Department of Psychology, Sapienza University of Rome, Via dei Marsi, 78, 00185 Rome, Italy.
Department of Psychology, Washington State University Vancouver, 14204 NE Salmon Creek Avenue, Vancouver, WA 98686-9600, USA.
Int J Environ Res Public Health. 2022 Oct 15;19(20):13306. doi: 10.3390/ijerph192013306.
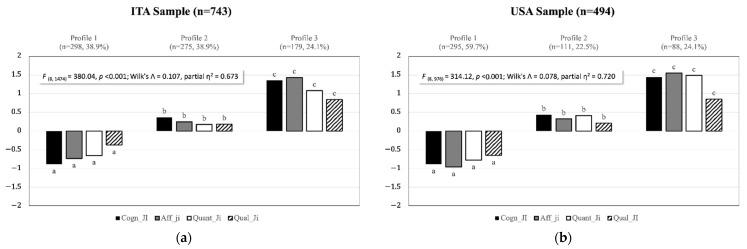
Past research attests to the pivotal role of subjective job insecurity (JI) as a major stressor within the workplace. However, most of this research has used a variable-centered approach to evaluate the relative importance of one (or more) JI facets in explaining employee physical and psychological well-being. Relatively few studies have adopted a person-centered approach to investigate how different appraisals of JI co-occur within employees and how these might lead to the emergence of distinct latent profiles of JI, and, moreover, how those profiles might covary with well-being, personal resources, and performance. Using conservation of resources (COR) theory as our overarching theoretical framework and latent profile analysis as our methodological approach, we sought to fill this gap. To evaluate the external validity of our study results, we used employee sample data from two different countries (Italy and the USA) with, respectively, = 743 and = 494 employees. Results suggested the emergence of three profiles (i.e., the "secure", the "average type", and the "insecure") in both country samples. The "secure" group systematically displayed a less vulnerable profile in terms of physical and psychological well-being, self-rated job performance, positive orientation, and self-efficacy beliefs than the "insecure" group, while the "average" type position on the outcomes' continua was narrower. Theoretically, this supports COR's notion of loss spirals by suggesting that differing forms of JI appraisals tend to covary within-person. Practical implications in light of labor market trends and the COVID-19 pandemic are discussed.
过去的研究证明,主观工作不安全感(JI)作为工作场所的主要压力源,起着关键作用。然而,大多数此类研究都采用变量为中心的方法来评估一个(或多个)JI 方面在解释员工身体和心理健康方面的相对重要性。相对较少的研究采用以个人为中心的方法来研究员工内部不同的 JI 评估是如何共同出现的,以及这些评估如何导致 JI 的不同潜在特征的出现,此外,这些特征如何与幸福感、个人资源和绩效相关。本研究以资源保存理论(COR)为总体理论框架,采用潜在剖面分析作为方法学方法,旨在填补这一空白。为了评估研究结果的外部有效性,我们使用了来自两个不同国家(意大利和美国)的员工样本数据,分别有 = 743 和 = 494 名员工。结果表明,在两个国家的样本中都出现了三种特征(即“安全”、“一般类型”和“不安全”)。“安全”组在身体和心理健康、自我评估工作绩效、积极取向和自我效能信念方面的脆弱性明显低于“不安全”组,而“一般”类型在结果连续体上的位置较窄。从理论上讲,这支持了 COR 的损失螺旋概念,即不同形式的 JI 评估倾向于在个体内部共同变化。鉴于劳动力市场趋势和 COVID-19 大流行,讨论了实际意义。