Suppr超能文献

好氧嗜温环境中可生物降解聚合物的生物降解。

Biodegradation of Biodegradable Polymers in Mesophilic Aerobic Environments.

机构信息

School of Packaging, Michigan State University, East Lansing, MI 48824, USA.

Instituto de Materiales de Misiones, CONICET-UNaM, Posadas 3300, Misiones, Argentina.

出版信息

Int J Mol Sci. 2022 Oct 12;23(20):12165. doi: 10.3390/ijms232012165.

Abstract

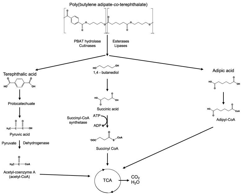
Finding alternatives to diminish plastic pollution has become one of the main challenges of modern life. A few alternatives have gained potential for a shift toward a more circular and sustainable relationship with plastics. Biodegradable polymers derived from bio- and fossil-based sources have emerged as one feasible alternative to overcome inconveniences associated with the use and disposal of non-biodegradable polymers. The biodegradation process depends on the environment's factors, microorganisms and associated enzymes, and the polymer properties, resulting in a plethora of parameters that create a complex process whereby biodegradation times and rates can vary immensely. This review aims to provide a background and a comprehensive, systematic, and critical overview of this complex process with a special focus on the mesophilic range. Activity toward depolymerization by extracellular enzymes, biofilm effect on the dynamic of the degradation process, CO evolution evaluating the extent of biodegradation, and metabolic pathways are discussed. Remarks and perspectives for potential future research are provided with a focus on the current knowledge gaps if the goal is to minimize the persistence of plastics across environments. Innovative approaches such as the addition of specific compounds to trigger depolymerization under particular conditions, biostimulation, bioaugmentation, and the addition of natural and/or modified enzymes are state-of-the-art methods that need faster development. Furthermore, methods must be connected to standards and techniques that fully track the biodegradation process. More transdisciplinary research within areas of polymer chemistry/processing and microbiology/biochemistry is needed.

摘要

寻找减少塑料污染的替代方案已成为现代生活的主要挑战之一。一些替代方案已经具有潜力,可以实现与塑料更具循环性和可持续性的关系。生物基和化石基来源的可生物降解聚合物已成为克服使用和处理不可生物降解聚合物相关不便的一种可行替代方案。生物降解过程取决于环境因素、微生物和相关酶以及聚合物特性,从而产生了大量参数,这些参数构成了一个复杂的过程,导致生物降解时间和速率可能有很大差异。本综述旨在提供对这一复杂过程的背景和全面、系统、批判性概述,特别关注中温范围。讨论了细胞外酶对解聚的作用、生物膜对降解过程动态的影响、CO2 释放评估生物降解程度,以及代谢途径。如果目标是最大限度地减少塑料在环境中的持久性,则提供了注意事项和对潜在未来研究的展望,重点是当前的知识空白。在某些条件下添加特定化合物以触发解聚、生物刺激、生物增强以及添加天然和/或改性酶等创新方法是最新方法,需要更快的发展。此外,必须将方法与可充分跟踪生物降解过程的标准和技术联系起来。需要在聚合物化学/加工和微生物学/生物化学领域开展更多跨学科研究。

https://cdn.ncbi.nlm.nih.gov/pmc/blobs/88c4/9603655/062f9cf27163/ijms-23-12165-g001.jpg

文献AI研究员

20分钟写一篇综述,助力文献阅读效率提升50倍。

立即体验

用中文搜PubMed

大模型驱动的PubMed中文搜索引擎

马上搜索

文档翻译

学术文献翻译模型,支持多种主流文档格式。

立即体验