• 文献检索
  • 文档翻译
  • 深度研究
  • 学术资讯
  • Suppr Zotero 插件Zotero 插件
  • 邀请有礼
  • 套餐&价格
  • 历史记录
应用&插件
Suppr Zotero 插件Zotero 插件浏览器插件Mac 客户端Windows 客户端微信小程序
定价
高级版会员购买积分包购买API积分包
服务
文献检索文档翻译深度研究API 文档MCP 服务
关于我们
关于 Suppr公司介绍联系我们用户协议隐私条款
关注我们

Suppr 超能文献

核心技术专利:CN118964589B侵权必究
粤ICP备2023148730 号-1Suppr @ 2026

文献检索

告别复杂PubMed语法,用中文像聊天一样搜索,搜遍4000万医学文献。AI智能推荐,让科研检索更轻松。

立即免费搜索

文件翻译

保留排版,准确专业,支持PDF/Word/PPT等文件格式,支持 12+语言互译。

免费翻译文档

深度研究

AI帮你快速写综述,25分钟生成高质量综述,智能提取关键信息,辅助科研写作。

立即免费体验

海滨雀稗不同生态型的耐受性和饲草品质评价

Evaluation of the tolerance and forage quality of different ecotypes of seashore paspalum.

作者信息

Jiang Kai, Yang Zhimin, Sun Juan, Liu Huancheng, Chen Shenmiao, Zhao Yongzhuo, Xiong Wangdan, Lu Wenjie, Wang Zeng-Yu, Wu Xueli

机构信息

College of Grassland Science, Qingdao Agricultural University, Qingdao, China.

College of Grassland Science, Nanjing Agricultural University, Nanjing, China.

出版信息

Front Plant Sci. 2022 Sep 29;13:944894. doi: 10.3389/fpls.2022.944894. eCollection 2022.

DOI:10.3389/fpls.2022.944894
PMID:36247632
原文链接:https://pmc.ncbi.nlm.nih.gov/articles/PMC9559843/
Abstract

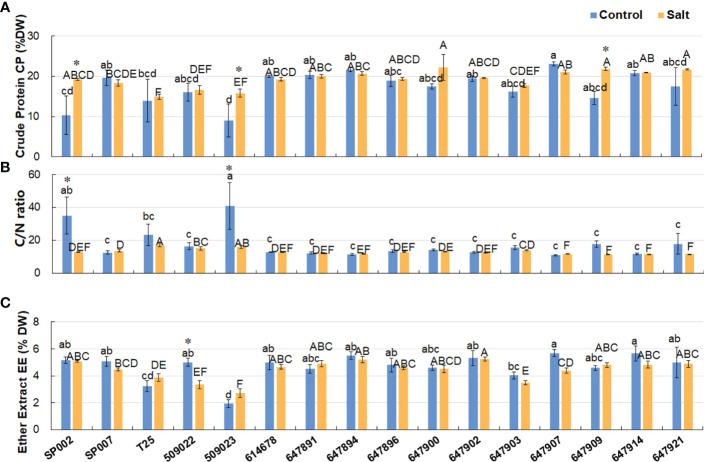
Seashore paspalum is a halophytic, warm-season grass with wide applications. It is noted for its superior salt tolerance in saline environments; however, the nutritive value of seashore paspalum and the effect of salinity remains to be determined. Therefore, this study aimed to evaluate the relationship between agronomic traits and forage quality and identified the effects of short-term high-salt stress (1 week, 700 mM NaCl) on the growth and forage nutritive value of 16 ecotypes of seashore paspalum. The salt and cold tolerances of the seashore paspalum ecotypes were assessed based on the survival rate following long-term high-salt stress (7 weeks, 700 mM NaCl) and exposure to natural low temperature stress. There were significant genetic (ecotype-specific) effects on plant height, leaf-stem ratio, and survival rate of seashore paspalum following salt or low temperature stress. Plant height was significantly negatively correlated with the leaf-stem ratio ( = -0.63, <0.01), but the heights and leaf-stem ratios were not significantly correlated with the fresh weight (FW) and dry weight (DW) of the shoots. High salinity decreased the FW and DW of the shoots by 50.6% and 23.6%, respectively, on average. Seashore paspalum exhibited outstanding salt tolerance and forage quality at high salinity. The survival rate of the different ecotypes of seashore paspalum varied from 6.5% to 49.0% following treatment with 700 mM NaCl for 7 weeks. The crude protein (CP) content of the control and treatment groups (700 mM NaCl) was 17.4% and 19.3%, respectively, of the DW on average, and the CP content of most ecotypes was not significantly influenced by high salinity. The average ether extract (EE) content ranged from 4.6% to 4.4% of the DW under control and saline conditions, respectively, indicating that the influence was not significant. The neutral detergent fiber (NDF) and acid detergent fiber (ADF) contents of the control group were 57.4% and 29.8%, respectively, of the DW on average. Salt stress reduced the content of NDF and ADF to 50.2% and 25.9%, respectively, of the DW on average. Altogether, the results demonstrated that stress did not have any significant effects on the CP and EE content of most ecotypes, but reduced the NDF and ADF content and improved relative feed value (RFV). The results obtained herein support the notion that seashore paspalum is a good candidate for improving the forage potential of saline soils and can provide useful guidelines for livestock producers.

摘要

海滨雀稗是一种盐生暖季型草,应用广泛。它以在盐渍环境中具有卓越的耐盐性而闻名;然而,海滨雀稗的营养价值以及盐分的影响仍有待确定。因此,本研究旨在评估农艺性状与饲草品质之间的关系,并确定短期高盐胁迫(1周,700 mM NaCl)对16个海滨雀稗生态型生长和饲草营养价值的影响。基于长期高盐胁迫(7周,700 mM NaCl)后的存活率以及自然低温胁迫下的存活率,对海滨雀稗生态型的耐盐性和耐寒性进行了评估。盐胁迫或低温胁迫后,海滨雀稗的株高、叶茎比和存活率存在显著的遗传(生态型特异性)效应。株高与叶茎比显著负相关(r = -0.63,P < 0.01),但株高和叶茎比与地上部鲜重(FW)和干重(DW)无显著相关性。高盐度使地上部FW和DW平均分别降低了50.6%和23.6%。海滨雀稗在高盐度下表现出优异的耐盐性和饲草品质。用700 mM NaCl处理7周后,不同海滨雀稗生态型的存活率在6.5%至49.0%之间。对照组和处理组(700 mM NaCl)的粗蛋白(CP)含量平均分别为DW的17.4%和19.3%,大多数生态型的CP含量不受高盐度的显著影响。对照组和盐处理条件下,平均乙醚提取物(EE)含量分别为DW的4.6%至4.4%,表明影响不显著。对照组中性洗涤纤维(NDF)和酸性洗涤纤维(ADF)含量平均分别为DW的57.4%和29.8%。盐胁迫使NDF和ADF含量平均分别降至DW的50.2%和25.9%。总体而言,结果表明胁迫对大多数生态型的CP和EE含量没有显著影响,但降低了NDF和ADF含量并提高了相对饲用价值(RFV)。本文获得的结果支持了海滨雀稗是提高盐渍土壤饲草潜力的良好候选植物这一观点,并可为畜牧生产者提供有用的指导。

https://cdn.ncbi.nlm.nih.gov/pmc/blobs/c39f/9559843/f65133be4b3b/fpls-13-944894-g008.jpg
https://cdn.ncbi.nlm.nih.gov/pmc/blobs/c39f/9559843/eaefc4ac2a43/fpls-13-944894-g001.jpg
https://cdn.ncbi.nlm.nih.gov/pmc/blobs/c39f/9559843/0f863d8fa1d7/fpls-13-944894-g002.jpg
https://cdn.ncbi.nlm.nih.gov/pmc/blobs/c39f/9559843/a914d5369537/fpls-13-944894-g003.jpg
https://cdn.ncbi.nlm.nih.gov/pmc/blobs/c39f/9559843/e97789e506b5/fpls-13-944894-g004.jpg
https://cdn.ncbi.nlm.nih.gov/pmc/blobs/c39f/9559843/c6bb105056cf/fpls-13-944894-g005.jpg
https://cdn.ncbi.nlm.nih.gov/pmc/blobs/c39f/9559843/80780e598da2/fpls-13-944894-g006.jpg
https://cdn.ncbi.nlm.nih.gov/pmc/blobs/c39f/9559843/396bba445415/fpls-13-944894-g007.jpg
https://cdn.ncbi.nlm.nih.gov/pmc/blobs/c39f/9559843/f65133be4b3b/fpls-13-944894-g008.jpg
https://cdn.ncbi.nlm.nih.gov/pmc/blobs/c39f/9559843/eaefc4ac2a43/fpls-13-944894-g001.jpg
https://cdn.ncbi.nlm.nih.gov/pmc/blobs/c39f/9559843/0f863d8fa1d7/fpls-13-944894-g002.jpg
https://cdn.ncbi.nlm.nih.gov/pmc/blobs/c39f/9559843/a914d5369537/fpls-13-944894-g003.jpg
https://cdn.ncbi.nlm.nih.gov/pmc/blobs/c39f/9559843/e97789e506b5/fpls-13-944894-g004.jpg
https://cdn.ncbi.nlm.nih.gov/pmc/blobs/c39f/9559843/c6bb105056cf/fpls-13-944894-g005.jpg
https://cdn.ncbi.nlm.nih.gov/pmc/blobs/c39f/9559843/80780e598da2/fpls-13-944894-g006.jpg
https://cdn.ncbi.nlm.nih.gov/pmc/blobs/c39f/9559843/396bba445415/fpls-13-944894-g007.jpg
https://cdn.ncbi.nlm.nih.gov/pmc/blobs/c39f/9559843/f65133be4b3b/fpls-13-944894-g008.jpg

相似文献

1
Evaluation of the tolerance and forage quality of different ecotypes of seashore paspalum.海滨雀稗不同生态型的耐受性和饲草品质评价
Front Plant Sci. 2022 Sep 29;13:944894. doi: 10.3389/fpls.2022.944894. eCollection 2022.
2
Comparative transcriptome profiling provides insights into plant salt tolerance in seashore paspalum (Paspalum vaginatum).比较转录组谱分析为海滨雀稗(Paspalum vaginatum)的植物耐盐性提供了新见解。
BMC Genomics. 2020 Feb 7;21(1):131. doi: 10.1186/s12864-020-6508-1.
3
Chloroplast-localized PvBASS2 regulates salt tolerance in the C4 plant seashore paspalum.定位于叶绿体的 PvBASS2 调控 C4 海滨雀稗的耐盐性。
Plant J. 2024 Sep;119(6):2782-2796. doi: 10.1111/tpj.16949. Epub 2024 Jul 26.
4
Identification of differentially expressed salt-responsive proteins in roots of two perennial grass species contrasting in salinity tolerance.鉴定两种耐盐性差异显著的多年生草本植物根中盐响应差异表达蛋白。
J Plant Physiol. 2012 Jan 15;169(2):117-26. doi: 10.1016/j.jplph.2011.08.019. Epub 2011 Nov 8.
5
Physiological responses and tolerance mechanisms of seashore paspalum and centipedegrass exposed to osmotic and iso-osmotic salt stresses.海滨雀稗和蜈蚣草在渗透和等渗盐胁迫下的生理响应和耐受机制。
J Plant Physiol. 2020 May;248:153154. doi: 10.1016/j.jplph.2020.153154. Epub 2020 Mar 18.
6
Overexpression of a NF-YC Gene Results in Enhanced Drought and Salt Tolerance in Transgenic Seashore Paspalum.NF-YC基因的过表达导致转基因海滨雀稗耐旱和耐盐性增强。
Front Plant Sci. 2018 Sep 21;9:1355. doi: 10.3389/fpls.2018.01355. eCollection 2018.
7
Lipid metabolism and antioxidant system contribute to salinity tolerance in halophytic grass seashore paspalum in a tissue-specific manner.脂质代谢和抗氧化系统以组织特异性方式有助于盐生草海滨雀稗的耐盐性。
BMC Plant Biol. 2023 Jun 24;23(1):337. doi: 10.1186/s12870-023-04358-w.
8
Overexpression of PvWAK3 from seashore paspalum increases salt tolerance in transgenic Arabidopsis via maintenance of ion and ROS homeostasis.海滨雀稗中PvWAK3的过表达通过维持离子和活性氧稳态提高转基因拟南芥的耐盐性。
Plant Physiol Biochem. 2024 Feb;207:108337. doi: 10.1016/j.plaphy.2024.108337. Epub 2024 Jan 4.
9
Up-regulation of lipid metabolism and glycine betaine synthesis are associated with choline-induced salt tolerance in halophytic seashore paspalum.在盐生海滨雀稗中,脂质代谢和甘氨酸甜菜碱合成的上调与胆碱诱导的耐盐性有关。
Plant Cell Environ. 2020 Jan;43(1):159-173. doi: 10.1111/pce.13657. Epub 2019 Oct 30.
10
Forage potential of several halophytic species grown on saline soil in arid environments.几种在干旱环境的盐渍土壤上生长的盐生植物的饲用潜力。
Environ Res. 2023 Feb 15;219:114954. doi: 10.1016/j.envres.2022.114954. Epub 2022 Dec 16.

引用本文的文献

1
Saline pasture improve meat quality in Qinghai Tibetan sheep through changes in the rumen microbiota.盐碱草地通过瘤胃微生物群的变化改善青海藏羊的肉质。
Front Microbiol. 2025 Aug 5;16:1573040. doi: 10.3389/fmicb.2025.1573040. eCollection 2025.
2
The diversity, dynamics, and culturability of bacterial and fungal communities present in warm-season pasture grass seeds.暖季型牧草种子中存在的细菌和真菌群落的多样性、动态变化及可培养性。
Front Microbiol. 2025 Jun 25;16:1621463. doi: 10.3389/fmicb.2025.1621463. eCollection 2025.
3
Genome-Wide Identification and Expression Analysis of Gene Family Members in Seashore Paspalum Under Salt Stress.

本文引用的文献

1
Exploring the future of land use and food security: A new set of global scenarios.探索土地利用和粮食安全的未来:一组新的全球设想方案。
PLoS One. 2020 Jul 8;15(7):e0235597. doi: 10.1371/journal.pone.0235597. eCollection 2020.
2
Comparative transcriptome profiling provides insights into plant salt tolerance in seashore paspalum (Paspalum vaginatum).比较转录组谱分析为海滨雀稗(Paspalum vaginatum)的植物耐盐性提供了新见解。
BMC Genomics. 2020 Feb 7;21(1):131. doi: 10.1186/s12864-020-6508-1.
3
Photosynthetic Regulation Under Salt Stress and Salt-Tolerance Mechanism of Sweet Sorghum.
盐胁迫下海滨雀稗基因家族成员的全基因组鉴定与表达分析
Plants (Basel). 2024 Dec 23;13(24):3595. doi: 10.3390/plants13243595.
4
Turfgrass Salinity Stress and Tolerance-A Review.草坪草盐胁迫与耐受性——综述
Plants (Basel). 2023 Feb 17;12(4):925. doi: 10.3390/plants12040925.
盐胁迫下甜高粱的光合调控及耐盐机制
Front Plant Sci. 2020 Jan 15;10:1722. doi: 10.3389/fpls.2019.01722. eCollection 2019.
4
Reproductive Systems in : Relevance for Germplasm Collection and Conservation, Breeding Techniques, and Adoption of Released Cultivars.生殖系统:与种质收集和保存、育种技术以及审定品种的推广应用的相关性
Front Plant Sci. 2019 Nov 21;10:1377. doi: 10.3389/fpls.2019.01377. eCollection 2019.
5
Exogenous L-Carnitine Promotes Plant Growth and Cell Division by Mitigating Genotoxic Damage of Salt Stress.外源性左旋肉碱通过减轻盐胁迫的遗传毒性损伤促进植物生长和细胞分裂。
Sci Rep. 2019 Nov 21;9(1):17229. doi: 10.1038/s41598-019-53542-2.
6
High Density Genetic Maps of Seashore Paspalum Using Genotyping-By-Sequencing and Their Relationship to The Sorghum Bicolor Genome.利用基因分型测序技术构建海滨雀稗高密度遗传图谱及其与高粱基因组的关系。
Sci Rep. 2019 Aug 21;9(1):12183. doi: 10.1038/s41598-019-48257-3.
7
Adversarial Examples: Attacks and Defenses for Deep Learning.对抗样本:深度学习的攻击与防御。
IEEE Trans Neural Netw Learn Syst. 2019 Sep;30(9):2805-2824. doi: 10.1109/TNNLS.2018.2886017. Epub 2019 Jan 14.
8
Silicon enhances the salt tolerance of cucumber through increasing polyamine accumulation and decreasing oxidative damage.硅通过增加多胺积累和减少氧化损伤来提高黄瓜的耐盐性。
Ecotoxicol Environ Saf. 2019 Mar;169:8-17. doi: 10.1016/j.ecoenv.2018.10.105. Epub 2018 Nov 6.
9
Overexpression of a NF-YC Gene Results in Enhanced Drought and Salt Tolerance in Transgenic Seashore Paspalum.NF-YC基因的过表达导致转基因海滨雀稗耐旱和耐盐性增强。
Front Plant Sci. 2018 Sep 21;9:1355. doi: 10.3389/fpls.2018.01355. eCollection 2018.
10
A global comparison of the nutritive values of forage plants grown in contrasting environments.在不同环境中生长的饲用植物营养价值的全球比较。
J Plant Res. 2018 Jul;131(4):641-654. doi: 10.1007/s10265-018-1024-y. Epub 2018 Mar 17.