Suppr超能文献

德国嵌套队列试点研究组中德尔塔(B.1.617.2)和奥密克戎(B.1.1.529)变异株引起的新冠肺炎的计算机断层扫描成像特征。

Computed Tomographic Imaging Features of COVID-19 Pneumonia Caused by the Delta (B.1.617.2) and Omicron (B.1.1.529) Variant in a German Nested Cohort Pilot Study Group.

机构信息

Medical Center, Department of Diagnostic and Interventional Radiology, University of Freiburg, 79106 Freiburg, Germany.

Pneumology, Angiology and Intensive Care, Department of Cardiology, Ortenau Klinikum, 77933 Lahr, Germany.

出版信息

Tomography. 2022 Sep 28;8(5):2435-2449. doi: 10.3390/tomography8050202.

Abstract

BACKGROUND

The aim of this study was to evaluate CT (computed tomography) imaging differences for the Delta and the Omicron variant in COVID-19 infection.

METHODS

The study population was derived from a retrospective study cohort investigating chest CT imaging patterns in vaccinated and nonvaccinated COVID-19 patients. CT imaging patterns of COVID-19 infection were evaluated by qualitative and semiquantitative scoring systems, as well as imaging pattern analysis.

RESULTS

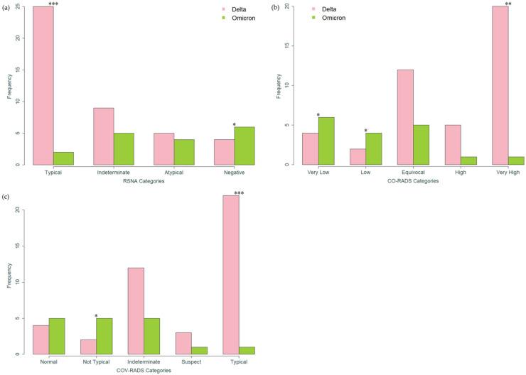
A total of 60 patients (70.00% male, 62.53 ± 17.3 years, Delta: 43 patients, Omicron: 17 patients) were included. Qualitative scoring systems showed a significant correlation with virus variants; "typical appearance" and "very high" degrees of suspicion were detected more often in patients with Delta (RSNA: = 0.003; CO-RADS: = 0.002; COV-RADS: = 0.001). Semiquantitative assessment of lung changes revealed a significant association with virus variants in univariate (Delta: 6.3 ± 3.5; Omicron: 3.12 ± 3.2; = 0.002) and multivariate analysis. The vacuolar sign was significantly associated with the Delta variant (OR: 14.74, 95% CI: [2.32; 2094.7], = 0.017).

CONCLUSION

The Delta variant had significantly more extensive lung involvement and showed changes classified as "typical" more often than the Omicron variant, while the Omicron variant was more likely associated with CT findings such as "absence of pulmonary changes". A significant correlation between the Delta variant and the vacuolar sign was observed.

摘要

背景

本研究旨在评估 COVID-19 感染中 Delta 和奥密克戎变异株的 CT(计算机断层扫描)影像学差异。

方法

研究人群来自一项回顾性研究队列,该队列研究了接种和未接种 COVID-19 患者的胸部 CT 成像模式。通过定性和半定量评分系统以及成像模式分析评估 COVID-19 感染的 CT 成像模式。

结果

共纳入 60 例患者(70.00%为男性,62.53±17.3 岁,Delta 变异株 43 例,奥密克戎变异株 17 例)。定性评分系统与病毒变异株有显著相关性;Delta 变异株患者中更常发现“典型表现”和“高度可疑”程度(RSNA: = 0.003;CO-RADS: = 0.002;COV-RADS: = 0.001)。肺部变化的半定量评估在单变量(Delta:6.3±3.5;Omicron:3.12±3.2; = 0.002)和多变量分析中与病毒变异株有显著关联。空泡征与 Delta 变异株显著相关(OR:14.74,95%CI:[2.32;2094.7], = 0.017)。

结论

与奥密克戎变异株相比,Delta 变异株的肺部受累范围显著更广,且更常出现“典型”改变,而奥密克戎变异株更可能与“无肺部改变”等 CT 表现相关。Delta 变异株与空泡征之间存在显著相关性。

https://cdn.ncbi.nlm.nih.gov/pmc/blobs/3ec2/9607412/08c3d4e49624/tomography-08-00202-g001.jpg

文献AI研究员

20分钟写一篇综述,助力文献阅读效率提升50倍。

立即体验

用中文搜PubMed

大模型驱动的PubMed中文搜索引擎

马上搜索

文档翻译

学术文献翻译模型,支持多种主流文档格式。

立即体验