(EC)患者的预后和疗效。

方法

检索 PubMed、Embase、Cochrane 图书馆和 Web of Science 等数据库截至 2021 年 5 月的数据。研究纳入了 LPS 和开腹手术或 RS 治疗 EC 的随机对照试验(RCT)、队列研究或病例对照研究。主要结局包括手术持续时间、出血量、住院时间(LOS)、术后并发症和复发率。次要结局包括 3 年无进展生存率(PFS)/无病生存率(DFS)和 3 年总生存率(OS)。

结果

共纳入 24 项研究,除 1 项 RCT 和 1 项病例对照研究外,其余均为队列研究。LPS 与开腹手术(MD=-0.06,95%CI:-0.37 至 0.25)或 RS(MD=-0.15,95%CI:-1.27 至 0.96)的手术持续时间无显著差异。与开腹手术相比,LPS 显著减少了出血量(MD=-0.43,95%CI:-0.58 至-0.29)、LOS(MD=-0.71,95%CI:-0.92 至-0.50)和并发症发生率(RR=0.83,95%CI:0.73 至 0.95)。然而,LPS 和 RS 之间的出血量无差异(MD=0.01,95%CI:-0.77 至 0.79)。此外,与 RS 相比,LPS 明显缩短了 LOS(MD=0.26,95%CI:0.12 至 0.40),但增加了并发症发生率(RR=1.74,95%CI:1.57 至 1.92)。与开腹手术或 RS 相比,LPS 在发生率方面无差异(RR=0.75,95%CI:0.56 至 1.01;RR=0.97,95%CI:0.62 至 1.53)、3 年 PFS/DFS(RR=0.99,95%CI:0.90 至 1.09;RR=1.30,95%CI:0.87 至 1.96)和 3 年 OS(RR=0.97,95%CI:0.91 至 1.04;RR=1.21,95%CI:0.91 至 1.60)。

结论

总的来说,LPS 优于开腹手术,表现为出血量更少、LOS 更短、并发症更少。因此,LPS 是 EC 患者的最佳选择。然而,LPS 并不优于 RS,需要更多的前瞻性 RCT 来进一步证实其优势。

https://cdn.ncbi.nlm.nih.gov/pmc/blobs/d2a9/9553337/1390f800590f/CMMM2022-9384134.001.jpg

文献AI研究员

20分钟写一篇综述,助力文献阅读效率提升50倍。

立即体验

用中文搜PubMed

大模型驱动的PubMed中文搜索引擎

马上搜索

文档翻译

学术文献翻译模型,支持多种主流文档格式。

立即体验