Suppr超能文献

慢性肝病患者和肝移植受者的 COVID-19 疫苗免疫原性:一项荟萃分析。

COVID-19 vaccine immunogenicity among chronic liver disease patients and liver transplant recipients: A meta-analysis.

机构信息

Department of Medicine, Queen Mary Hospital, School of Clinical Medicine, The University of Hong Kong, Hong Kong.

Department of Medicine, The University of Hong Kong-Shenzhen Hospital, Shenzhen, China.

出版信息

Clin Mol Hepatol. 2022 Oct;28(4):890-911. doi: 10.3350/cmh.2022.0087. Epub 2022 Jun 3.

Abstract

BACKGROUND/AIMS: Data of coronavirus disease 2019 (COVID-19) vaccine immunogenicity among chronic liver disease (CLD) and liver transplant (LT) patients are conflicting. We performed meta-analysis to examine vaccine immunogenicity regarding etiology, cirrhosis status, vaccine platform and type of antibody.

METHODS

We collected data via three databases from inception to February 16, 2022, and reported pooled seroconversion rate, T cell response and safety data after two vaccine doses.

RESULTS

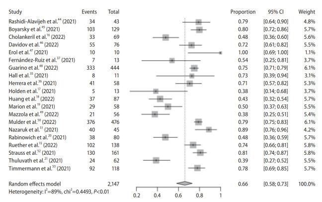
Twenty-eight (CLD only: 5; LT only: 18; both: 2; LT with third dose: 3) observational studies of 3,945 patients were included. For CLD patients, seroconversion rate ranged between 84% (95% confidence interval [CI], 76-90%) and 91% (95% CI, 83-95%), based predominantly on neutralizing antibody and anti-spike antibody, respectively. Seroconversion rate was 81% (95% CI, 76-86%) in chronic hepatitis B, 96% (95% CI, 93-97%) in non-alcoholic fatty liver disease, 85% (95% CI, 75-91%) in cirrhosis and 85% (95% CI, 78-90%) in non-cirrhosis, 86% (95% CI, 78-92%) for inactivated vaccine and 89% (95% CI, 71-96%) for mRNA vaccine. The pooled seroconversion rate of anti-spike antibody was 66% (95% CI, 55-75%) after two doses of mRNA vaccines and 88% (95% CI, 58-98%) after third dose among LT recipients. T cell response rate was 65% (95% CI, 30-89%). Prevalence of adverse events was 27% (95% CI, 18-38%) and 63% (95% CI, 39-82%) among CLD and LT groups, respectively.

CONCLUSION

CLD patients had good humoral response to COVID-19 vaccine, while LT recipients had lower response.

摘要

背景/目的:关于慢性肝病(CLD)和肝移植(LT)患者的 2019 年冠状病毒病(COVID-19)疫苗免疫原性的数据存在争议。我们进行了荟萃分析,以检查针对病因、肝硬化状态、疫苗平台和抗体类型的疫苗免疫原性。

方法

我们通过三个数据库从成立到 2022 年 2 月 16 日收集数据,并报告了两剂疫苗后的血清转化率、T 细胞反应和安全性数据。

结果

共纳入 28 项(仅 CLD:5 项;仅 LT:18 项;两者均有:2 项;LT 加第三剂:3 项)观察性研究的 3945 名患者。对于 CLD 患者,基于中和抗体和抗刺突抗体,血清转化率分别在 84%(95%置信区间[CI],76-90%)和 91%(95%CI,83-95%)之间。慢性乙型肝炎的血清转化率为 81%(95%CI,76-86%),非酒精性脂肪性肝病为 96%(95%CI,93-97%),肝硬化为 85%(95%CI,75-91%),非肝硬化为 85%(95%CI,78-90%),灭活疫苗为 86%(95%CI,78-92%),mRNA 疫苗为 89%(95%CI,71-96%)。LT 接受者两剂 mRNA 疫苗后抗刺突抗体的血清转化率为 66%(95%CI,55-75%),第三剂后为 88%(95%CI,58-98%)。T 细胞反应率为 65%(95%CI,30-89%)。CLD 和 LT 组不良事件的发生率分别为 27%(95%CI,18-38%)和 63%(95%CI,39-82%)。

结论

CLD 患者对 COVID-19 疫苗有良好的体液反应,而 LT 受者的反应较低。

https://cdn.ncbi.nlm.nih.gov/pmc/blobs/2d1e/9597217/e8f4fe1f57ff/cmh-2022-0087f1.jpg

文献AI研究员

20分钟写一篇综述,助力文献阅读效率提升50倍。

立即体验

用中文搜PubMed

大模型驱动的PubMed中文搜索引擎

马上搜索

文档翻译

学术文献翻译模型,支持多种主流文档格式。

立即体验