Suppr超能文献

度普利尤单抗(度必特)治疗控制不佳的重度慢性鼻-鼻窦炎伴鼻息肉有效:德国一所大学附属医院单中心、回顾性、单臂纵向研究的真实数据。

Dupilumab (Dupixent) tends to be an effective therapy for uncontrolled severe chronic rhinosinusitis with nasal polyps: real data of a single-centered, retrospective single-arm longitudinal study from a university hospital in Germany.

机构信息

Department of Otorhinolaryngology, University Medical Center Hamburg-Eppendorf, Martinistraße 52, 20246, Hamburg, Germany.

Department of Otorhinolaryngology, Head and Neurocenter, University Medical Center Hamburg-Eppendorf, Martinistrasse 52, 20251, Hamburg, Germany.

出版信息

Eur Arch Otorhinolaryngol. 2023 Apr;280(4):1741-1755. doi: 10.1007/s00405-022-07679-y. Epub 2022 Oct 15.

Abstract

INTRODUCTION

Chronic rhinosinusitis with nasal polyps (CRSwNP) is an inflammatory disease, which is usually type 2-mediated in the western hemisphere, associated with severe therapeutic and socioeconomic challenges. The first targeted systemic treatment option for severe uncontrolled CRSwNP is a human monoclonal antibody against the interleukin-4 receptor α (IL-4Rα) subunit called dupilumab, which was approved for subcutaneous administration in Germany in October 2019. The purpose of this study is to investigate the efficacy of dupilumab in real life in patients treated with dupilumab in label according to license in our department in 2019-2021.

MATERIALS AND METHODS

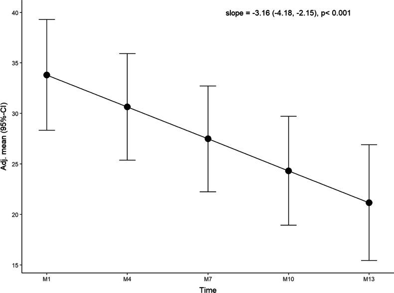
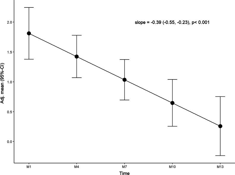
Since October 2019, we have investigated 40 patients (18 men, 22 women) treated with dupilumab in a single-center, retrospective single-arm longitudinal study. The following parameters were collected before treatment (baseline), at 1 month, 4 months, 7 months, 10 months, and 13 months: the Sino-Nasal Outcome Test-22 (SNOT-22), the forced expiratory pressure in 1 s (FEV-1), the olfactometry using Sniffin' Sticks-12 identification test (SSIT), a visual analog scale of the total complaints, the Nasal Polyp Score (NPS), histologic findings as well as total serum IgE, eosinophilic cationic protein in serum and blood eosinophils.

RESULTS

The average age was 52.7 years (± 15.3). The follow-up period was 13 months. The SNOT-22 average was 60 points (± 22.2) at the first visit, 28.2 points (± 17.1) after 4 months and 20.8 points (± 17.7) after 13 months. The NPS was 4.3 points (± 1.5), after 4 months 2.1 points (± 1.3) and after 13 months 1.4 points (± 1.1). Olfactometry showed 3.2 points (± 3.7) at the baseline, 7.0 points (± 4.0) after 4 months and 7.8 points (± 3.5) after 13 months. The other parameters also improved. Most parameters showed linear dependence in the slopes under therapy (p < 0.001). Adverse side effects were mostly only mild, and no rescue therapy was needed.

CONCLUSION

There is a clear improvement in the medical condition and symptoms in all categories mentioned under therapy with dupilumab, as well as a reduction in the need for systemic glucocorticoids and revision surgery as rescue treatment. Our results show that dupilumab tends to be an effective therapy alternative for severe CRSwNP.

摘要

简介

伴有鼻息肉的慢性鼻-鼻窦炎(CRSwNP)是一种炎症性疾病,在西半球通常为 2 型介导,与严重的治疗和社会经济挑战相关。首个针对严重未控制的 CRSwNP 的靶向全身治疗选择是一种针对白细胞介素-4 受体 α(IL-4Rα)亚基的人源单克隆抗体,称为度普利尤单抗,该药于 2019 年 10 月在德国获得皮下注射批准。本研究的目的是调查度普利尤单抗在我们科室于 2019-2021 年按照许可标签对接受度普利尤单抗治疗的患者的真实生活中的疗效。

材料和方法

自 2019 年 10 月以来,我们在一项单中心、回顾性、单臂纵向研究中调查了 40 名(18 名男性,22 名女性)接受度普利尤单抗治疗的患者。在治疗前(基线)、1 个月、4 个月、7 个月、10 个月和 13 个月时收集了以下参数:鼻-鼻窦炎生活质量调查问卷-22 项(SNOT-22)、第 1 秒用力呼气量(FEV-1)、使用嗅探棒-12 识别测试(SSIT)的嗅觉测试、总投诉的视觉模拟量表、鼻息肉评分(NPS)、组织学发现以及总血清 IgE、血清中嗜酸性阳离子蛋白和血嗜酸性粒细胞。

结果

平均年龄为 52.7 岁(±15.3)。随访期为 13 个月。首次就诊时 SNOT-22 平均为 60 分(±22.2),4 个月后为 28.2 分(±17.1),13 个月后为 20.8 分(±17.7)。NPS 为 4.3 分(±1.5),4 个月后为 2.1 分(±1.3),13 个月后为 1.4 分(±1.1)。嗅觉测试基线时为 3.2 分(±3.7),4 个月后为 7.0 分(±4.0),13 个月后为 7.8 分(±3.5)。其他参数也有所改善。大多数参数在治疗下的斜率都显示出线性依赖性(p<0.001)。不良反应大多仅为轻度,无需抢救治疗。

结论

在接受度普利尤单抗治疗的所有类别中,患者的病情和症状都有明显改善,同时也减少了对全身糖皮质激素和修复手术作为抢救治疗的需求。我们的结果表明,度普利尤单抗可能成为治疗严重 CRSwNP 的有效替代疗法。

https://cdn.ncbi.nlm.nih.gov/pmc/blobs/ed34/9988751/d37b605f7ac3/405_2022_7679_Fig1_HTML.jpg

文献AI研究员

20分钟写一篇综述,助力文献阅读效率提升50倍。

立即体验

用中文搜PubMed

大模型驱动的PubMed中文搜索引擎

马上搜索

文档翻译

学术文献翻译模型,支持多种主流文档格式。

立即体验