• 文献检索
  • 文档翻译
  • 深度研究
  • 学术资讯
  • Suppr Zotero 插件Zotero 插件
  • 邀请有礼
  • 套餐&价格
  • 历史记录
应用&插件
Suppr Zotero 插件Zotero 插件浏览器插件Mac 客户端Windows 客户端微信小程序
定价
高级版会员购买积分包购买API积分包
服务
文献检索文档翻译深度研究API 文档MCP 服务
关于我们
关于 Suppr公司介绍联系我们用户协议隐私条款
关注我们

Suppr 超能文献

核心技术专利:CN118964589B侵权必究
粤ICP备2023148730 号-1Suppr @ 2026

文献检索

告别复杂PubMed语法,用中文像聊天一样搜索,搜遍4000万医学文献。AI智能推荐,让科研检索更轻松。

立即免费搜索

文件翻译

保留排版,准确专业,支持PDF/Word/PPT等文件格式,支持 12+语言互译。

免费翻译文档

深度研究

AI帮你快速写综述,25分钟生成高质量综述,智能提取关键信息,辅助科研写作。

立即免费体验

婴儿健康检查期间收集的运动发育信息对神经发育障碍诊断的预测准确性如何?——一项基于贝叶斯网络模型的研究。

How Accurately Does the Information on Motor Development Collected During Health Checkups for Infants Predict the Diagnosis of Neurodevelopmental Disorders? - A Bayesian Network Model-Based Study.

作者信息

Hatakenaka Yuhei, Hachiya Koutaro, Ikezoe Shino, Åsberg Johnels Jakob, Gillberg Christopher

机构信息

Facuty of Humanities and Social Sciences, University of the Ryukyus, Nishihara, Okinawa, Japan.

Gillberg Neuropsychiatry Centre, Sahlgrenska Academy, Gothenburg, Sweden.

出版信息

Neuropsychiatr Dis Treat. 2022 Oct 19;18:2405-2420. doi: 10.2147/NDT.S377534. eCollection 2022.

DOI:10.2147/NDT.S377534
PMID:36285250
原文链接:https://pmc.ncbi.nlm.nih.gov/articles/PMC9588295/
Abstract

PURPOSE

We investigated to what extent early motor development problems predict a future diagnosis of neurodevelopmental disorders (NDDs)/Early Symptomatic Syndromes Eliciting Neurodevelopmental Examinations (ESSENCE) by using a Bayesian network model (BN).

SUBJECTS AND METHODS

Subjects were the children who had participated in the 18- and 36-month checkups in two cities in Japan between April 2014 and March 2015. Their motor development data at the 4-, 10- and 18-month-checkups were collected with ethical consideration. The diagnosis was confirmed at the age of six, after regular assessment in all developmental areas at a neurodevelopmental clinic. The accuracy of prediction of NDD based on posterior probabilities determined using the BN was evaluated using the area under the receiver operating characteristic (ROC) curve (AUC). The posterior probability (the optimal cut-off value) yielding the maximum Youden Index (sensitivity + specificity - 1) is determined with the ROC curve, and the sensitivity, specificity, positive predictive value (PPV), negative predictive value (NPV), and utility index (UI) were computed.

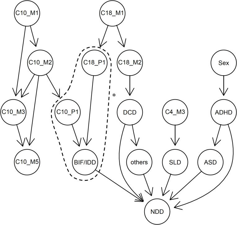
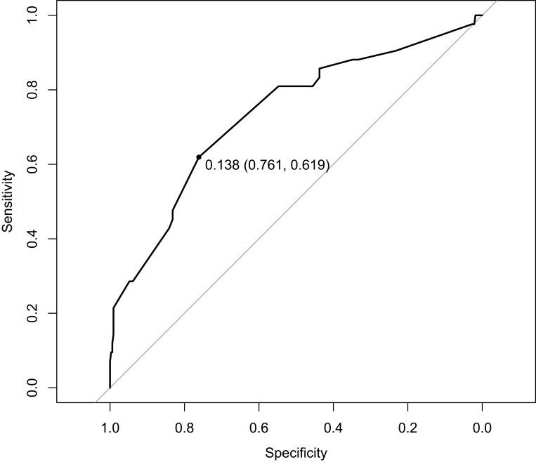
RESULTS

BN models showed associations between early motor items and developmental coordination disorders, borderline intelligence/intellectual disability, and speech and language disorder. The ROC curve for any NDD had an AUC of 0.735. The posterior probability with the maximal Youden Index was 0.138; at the optimal cut-off value, the sensitivity, specificity, PPV, NPV, UI+, and UI- were 0.619, 0.761, 0.250, 0.940, 0.155 and 0.715, respectively.

CONCLUSION

We utilized a novel approach in detailing the associations between certain early motor problems and specific NDDs. We showed that the presence of motor development problems early in development increases the probability of a future diagnosis of any NDD. Still, the sensitivity of early motor development problems as a screening tool was not high enough to be the sole instrument for detecting NDDs. The need for a broad, holistic ESSENCE perspective when looking at the course of motor development problems was stressed.

摘要

目的

我们使用贝叶斯网络模型(BN)研究早期运动发育问题在多大程度上能够预测未来神经发育障碍(NDDs)/引发神经发育检查的早期症状综合征(ESSENCE)的诊断。

对象与方法

研究对象为2014年4月至2015年3月期间在日本两个城市参加18个月和36个月检查的儿童。在遵循伦理原则的情况下收集了他们在4个月、10个月和18个月检查时的运动发育数据。在神经发育诊所对所有发育领域进行常规评估后,于6岁时确诊。基于使用BN确定的后验概率对NDD进行预测的准确性,通过受试者操作特征(ROC)曲线下面积(AUC)进行评估。通过ROC曲线确定产生最大约登指数(敏感度 + 特异度 - 1)的后验概率(最佳截断值),并计算敏感度、特异度、阳性预测值(PPV)、阴性预测值(NPV)和效用指数(UI)。

结果

BN模型显示早期运动项目与发育协调障碍、边缘智力/智力残疾以及言语和语言障碍之间存在关联。任何NDD的ROC曲线的AUC为0.735。具有最大约登指数的后验概率为0.138;在最佳截断值时,敏感度、特异度、PPV、NPV、UI + 和UI - 分别为0.619、0.761、0.250、0.940、0.155和0.715。

结论

我们采用了一种新颖的方法来详细阐述某些早期运动问题与特定NDDs之间的关联。我们表明,发育早期存在运动发育问题会增加未来诊断任何NDD的可能性。然而,早期运动发育问题作为筛查工具的敏感度不够高,不足以成为检测NDDs的唯一手段。强调了在观察运动发育问题过程时需要从广泛、整体的ESSENCE角度出发。

https://cdn.ncbi.nlm.nih.gov/pmc/blobs/ac85/9588295/33e64b209c6a/NDT-18-2405-g0003.jpg
https://cdn.ncbi.nlm.nih.gov/pmc/blobs/ac85/9588295/431b4e885a51/NDT-18-2405-g0001.jpg
https://cdn.ncbi.nlm.nih.gov/pmc/blobs/ac85/9588295/41b684286f18/NDT-18-2405-g0002.jpg
https://cdn.ncbi.nlm.nih.gov/pmc/blobs/ac85/9588295/33e64b209c6a/NDT-18-2405-g0003.jpg
https://cdn.ncbi.nlm.nih.gov/pmc/blobs/ac85/9588295/431b4e885a51/NDT-18-2405-g0001.jpg
https://cdn.ncbi.nlm.nih.gov/pmc/blobs/ac85/9588295/41b684286f18/NDT-18-2405-g0002.jpg
https://cdn.ncbi.nlm.nih.gov/pmc/blobs/ac85/9588295/33e64b209c6a/NDT-18-2405-g0003.jpg

相似文献

1
How Accurately Does the Information on Motor Development Collected During Health Checkups for Infants Predict the Diagnosis of Neurodevelopmental Disorders? - A Bayesian Network Model-Based Study.婴儿健康检查期间收集的运动发育信息对神经发育障碍诊断的预测准确性如何?——一项基于贝叶斯网络模型的研究。
Neuropsychiatr Dis Treat. 2022 Oct 19;18:2405-2420. doi: 10.2147/NDT.S377534. eCollection 2022.
2
Validity of the ESSENCE-Q neurodevelopmental screening tool in Japan.日本 ESSENCE-Q 神经发育筛查工具的有效性。
Dev Med Child Neurol. 2024 Dec;66(12):1611-1621. doi: 10.1111/dmcn.15956. Epub 2024 May 17.
3
ESSENCE-Q - used as a screening tool for neurodevelopmental problems in public health checkups for young children in south Japan.ESSENCE-Q——在日本南部用于幼儿公共健康检查中神经发育问题的筛查工具。
Neuropsychiatr Dis Treat. 2017 May 10;13:1271-1280. doi: 10.2147/NDT.S132546. eCollection 2017.
4
Predictive validity of ESSENCE Q screening tool for early detection of neurodevelopmental disorder in children.ESSENCE Q 筛查工具预测效能分析:用于儿童神经发育障碍的早期检测。
Asian J Psychiatr. 2022 Jul;73:103162. doi: 10.1016/j.ajp.2022.103162. Epub 2022 May 13.
5
Harnessing the power of child development records to detect early neurodevelopmental disorders using Bayesian analysis.利用儿童发育记录的力量,通过贝叶斯分析来检测早期神经发育障碍。
Acta Paediatr. 2025 Jan;114(1):180-195. doi: 10.1111/apa.17424. Epub 2024 Sep 12.
6
Concurrent and predictive validity of the infant motor profile in infants at risk of neurodevelopmental disorders.婴儿运动概况在有神经发育障碍风险的婴儿中的同时性和预测性有效性。
BMC Pediatr. 2021 Feb 6;21(1):68. doi: 10.1186/s12887-021-02522-5.
7
ESSENCE-Q obtained in routine Japanese public child health check-ups may be a valuable tool in neurodevelopmental screening.在日本常规儿童公共健康检查中获得的 ESSENCE-Q 可能是神经发育筛查中的一项宝贵工具。
Acta Paediatr. 2020 Apr;109(4):764-773. doi: 10.1111/apa.15029. Epub 2019 Oct 21.
8
Novel Tools for Single Comparative and Unified Evaluation of Qualitative and Quantitative Bioassays: SS/PV-ROC and SS-J/PV-PSI Index-ROC Curves with Integrated Concentration Distributions, and SS-J/PV-PSI Index Cut-Off Diagrams.用于定性和定量生物测定的单一比较和统一评估的新型工具:具有综合浓度分布的SS/PV-ROC和SS-J/PV-PSI指数-ROC曲线,以及SS-J/PV-PSI指数截止图。
Diagnostics (Basel). 2024 Apr 30;14(9):951. doi: 10.3390/diagnostics14090951.
9
Development of a triage tool for neurodevelopmental risk in children aged 30 months.30个月大儿童神经发育风险分诊工具的开发。
Res Dev Disabil. 2015 Oct-Nov;45-46:69-82. doi: 10.1016/j.ridd.2015.07.017. Epub 2015 Jul 28.
10
[Evaluation of CD107a and perforin expression detection in the diagnosis of primary hemophagocytic lymphohistiocytosis].[CD107a与穿孔素表达检测在原发性噬血细胞性淋巴组织细胞增生症诊断中的评估]
Zhonghua Yi Xue Za Zhi. 2022 Jul 26;102(28):2161-2166. doi: 10.3760/cma.j.cn112137-20220221-00346.

引用本文的文献

1
Harnessing the power of child development records to detect early neurodevelopmental disorders using Bayesian analysis.利用儿童发育记录的力量,通过贝叶斯分析来检测早期神经发育障碍。
Acta Paediatr. 2025 Jan;114(1):180-195. doi: 10.1111/apa.17424. Epub 2024 Sep 12.
2
Implications of Early Diagnosis and Intervention in the Management of Neurodevelopmental Delay (NDD) in Children: A Systematic Review and Meta-Analysis.儿童神经发育迟缓(NDD)管理中早期诊断与干预的意义:一项系统评价与荟萃分析
Cureus. 2023 May 8;15(5):e38745. doi: 10.7759/cureus.38745. eCollection 2023 May.
3
Diagnostic biomarker panels of osteoarthritis: UPLC-QToF/MS-based serum metabolic profiling.

本文引用的文献

1
Relationship Between Motor Skills and Language Abilities in Children With Autism Spectrum Disorder.自闭症谱系障碍儿童运动技能与语言能力的关系。
Phys Ther. 2021 May 4;101(5). doi: 10.1093/ptj/pzab033.
2
Early Motor Function of Children With Autism Spectrum Disorder: A Systematic Review.自闭症谱系障碍儿童的早期运动功能:系统评价。
Pediatrics. 2021 Feb;147(2). doi: 10.1542/peds.2020-011270.
3
Chronic Pain And Health-Related Quality Of Life In Women With Autism And/Or ADHD: A Prospective Longitudinal Study.自闭症和/或注意力缺陷多动障碍女性的慢性疼痛与健康相关生活质量:一项前瞻性纵向研究。
基于 UPLC-QToF/MS 的骨关节炎诊断生物标志物谱:血清代谢组学分析。
PeerJ. 2023 Jan 13;11:e14563. doi: 10.7717/peerj.14563. eCollection 2023.
J Pain Res. 2019 Oct 18;12:2925-2932. doi: 10.2147/JPR.S212422. eCollection 2019.
4
ESSENCE-Q obtained in routine Japanese public child health check-ups may be a valuable tool in neurodevelopmental screening.在日本常规儿童公共健康检查中获得的 ESSENCE-Q 可能是神经发育筛查中的一项宝贵工具。
Acta Paediatr. 2020 Apr;109(4):764-773. doi: 10.1111/apa.15029. Epub 2019 Oct 21.
5
ESSENCE-Q: Slavic language versions for developmental screening in young children.本质-Q:幼儿发育筛查的斯拉夫语版本。
Neuropsychiatr Dis Treat. 2018 Aug 23;14:2141-2148. doi: 10.2147/NDT.S171359. eCollection 2018.
6
ESSENCE-Q - used as a screening tool for neurodevelopmental problems in public health checkups for young children in south Japan.ESSENCE-Q——在日本南部用于幼儿公共健康检查中神经发育问题的筛查工具。
Neuropsychiatr Dis Treat. 2017 May 10;13:1271-1280. doi: 10.2147/NDT.S132546. eCollection 2017.
7
Attention Deficit Hyperactivity Disorder and adult mortality.注意力缺陷多动障碍与成人死亡率。
Prev Med. 2016 Sep;90:8-10. doi: 10.1016/j.ypmed.2016.06.021. Epub 2016 Jun 22.
8
Psychometric properties of the Japanese ADHD-RS in preschool children.日本版注意力缺陷多动障碍评定量表(ADHD-RS)在学龄前儿童中的心理测量特性。
Res Dev Disabil. 2016 Aug;55:268-78. doi: 10.1016/j.ridd.2016.05.002. Epub 2016 May 17.
9
Population impact of preterm birth and low birth weight on developmental disabilities in US children.早产和低出生体重对美国儿童发育障碍的人群影响。
Ann Epidemiol. 2016 Apr;26(4):267-74. doi: 10.1016/j.annepidem.2016.02.012. Epub 2016 Mar 22.
10
Infant Motor Delay and Early Symptomatic Syndromes Eliciting Neurodevelopmental Clinical Examinations in Japan.日本的婴儿运动发育迟缓及引发神经发育临床检查的早期症状综合征
Pediatr Neurol. 2016 Jan;54:55-63. doi: 10.1016/j.pediatrneurol.2015.09.008.