Suppr超能文献

肠内和肠外营养支持对老年慢性阻塞性肺疾病合并呼吸衰竭患者肺功能的影响。

Effect of Enteral and Parenteral Nutrition Support on Pulmonary Function in Elderly Patients with Chronic Obstructive Pulmonary Disease Complicated by Respiratory Failure.

机构信息

Department of Rehabilitation Medicine, Nanjing Mingzhou Rehabilitation Hospital, Nanjing, Jiangsu 210000, China.

Department of Respiratory Medicine, Affiliated Taikang Xianlin Drum Tower Hospital, Medical School of Nanjing University, Nanjing, Jiangsu 210000, China.

出版信息

Comput Math Methods Med. 2022 Oct 5;2022:4743070. doi: 10.1155/2022/4743070. eCollection 2022.

Abstract

OBJECTIVE

To investigate the effect of enteral and parenteral nutrition support (EPNS) on pulmonary function in elderly patients with chronic obstructive pulmonary disease (COPD) complicated by respiratory failure (RF).

METHODS

A total of 127 patients who underwent treatment for elderly patients with COPD complicated by RF in our hospital from February 2020 to May 2022 were collected for a retrospective analysis. There were 41 patients with enteral nutrition support (group A), 46 with parenteral nutrition support (group B), and 40 with EPNS (group C). The levels of serum albumin (ALB), prealbumin (PA), serum hemoglobin (Hb), and serum transferrin (TRF) were measured before and after nutritional support in the three groups, and the changes in pulmonary function of patients were compared. The changes in the levels of inflammatory factors and markers of oxidative stress (OS) in serum were also detected, and the incidence of adverse reactions and length of stay (LOS) were counted.

RESULTS

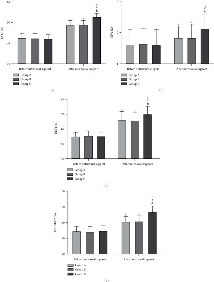
ALB, PA, Hb, and TRF levels were increased in all 3 groups after nutritional support, with the highest in group C ( < 0.05). Similarly, lung function was improved in all 3 groups and inflammatory factor levels and OS were suppressed, also most dramatically in group C ( < 0.05). There was no difference in the incidence of adverse reactions among the 3 groups, and the LOS in group C was shorter than those in groups A and B ( < 0.05).

CONCLUSION

EPNS can effectively improve the lung function of patients with COPD combined with RF and reduce the inflammation and OS damage. It can effectively improve the therapeutic effect of patients and has great application prospects in the treatment of COPD combined with RH in the future.

摘要

目的

探讨肠内和肠外营养支持(EPNS)对慢性阻塞性肺疾病(COPD)合并呼吸衰竭(RF)老年患者肺功能的影响。

方法

回顾性分析 2020 年 2 月至 2022 年 5 月我院收治的老年 COPD 合并 RF 患者 127 例,其中肠内营养支持 41 例(A 组)、肠外营养支持 46 例(B 组)、EPNS 40 例(C 组)。测定三组患者营养支持前后血清白蛋白(ALB)、前白蛋白(PA)、血清血红蛋白(Hb)、血清转铁蛋白(TRF)水平,并比较三组患者肺功能变化,检测血清中炎症因子及氧化应激(OS)标志物水平的变化,统计不良反应发生率及住院时间(LOS)。

结果

三组患者营养支持后 ALB、PA、Hb、TRF 水平均升高,C 组最高(<0.05)。三组患者肺功能均有改善,炎症因子水平及 OS 均受到抑制,C 组效果最显著(<0.05)。三组患者不良反应发生率无差异,C 组 LOS 短于 A、B 组(<0.05)。

结论

EPNS 能有效改善 COPD 合并 RF 患者的肺功能,减轻炎症及 OS 损伤,有效提高患者的治疗效果,在未来 COPD 合并 RH 的治疗中有很大的应用前景。

https://cdn.ncbi.nlm.nih.gov/pmc/blobs/511b/9556180/cce33a456429/CMMM2022-4743070.001.jpg

文献AI研究员

20分钟写一篇综述,助力文献阅读效率提升50倍。

立即体验

用中文搜PubMed

大模型驱动的PubMed中文搜索引擎

马上搜索

文档翻译

学术文献翻译模型,支持多种主流文档格式。

立即体验