Suppr超能文献

多室扩散磁共振成像模型将健康老年人与工作记忆表现相关的脑区特征联系起来。

Multi-compartment diffusion magnetic resonance imaging models link tract-related characteristics with working memory performance in healthy older adults.

作者信息

Bauer Christopher E, Zachariou Valentinos, Maillard Pauline, Caprihan Arvind, Gold Brian T

机构信息

Department of Neuroscience, University of Kentucky, Lexington, KY, United States.

Department of Neurology, University of California at Davis, Davis, CA, United States.

出版信息

Front Aging Neurosci. 2022 Oct 5;14:995425. doi: 10.3389/fnagi.2022.995425. eCollection 2022.

Abstract

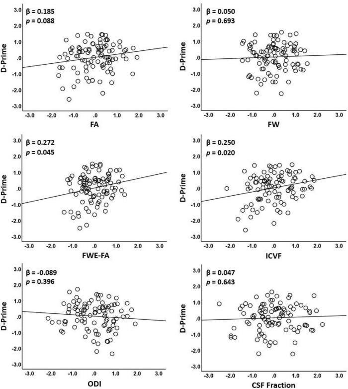
Multi-compartment diffusion MRI metrics [such as metrics from free water elimination diffusion tensor imaging (FWE-DTI) and neurite orientation dispersion and density imaging (NODDI)] may reflect more specific underlying white-matter tract characteristics than traditional, single-compartment metrics [i.e., metrics from Diffusion Tensor Imaging (DTI)]. However, it remains unclear if multi-compartment metrics are more closely associated with age and/or cognitive performance than single-compartment metrics. Here we compared the associations of single-compartment [Fractional Anisotropy (FA)] and multi-compartment diffusion MRI metrics [FWE-DTI metrics: Free Water Eliminated Fractional Anisotropy (FWE-FA) and Free Water (FW); NODDI metrics: Intracellular Volume Fraction (ICVF), Orientation Dispersion Index (ODI), and CSF-Fraction] with both age and working memory performance. A functional magnetic resonance imaging (fMRI) guided, white matter tractography approach was employed to compute diffusion metrics within a network of tracts connecting functional regions involved in working memory. Ninety-nine healthy older adults (aged 60-85) performed an in-scanner working memory task while fMRI was performed and also underwent multi-shell diffusion acquisition. The network of white matter tracts connecting functionally-activated regions was identified using probabilistic tractography. Diffusion metrics were extracted from skeletonized white matter tracts connecting fMRI activation peaks. Diffusion metrics derived from both single and multi-compartment models were associated with age ( ≤ 0.011 for FA, FWE-FA, ICVF and ODI). However, only multi-compartment metrics, specifically FWE-FA ( = 0.045) and ICVF ( = 0.020), were associated with working memory performance. Our results suggest that while most current diffusion metrics are sensitive to age, several multi-compartment metrics (i.e., FWE-FA and ICVF) appear more sensitive to cognitive performance in healthy older adults.

摘要

多室扩散磁共振成像指标[如自由水消除扩散张量成像(FWE-DTI)和神经突方向离散度与密度成像(NODDI)的指标]可能比传统的单室指标[即扩散张量成像(DTI)的指标]更能反映特定的潜在白质束特征。然而,多室指标是否比单室指标与年龄和/或认知表现更密切相关仍不清楚。在这里,我们比较了单室[分数各向异性(FA)]和多室扩散磁共振成像指标[FWE-DTI指标:自由水消除分数各向异性(FWE-FA)和自由水(FW);NODDI指标:细胞内体积分数(ICVF)、方向离散度指数(ODI)和脑脊液分数]与年龄和工作记忆表现的相关性。采用功能磁共振成像(fMRI)引导的白质纤维束成像方法,计算连接参与工作记忆的功能区域的纤维束网络内的扩散指标。99名健康老年人(年龄60-85岁)在进行fMRI时执行扫描仪内工作记忆任务,并进行多壳扩散采集。使用概率纤维束成像确定连接功能激活区域的白质纤维束网络。从连接fMRI激活峰的骨骼化白质纤维束中提取扩散指标。单室和多室模型得出的扩散指标均与年龄相关(FA、FWE-FA、ICVF和ODI的P≤0.011)。然而,只有多室指标,特别是FWE-FA(P=0.045)和ICVF(P=0.020)与工作记忆表现相关。我们的结果表明,虽然目前大多数扩散指标对年龄敏感,但一些多室指标(即FWE-FA和ICVF)似乎对健康老年人的认知表现更敏感。

https://cdn.ncbi.nlm.nih.gov/pmc/blobs/509f/9581239/4e220d50740b/fnagi-14-995425-g001.jpg

文献AI研究员

20分钟写一篇综述,助力文献阅读效率提升50倍。

立即体验

用中文搜PubMed

大模型驱动的PubMed中文搜索引擎

马上搜索

文档翻译

学术文献翻译模型,支持多种主流文档格式。

立即体验